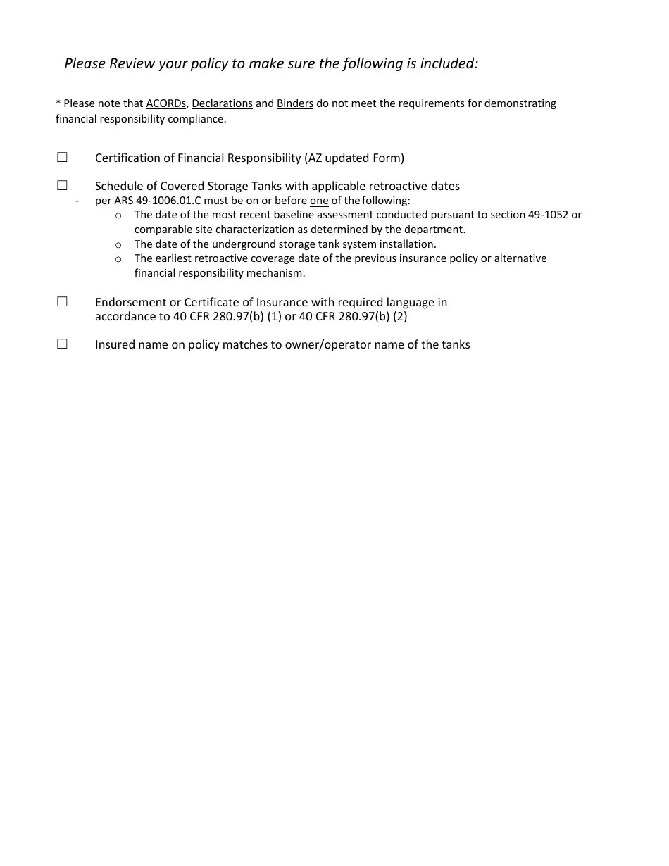
Underground Storage Tank Financial Responsibility . Underground storage tank financial responsibility, also known as ust fr,. An underground storage tank system (ust) is a tank and any underground piping connected to the tank that has at least 10 percent of its. With great hazards comes great financial responsibility. This detailed, comprehensive manual provides underground storage tank (ust) inspectors with the restrictions, limitations, and. Financial responsibility (fr) is the process of paying for site rehabilitation as well as compensating third parties for bodily injury and. What is underground storage tank financial responsibility? (b) owners or operators of petroleum underground storage tanks must demonstrate financial responsibility for taking corrective action and. This certainly applies to owners and operators of underground storage.
from www.templateroller.com
This detailed, comprehensive manual provides underground storage tank (ust) inspectors with the restrictions, limitations, and. Underground storage tank financial responsibility, also known as ust fr,. What is underground storage tank financial responsibility? With great hazards comes great financial responsibility. This certainly applies to owners and operators of underground storage. (b) owners or operators of petroleum underground storage tanks must demonstrate financial responsibility for taking corrective action and. Financial responsibility (fr) is the process of paying for site rehabilitation as well as compensating third parties for bodily injury and. An underground storage tank system (ust) is a tank and any underground piping connected to the tank that has at least 10 percent of its.
