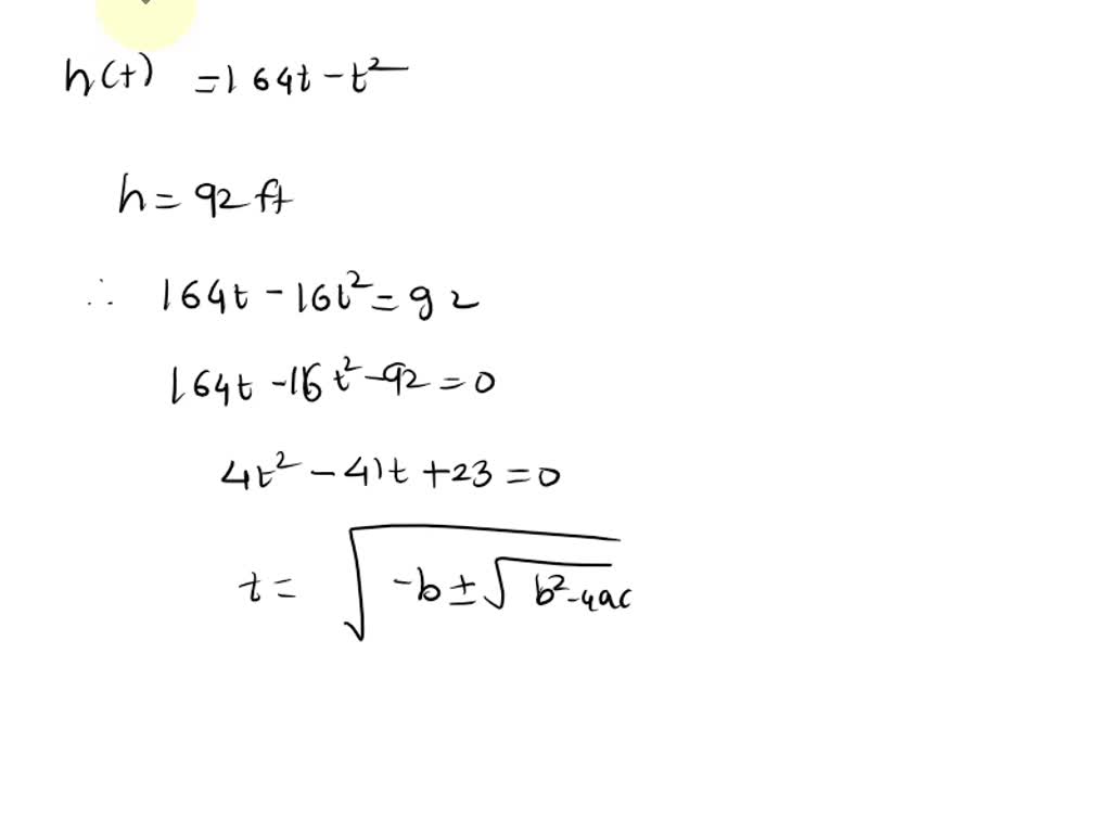
A Model Rocket Is Launched With An Initial Upward Velocity Of 164 Ft/S . The rocket's height h (in feet) after t seconds is given by the following. A model rocket is launched with an initial upward velocity of 164 ft / s. The rocket's height (in feet) after t seconds is given by the. A model rocket is launched with an initial upward velocity of 164 lts. The rocket's height h (in feet) after t seconds is given by the following. A model rocket is launched with an initial upward velocity of 164 ft/s. A model rocket is launched with an initial upward velocity of 164 ft/s. A model rocket is launched with an initial upward velocity of 164 ft/s. The rocket's height h (in feet) after t seconds is given by the following. A model rocket is launched with an initial upward velocity of 164 ft/s.
from www.bartleby.com
A model rocket is launched with an initial upward velocity of 164 ft/s. The rocket's height (in feet) after t seconds is given by the. A model rocket is launched with an initial upward velocity of 164 ft/s. The rocket's height h (in feet) after t seconds is given by the following. A model rocket is launched with an initial upward velocity of 164 lts. A model rocket is launched with an initial upward velocity of 164 ft/s. A model rocket is launched with an initial upward velocity of 164 ft / s. The rocket's height h (in feet) after t seconds is given by the following. The rocket's height h (in feet) after t seconds is given by the following. A model rocket is launched with an initial upward velocity of 164 ft/s.