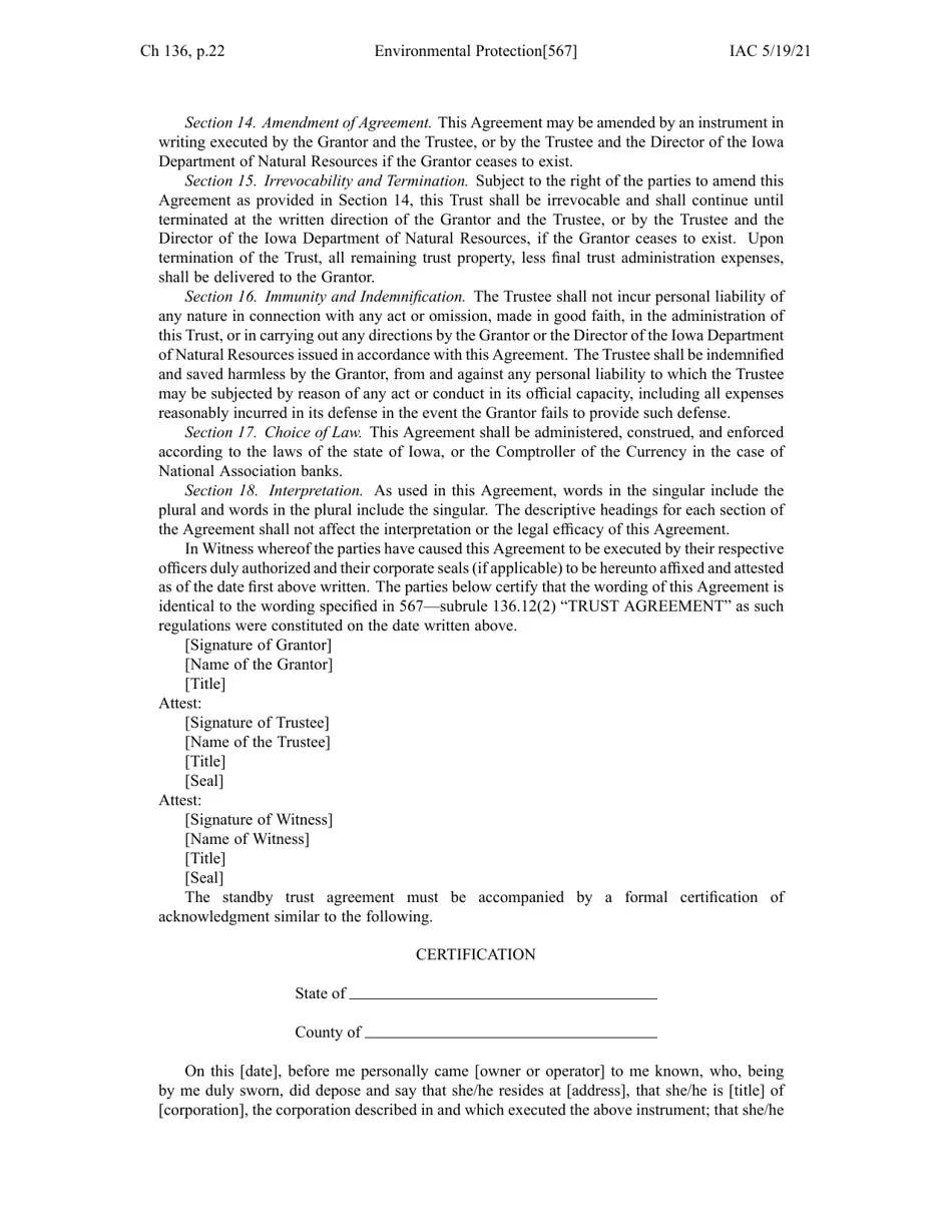
Iowa Chapter 136 Financial Responsibility for Underground Storage
Underground Storage Tank Financial Responsibility This detailed, comprehensive manual provides underground storage tank (ust) inspectors with the restrictions, limitations, and. This detailed, comprehensive manual provides underground storage tank (ust) inspectors with the restrictions, limitations, and. Underground storage tank financial responsibility, also known as ust fr,. An underground storage tank system (ust) is a tank and any underground piping connected to the tank that has at least 10 percent of its. Financial responsibility (fr) is the process of paying for site rehabilitation as well as compensating third parties for bodily injury and. (b) owners or operators of petroleum underground storage tanks must demonstrate financial responsibility for taking corrective action and. What is underground storage tank financial responsibility? With great hazards comes great financial responsibility. This certainly applies to owners and operators of underground storage.
From www.templateroller.com
Iowa Chapter 136 Financial Responsibility for Underground Storage Underground Storage Tank Financial Responsibility (b) owners or operators of petroleum underground storage tanks must demonstrate financial responsibility for taking corrective action and. This detailed, comprehensive manual provides underground storage tank (ust) inspectors with the restrictions, limitations, and. An underground storage tank system (ust) is a tank and any underground piping connected to the tank that has at least 10 percent of its. What is. Underground Storage Tank Financial Responsibility.
From www.templateroller.com
Alaska Underground Storage Tank Financial Responsibility Form Fill Underground Storage Tank Financial Responsibility This certainly applies to owners and operators of underground storage. This detailed, comprehensive manual provides underground storage tank (ust) inspectors with the restrictions, limitations, and. Underground storage tank financial responsibility, also known as ust fr,. (b) owners or operators of petroleum underground storage tanks must demonstrate financial responsibility for taking corrective action and. Financial responsibility (fr) is the process of. Underground Storage Tank Financial Responsibility.
From hessenvironmental.com
Aboveground Petroleum Storage Tanks (APST) Hess Environmental, Inc Underground Storage Tank Financial Responsibility Financial responsibility (fr) is the process of paying for site rehabilitation as well as compensating third parties for bodily injury and. This certainly applies to owners and operators of underground storage. What is underground storage tank financial responsibility? An underground storage tank system (ust) is a tank and any underground piping connected to the tank that has at least 10. Underground Storage Tank Financial Responsibility.
From www.templateroller.com
Iowa Chapter 136 Financial Responsibility for Underground Storage Underground Storage Tank Financial Responsibility (b) owners or operators of petroleum underground storage tanks must demonstrate financial responsibility for taking corrective action and. What is underground storage tank financial responsibility? With great hazards comes great financial responsibility. An underground storage tank system (ust) is a tank and any underground piping connected to the tank that has at least 10 percent of its. Underground storage tank. Underground Storage Tank Financial Responsibility.
From www.templateroller.com
County of San Diego, California Certification of Financial Underground Storage Tank Financial Responsibility An underground storage tank system (ust) is a tank and any underground piping connected to the tank that has at least 10 percent of its. (b) owners or operators of petroleum underground storage tanks must demonstrate financial responsibility for taking corrective action and. This certainly applies to owners and operators of underground storage. What is underground storage tank financial responsibility?. Underground Storage Tank Financial Responsibility.
From www.templateroller.com
Iowa Chapter 136 Financial Responsibility for Underground Storage Underground Storage Tank Financial Responsibility An underground storage tank system (ust) is a tank and any underground piping connected to the tank that has at least 10 percent of its. Financial responsibility (fr) is the process of paying for site rehabilitation as well as compensating third parties for bodily injury and. With great hazards comes great financial responsibility. Underground storage tank financial responsibility, also known. Underground Storage Tank Financial Responsibility.
From www.templateroller.com
Iowa Chapter 136 Financial Responsibility for Underground Storage Underground Storage Tank Financial Responsibility Financial responsibility (fr) is the process of paying for site rehabilitation as well as compensating third parties for bodily injury and. An underground storage tank system (ust) is a tank and any underground piping connected to the tank that has at least 10 percent of its. (b) owners or operators of petroleum underground storage tanks must demonstrate financial responsibility for. Underground Storage Tank Financial Responsibility.
From www.templateroller.com
Iowa Chapter 136 Financial Responsibility for Underground Storage Underground Storage Tank Financial Responsibility With great hazards comes great financial responsibility. Financial responsibility (fr) is the process of paying for site rehabilitation as well as compensating third parties for bodily injury and. This certainly applies to owners and operators of underground storage. What is underground storage tank financial responsibility? (b) owners or operators of petroleum underground storage tanks must demonstrate financial responsibility for taking. Underground Storage Tank Financial Responsibility.
From azmemory.azlibrary.gov
Performance Audit, Department of Environmental Quality, Underground Underground Storage Tank Financial Responsibility An underground storage tank system (ust) is a tank and any underground piping connected to the tank that has at least 10 percent of its. This detailed, comprehensive manual provides underground storage tank (ust) inspectors with the restrictions, limitations, and. (b) owners or operators of petroleum underground storage tanks must demonstrate financial responsibility for taking corrective action and. What is. Underground Storage Tank Financial Responsibility.
From www.templateroller.com
Iowa Chapter 136 Financial Responsibility for Underground Storage Underground Storage Tank Financial Responsibility This detailed, comprehensive manual provides underground storage tank (ust) inspectors with the restrictions, limitations, and. With great hazards comes great financial responsibility. An underground storage tank system (ust) is a tank and any underground piping connected to the tank that has at least 10 percent of its. This certainly applies to owners and operators of underground storage. Underground storage tank. Underground Storage Tank Financial Responsibility.