Answered A model rocket is launched with an… bartleby
A Model Rocket Is Launched With An Initial Upward Velocity Of 164 Ft/S A model rocket is launched with an initial upward velocity of 164 ft/s. A model rocket is launched with an initial upward velocity of 164 ft/s. The rocket's height h (in feet) after t seconds is given by the following. The rocket's height h (in feet) after t seconds is given by the following. A model rocket is launched with an initial upward velocity of 164 lts. A model rocket is launched with an initial upward velocity of 164 ft/s. The rocket's height h (in feet) after t seconds is given by the following. A model rocket is launched with an initial upward velocity of 164 ft/s. A model rocket is launched with an initial upward velocity of 164 ft/s. A model rocket is launched with an initial upward velocity of 164 ft / s. The rocket's height (in feet) after t seconds is given by the.
From www.chegg.com
Solved A model rocket is launched with an initial upward A Model Rocket Is Launched With An Initial Upward Velocity Of 164 Ft/S A model rocket is launched with an initial upward velocity of 164 ft/s. A model rocket is launched with an initial upward velocity of 164 ft/s. A model rocket is launched with an initial upward velocity of 164 ft/s. A model rocket is launched with an initial upward velocity of 164 ft / s. A model rocket is launched with. A Model Rocket Is Launched With An Initial Upward Velocity Of 164 Ft/S.
From www.coursehero.com
[Solved] A model rocket is launched with an initial upward velocity of A Model Rocket Is Launched With An Initial Upward Velocity Of 164 Ft/S The rocket's height h (in feet) after t seconds is given by the following. A model rocket is launched with an initial upward velocity of 164 ft/s. A model rocket is launched with an initial upward velocity of 164 ft / s. The rocket's height (in feet) after t seconds is given by the. A model rocket is launched with. A Model Rocket Is Launched With An Initial Upward Velocity Of 164 Ft/S.
From www.chegg.com
Solved model rocket is launched with an initial upward A Model Rocket Is Launched With An Initial Upward Velocity Of 164 Ft/S A model rocket is launched with an initial upward velocity of 164 lts. A model rocket is launched with an initial upward velocity of 164 ft/s. The rocket's height h (in feet) after t seconds is given by the following. The rocket's height (in feet) after t seconds is given by the. The rocket's height h (in feet) after t. A Model Rocket Is Launched With An Initial Upward Velocity Of 164 Ft/S.
From brainly.com
A model rocket is launched straight upward. Its altitude y as a A Model Rocket Is Launched With An Initial Upward Velocity Of 164 Ft/S The rocket's height h (in feet) after t seconds is given by the following. The rocket's height (in feet) after t seconds is given by the. The rocket's height h (in feet) after t seconds is given by the following. A model rocket is launched with an initial upward velocity of 164 ft / s. The rocket's height h (in. A Model Rocket Is Launched With An Initial Upward Velocity Of 164 Ft/S.
From justaaa.com
A model rocket is launched upward from ground level with an initial A Model Rocket Is Launched With An Initial Upward Velocity Of 164 Ft/S The rocket's height (in feet) after t seconds is given by the. A model rocket is launched with an initial upward velocity of 164 ft/s. A model rocket is launched with an initial upward velocity of 164 ft / s. A model rocket is launched with an initial upward velocity of 164 lts. The rocket's height h (in feet) after. A Model Rocket Is Launched With An Initial Upward Velocity Of 164 Ft/S.
From www.youtube.com
A model rocket is launched straight upward with an initial speed of 50. A Model Rocket Is Launched With An Initial Upward Velocity Of 164 Ft/S The rocket's height h (in feet) after t seconds is given by the following. A model rocket is launched with an initial upward velocity of 164 ft / s. A model rocket is launched with an initial upward velocity of 164 ft/s. A model rocket is launched with an initial upward velocity of 164 ft/s. The rocket's height h (in. A Model Rocket Is Launched With An Initial Upward Velocity Of 164 Ft/S.
From quizlet.com
A model rocket is launched straight upward with an initial s Quizlet A Model Rocket Is Launched With An Initial Upward Velocity Of 164 Ft/S A model rocket is launched with an initial upward velocity of 164 lts. The rocket's height (in feet) after t seconds is given by the. A model rocket is launched with an initial upward velocity of 164 ft/s. A model rocket is launched with an initial upward velocity of 164 ft/s. A model rocket is launched with an initial upward. A Model Rocket Is Launched With An Initial Upward Velocity Of 164 Ft/S.
From www.numerade.com
SOLVED A model rocket is launched with an initial upward velocity of A Model Rocket Is Launched With An Initial Upward Velocity Of 164 Ft/S A model rocket is launched with an initial upward velocity of 164 lts. A model rocket is launched with an initial upward velocity of 164 ft / s. A model rocket is launched with an initial upward velocity of 164 ft/s. A model rocket is launched with an initial upward velocity of 164 ft/s. A model rocket is launched with. A Model Rocket Is Launched With An Initial Upward Velocity Of 164 Ft/S.
From www.chegg.com
Solved A model rocket is launched with an initial upward A Model Rocket Is Launched With An Initial Upward Velocity Of 164 Ft/S A model rocket is launched with an initial upward velocity of 164 lts. A model rocket is launched with an initial upward velocity of 164 ft/s. A model rocket is launched with an initial upward velocity of 164 ft/s. A model rocket is launched with an initial upward velocity of 164 ft/s. The rocket's height (in feet) after t seconds. A Model Rocket Is Launched With An Initial Upward Velocity Of 164 Ft/S.
From www.bartleby.com
Answered A model rocket is launched with an… bartleby A Model Rocket Is Launched With An Initial Upward Velocity Of 164 Ft/S A model rocket is launched with an initial upward velocity of 164 ft/s. A model rocket is launched with an initial upward velocity of 164 ft / s. The rocket's height h (in feet) after t seconds is given by the following. The rocket's height h (in feet) after t seconds is given by the following. A model rocket is. A Model Rocket Is Launched With An Initial Upward Velocity Of 164 Ft/S.
From www.chegg.com
Solved A model rocket is launched with an initial upward A Model Rocket Is Launched With An Initial Upward Velocity Of 164 Ft/S The rocket's height h (in feet) after t seconds is given by the following. A model rocket is launched with an initial upward velocity of 164 ft/s. The rocket's height h (in feet) after t seconds is given by the following. A model rocket is launched with an initial upward velocity of 164 ft/s. A model rocket is launched with. A Model Rocket Is Launched With An Initial Upward Velocity Of 164 Ft/S.
From brainly.com
A model rocket is launched with an initial upward velocity of 156 ft/s A Model Rocket Is Launched With An Initial Upward Velocity Of 164 Ft/S The rocket's height h (in feet) after t seconds is given by the following. A model rocket is launched with an initial upward velocity of 164 ft/s. A model rocket is launched with an initial upward velocity of 164 ft/s. The rocket's height h (in feet) after t seconds is given by the following. The rocket's height (in feet) after. A Model Rocket Is Launched With An Initial Upward Velocity Of 164 Ft/S.
From www.numerade.com
SOLVED A model rocket is launched with an initial upward velocity of A Model Rocket Is Launched With An Initial Upward Velocity Of 164 Ft/S A model rocket is launched with an initial upward velocity of 164 ft / s. The rocket's height h (in feet) after t seconds is given by the following. A model rocket is launched with an initial upward velocity of 164 ft/s. A model rocket is launched with an initial upward velocity of 164 lts. The rocket's height (in feet). A Model Rocket Is Launched With An Initial Upward Velocity Of 164 Ft/S.
From www.gauthmath.com
Solved A model rocket is launched with an initial upward velocity of A Model Rocket Is Launched With An Initial Upward Velocity Of 164 Ft/S A model rocket is launched with an initial upward velocity of 164 ft/s. The rocket's height h (in feet) after t seconds is given by the following. A model rocket is launched with an initial upward velocity of 164 ft/s. A model rocket is launched with an initial upward velocity of 164 lts. The rocket's height h (in feet) after. A Model Rocket Is Launched With An Initial Upward Velocity Of 164 Ft/S.