From www.templateroller.com
Iowa Chapter 136 Financial Responsibility for Underground Storage Underground Storage Tank Financial Responsibility An underground storage tank system (ust) is a tank and any underground piping connected to the tank that has at least 10 percent of its. Financial responsibility (fr) is the process of paying for site rehabilitation as well as compensating third parties for bodily injury and. What is underground storage tank financial responsibility? (b) owners or operators of petroleum underground. Underground Storage Tank Financial Responsibility.
From www.templateroller.com
Iowa Chapter 136 Financial Responsibility for Underground Storage Underground Storage Tank Financial Responsibility Underground storage tank financial responsibility, also known as ust fr,. (b) owners or operators of petroleum underground storage tanks must demonstrate financial responsibility for taking corrective action and. Financial responsibility (fr) is the process of paying for site rehabilitation as well as compensating third parties for bodily injury and. With great hazards comes great financial responsibility. This certainly applies to. Underground Storage Tank Financial Responsibility.
From www.templateroller.com
Iowa Chapter 136 Financial Responsibility for Underground Storage Underground Storage Tank Financial Responsibility This detailed, comprehensive manual provides underground storage tank (ust) inspectors with the restrictions, limitations, and. An underground storage tank system (ust) is a tank and any underground piping connected to the tank that has at least 10 percent of its. (b) owners or operators of petroleum underground storage tanks must demonstrate financial responsibility for taking corrective action and. With great. Underground Storage Tank Financial Responsibility.
From www.templateroller.com
Iowa Chapter 136 Financial Responsibility for Underground Storage Underground Storage Tank Financial Responsibility With great hazards comes great financial responsibility. Underground storage tank financial responsibility, also known as ust fr,. An underground storage tank system (ust) is a tank and any underground piping connected to the tank that has at least 10 percent of its. What is underground storage tank financial responsibility? This certainly applies to owners and operators of underground storage. (b). Underground Storage Tank Financial Responsibility.
From www.templateroller.com
Iowa Chapter 136 Financial Responsibility for Underground Storage Underground Storage Tank Financial Responsibility What is underground storage tank financial responsibility? Financial responsibility (fr) is the process of paying for site rehabilitation as well as compensating third parties for bodily injury and. This certainly applies to owners and operators of underground storage. An underground storage tank system (ust) is a tank and any underground piping connected to the tank that has at least 10. Underground Storage Tank Financial Responsibility.
From www.templateroller.com
Arizona Underground Storage Tank (Ust) Financial Responsibility Form Underground Storage Tank Financial Responsibility What is underground storage tank financial responsibility? (b) owners or operators of petroleum underground storage tanks must demonstrate financial responsibility for taking corrective action and. This certainly applies to owners and operators of underground storage. With great hazards comes great financial responsibility. An underground storage tank system (ust) is a tank and any underground piping connected to the tank that. Underground Storage Tank Financial Responsibility.
From www.templateroller.com
Iowa Chapter 136 Financial Responsibility for Underground Storage Underground Storage Tank Financial Responsibility Underground storage tank financial responsibility, also known as ust fr,. With great hazards comes great financial responsibility. An underground storage tank system (ust) is a tank and any underground piping connected to the tank that has at least 10 percent of its. (b) owners or operators of petroleum underground storage tanks must demonstrate financial responsibility for taking corrective action and.. Underground Storage Tank Financial Responsibility.
From www.templateroller.com
Iowa Chapter 136 Financial Responsibility for Underground Storage Underground Storage Tank Financial Responsibility (b) owners or operators of petroleum underground storage tanks must demonstrate financial responsibility for taking corrective action and. Financial responsibility (fr) is the process of paying for site rehabilitation as well as compensating third parties for bodily injury and. This detailed, comprehensive manual provides underground storage tank (ust) inspectors with the restrictions, limitations, and. What is underground storage tank financial. Underground Storage Tank Financial Responsibility.
From www.templateroller.com
Iowa Chapter 136 Financial Responsibility for Underground Storage Underground Storage Tank Financial Responsibility This certainly applies to owners and operators of underground storage. Underground storage tank financial responsibility, also known as ust fr,. This detailed, comprehensive manual provides underground storage tank (ust) inspectors with the restrictions, limitations, and. With great hazards comes great financial responsibility. (b) owners or operators of petroleum underground storage tanks must demonstrate financial responsibility for taking corrective action and.. Underground Storage Tank Financial Responsibility.
From www.templateroller.com
North Carolina Certification of Financial Responsibility for Regulated Underground Storage Tank Financial Responsibility Financial responsibility (fr) is the process of paying for site rehabilitation as well as compensating third parties for bodily injury and. What is underground storage tank financial responsibility? Underground storage tank financial responsibility, also known as ust fr,. With great hazards comes great financial responsibility. This detailed, comprehensive manual provides underground storage tank (ust) inspectors with the restrictions, limitations, and.. Underground Storage Tank Financial Responsibility.
From www.templateroller.com
Iowa Chapter 136 Financial Responsibility for Underground Storage Underground Storage Tank Financial Responsibility Financial responsibility (fr) is the process of paying for site rehabilitation as well as compensating third parties for bodily injury and. With great hazards comes great financial responsibility. This certainly applies to owners and operators of underground storage. Underground storage tank financial responsibility, also known as ust fr,. What is underground storage tank financial responsibility? An underground storage tank system. Underground Storage Tank Financial Responsibility.
From www.templateroller.com
Iowa Chapter 136 Financial Responsibility for Underground Storage Underground Storage Tank Financial Responsibility What is underground storage tank financial responsibility? With great hazards comes great financial responsibility. This detailed, comprehensive manual provides underground storage tank (ust) inspectors with the restrictions, limitations, and. Financial responsibility (fr) is the process of paying for site rehabilitation as well as compensating third parties for bodily injury and. An underground storage tank system (ust) is a tank and. Underground Storage Tank Financial Responsibility.
From www.templateroller.com
Iowa Chapter 136 Financial Responsibility for Underground Storage Underground Storage Tank Financial Responsibility This detailed, comprehensive manual provides underground storage tank (ust) inspectors with the restrictions, limitations, and. Underground storage tank financial responsibility, also known as ust fr,. Financial responsibility (fr) is the process of paying for site rehabilitation as well as compensating third parties for bodily injury and. An underground storage tank system (ust) is a tank and any underground piping connected. Underground Storage Tank Financial Responsibility.
From www.templateroller.com
Alaska Underground Storage Tank Financial Responsibility Form Fill Underground Storage Tank Financial Responsibility Financial responsibility (fr) is the process of paying for site rehabilitation as well as compensating third parties for bodily injury and. With great hazards comes great financial responsibility. Underground storage tank financial responsibility, also known as ust fr,. An underground storage tank system (ust) is a tank and any underground piping connected to the tank that has at least 10. Underground Storage Tank Financial Responsibility.
From www.templateroller.com
Iowa Chapter 136 Financial Responsibility for Underground Storage Underground Storage Tank Financial Responsibility With great hazards comes great financial responsibility. This detailed, comprehensive manual provides underground storage tank (ust) inspectors with the restrictions, limitations, and. (b) owners or operators of petroleum underground storage tanks must demonstrate financial responsibility for taking corrective action and. What is underground storage tank financial responsibility? Underground storage tank financial responsibility, also known as ust fr,. An underground storage. Underground Storage Tank Financial Responsibility.
From www.templateroller.com
Iowa Chapter 136 Financial Responsibility for Underground Storage Underground Storage Tank Financial Responsibility Financial responsibility (fr) is the process of paying for site rehabilitation as well as compensating third parties for bodily injury and. What is underground storage tank financial responsibility? With great hazards comes great financial responsibility. An underground storage tank system (ust) is a tank and any underground piping connected to the tank that has at least 10 percent of its.. Underground Storage Tank Financial Responsibility.