From www.numerade.com
SOLVED A model rocket is launched with an initial upward velocity of A Model Rocket Is Launched With An Initial Upward Velocity Of 164 Ft/S A model rocket is launched with an initial upward velocity of 164 ft/s. A model rocket is launched with an initial upward velocity of 164 ft / s. The rocket's height h (in feet) after t seconds is given by the following. The rocket's height (in feet) after t seconds is given by the. A model rocket is launched with. A Model Rocket Is Launched With An Initial Upward Velocity Of 164 Ft/S.
From www.coursehero.com
[Solved] A model rocket is launched with an initial upward velocity of A Model Rocket Is Launched With An Initial Upward Velocity Of 164 Ft/S A model rocket is launched with an initial upward velocity of 164 ft/s. A model rocket is launched with an initial upward velocity of 164 lts. A model rocket is launched with an initial upward velocity of 164 ft / s. A model rocket is launched with an initial upward velocity of 164 ft/s. A model rocket is launched with. A Model Rocket Is Launched With An Initial Upward Velocity Of 164 Ft/S.
From www.chegg.com
Solved A model rocket is launched with an initial upward A Model Rocket Is Launched With An Initial Upward Velocity Of 164 Ft/S The rocket's height h (in feet) after t seconds is given by the following. The rocket's height h (in feet) after t seconds is given by the following. A model rocket is launched with an initial upward velocity of 164 ft / s. A model rocket is launched with an initial upward velocity of 164 ft/s. A model rocket is. A Model Rocket Is Launched With An Initial Upward Velocity Of 164 Ft/S.
From www.coursehero.com
[Solved] A model rocket is launched with an initial upward velocity of A Model Rocket Is Launched With An Initial Upward Velocity Of 164 Ft/S A model rocket is launched with an initial upward velocity of 164 ft/s. A model rocket is launched with an initial upward velocity of 164 ft/s. A model rocket is launched with an initial upward velocity of 164 lts. A model rocket is launched with an initial upward velocity of 164 ft / s. A model rocket is launched with. A Model Rocket Is Launched With An Initial Upward Velocity Of 164 Ft/S.
From www.vrogue.co
A Model Rocket Is Launched With An Initial Upward Vel vrogue.co A Model Rocket Is Launched With An Initial Upward Velocity Of 164 Ft/S The rocket's height h (in feet) after t seconds is given by the following. A model rocket is launched with an initial upward velocity of 164 ft/s. A model rocket is launched with an initial upward velocity of 164 lts. The rocket's height h (in feet) after t seconds is given by the following. The rocket's height h (in feet). A Model Rocket Is Launched With An Initial Upward Velocity Of 164 Ft/S.
From www.coursehero.com
[Solved] A model rocket is launched with an initial upward velocity of A Model Rocket Is Launched With An Initial Upward Velocity Of 164 Ft/S A model rocket is launched with an initial upward velocity of 164 ft/s. The rocket's height (in feet) after t seconds is given by the. A model rocket is launched with an initial upward velocity of 164 ft/s. A model rocket is launched with an initial upward velocity of 164 ft/s. The rocket's height h (in feet) after t seconds. A Model Rocket Is Launched With An Initial Upward Velocity Of 164 Ft/S.
From www.coursehero.com
[Solved] A model rocket is launched with an initial upward velocity of A Model Rocket Is Launched With An Initial Upward Velocity Of 164 Ft/S A model rocket is launched with an initial upward velocity of 164 ft/s. A model rocket is launched with an initial upward velocity of 164 lts. The rocket's height h (in feet) after t seconds is given by the following. A model rocket is launched with an initial upward velocity of 164 ft / s. The rocket's height h (in. A Model Rocket Is Launched With An Initial Upward Velocity Of 164 Ft/S.