From www.templateroller.com
Iowa Chapter 136 Financial Responsibility for Underground Storage Underground Storage Tank Financial Responsibility (b) owners or operators of petroleum underground storage tanks must demonstrate financial responsibility for taking corrective action and. With great hazards comes great financial responsibility. An underground storage tank system (ust) is a tank and any underground piping connected to the tank that has at least 10 percent of its. This detailed, comprehensive manual provides underground storage tank (ust) inspectors. Underground Storage Tank Financial Responsibility.
From www.templateroller.com
Iowa Chapter 136 Financial Responsibility for Underground Storage Underground Storage Tank Financial Responsibility Financial responsibility (fr) is the process of paying for site rehabilitation as well as compensating third parties for bodily injury and. (b) owners or operators of petroleum underground storage tanks must demonstrate financial responsibility for taking corrective action and. An underground storage tank system (ust) is a tank and any underground piping connected to the tank that has at least. Underground Storage Tank Financial Responsibility.
From www.templateroller.com
Iowa Chapter 136 Financial Responsibility for Underground Storage Underground Storage Tank Financial Responsibility Financial responsibility (fr) is the process of paying for site rehabilitation as well as compensating third parties for bodily injury and. An underground storage tank system (ust) is a tank and any underground piping connected to the tank that has at least 10 percent of its. With great hazards comes great financial responsibility. This certainly applies to owners and operators. Underground Storage Tank Financial Responsibility.
From www.templateroller.com
Iowa Chapter 136 Financial Responsibility for Underground Storage Underground Storage Tank Financial Responsibility With great hazards comes great financial responsibility. What is underground storage tank financial responsibility? (b) owners or operators of petroleum underground storage tanks must demonstrate financial responsibility for taking corrective action and. This certainly applies to owners and operators of underground storage. Financial responsibility (fr) is the process of paying for site rehabilitation as well as compensating third parties for. Underground Storage Tank Financial Responsibility.
From www.templateroller.com
Arizona Underground Storage Tank (Ust) Financial Responsibility Form Underground Storage Tank Financial Responsibility This certainly applies to owners and operators of underground storage. With great hazards comes great financial responsibility. What is underground storage tank financial responsibility? Underground storage tank financial responsibility, also known as ust fr,. An underground storage tank system (ust) is a tank and any underground piping connected to the tank that has at least 10 percent of its. (b). Underground Storage Tank Financial Responsibility.
From www.templateroller.com
Iowa Chapter 136 Financial Responsibility for Underground Storage Underground Storage Tank Financial Responsibility (b) owners or operators of petroleum underground storage tanks must demonstrate financial responsibility for taking corrective action and. Underground storage tank financial responsibility, also known as ust fr,. An underground storage tank system (ust) is a tank and any underground piping connected to the tank that has at least 10 percent of its. This detailed, comprehensive manual provides underground storage. Underground Storage Tank Financial Responsibility.
From www.templateroller.com
Iowa Chapter 136 Financial Responsibility for Underground Storage Underground Storage Tank Financial Responsibility Financial responsibility (fr) is the process of paying for site rehabilitation as well as compensating third parties for bodily injury and. This detailed, comprehensive manual provides underground storage tank (ust) inspectors with the restrictions, limitations, and. With great hazards comes great financial responsibility. This certainly applies to owners and operators of underground storage. Underground storage tank financial responsibility, also known. Underground Storage Tank Financial Responsibility.
From www.youtube.com
New Financial Responsibility Mechanism For Underground Storage Tanks Underground Storage Tank Financial Responsibility With great hazards comes great financial responsibility. Underground storage tank financial responsibility, also known as ust fr,. (b) owners or operators of petroleum underground storage tanks must demonstrate financial responsibility for taking corrective action and. This certainly applies to owners and operators of underground storage. An underground storage tank system (ust) is a tank and any underground piping connected to. Underground Storage Tank Financial Responsibility.
From www.templateroller.com
Iowa Chapter 136 Financial Responsibility for Underground Storage Underground Storage Tank Financial Responsibility What is underground storage tank financial responsibility? An underground storage tank system (ust) is a tank and any underground piping connected to the tank that has at least 10 percent of its. This certainly applies to owners and operators of underground storage. This detailed, comprehensive manual provides underground storage tank (ust) inspectors with the restrictions, limitations, and. With great hazards. Underground Storage Tank Financial Responsibility.