From www.numerade.com
SOLVED A model rocket has upward velocity v(t)=40 t^2 ft / s, t A Model Rocket Is Launched With An Initial Upward Velocity Of 164 Ft/S The rocket's height (in feet) after t seconds is given by the. A model rocket is launched with an initial upward velocity of 164 ft/s. A model rocket is launched with an initial upward velocity of 164 ft/s. A model rocket is launched with an initial upward velocity of 164 lts. A model rocket is launched with an initial upward. A Model Rocket Is Launched With An Initial Upward Velocity Of 164 Ft/S.
From www.chegg.com
Solved A model rocket is launched with an initial upward A Model Rocket Is Launched With An Initial Upward Velocity Of 164 Ft/S A model rocket is launched with an initial upward velocity of 164 ft/s. A model rocket is launched with an initial upward velocity of 164 ft/s. A model rocket is launched with an initial upward velocity of 164 ft / s. The rocket's height h (in feet) after t seconds is given by the following. A model rocket is launched. A Model Rocket Is Launched With An Initial Upward Velocity Of 164 Ft/S.
From www.chegg.com
Solved A model rocket is launched with an initial upward A Model Rocket Is Launched With An Initial Upward Velocity Of 164 Ft/S The rocket's height h (in feet) after t seconds is given by the following. A model rocket is launched with an initial upward velocity of 164 ft / s. A model rocket is launched with an initial upward velocity of 164 ft/s. A model rocket is launched with an initial upward velocity of 164 ft/s. The rocket's height (in feet). A Model Rocket Is Launched With An Initial Upward Velocity Of 164 Ft/S.
From www.chegg.com
Solved A model rocket is launched with an initial upward A Model Rocket Is Launched With An Initial Upward Velocity Of 164 Ft/S A model rocket is launched with an initial upward velocity of 164 ft / s. The rocket's height h (in feet) after t seconds is given by the following. A model rocket is launched with an initial upward velocity of 164 lts. A model rocket is launched with an initial upward velocity of 164 ft/s. The rocket's height (in feet). A Model Rocket Is Launched With An Initial Upward Velocity Of 164 Ft/S.
From cameramath.com
A model rocket is launched with an initial upward CameraMath A Model Rocket Is Launched With An Initial Upward Velocity Of 164 Ft/S A model rocket is launched with an initial upward velocity of 164 ft/s. A model rocket is launched with an initial upward velocity of 164 ft/s. The rocket's height h (in feet) after t seconds is given by the following. A model rocket is launched with an initial upward velocity of 164 lts. The rocket's height (in feet) after t. A Model Rocket Is Launched With An Initial Upward Velocity Of 164 Ft/S.
From www.chegg.com
Solved A model rocket is launched upward from a stationary A Model Rocket Is Launched With An Initial Upward Velocity Of 164 Ft/S The rocket's height h (in feet) after t seconds is given by the following. The rocket's height (in feet) after t seconds is given by the. The rocket's height h (in feet) after t seconds is given by the following. A model rocket is launched with an initial upward velocity of 164 ft/s. The rocket's height h (in feet) after. A Model Rocket Is Launched With An Initial Upward Velocity Of 164 Ft/S.
From www.vrogue.co
A Model Rocket Is Launched With An Initial Upward Vel vrogue.co A Model Rocket Is Launched With An Initial Upward Velocity Of 164 Ft/S The rocket's height (in feet) after t seconds is given by the. A model rocket is launched with an initial upward velocity of 164 lts. The rocket's height h (in feet) after t seconds is given by the following. The rocket's height h (in feet) after t seconds is given by the following. A model rocket is launched with an. A Model Rocket Is Launched With An Initial Upward Velocity Of 164 Ft/S.
From www.vrogue.co
Solved A Model Rocket Is Launched With An Initial Upw vrogue.co A Model Rocket Is Launched With An Initial Upward Velocity Of 164 Ft/S A model rocket is launched with an initial upward velocity of 164 ft/s. A model rocket is launched with an initial upward velocity of 164 ft / s. The rocket's height h (in feet) after t seconds is given by the following. The rocket's height (in feet) after t seconds is given by the. A model rocket is launched with. A Model Rocket Is Launched With An Initial Upward Velocity Of 164 Ft/S.
From www.chegg.com
Solved A model rocket is launched with an initial upward A Model Rocket Is Launched With An Initial Upward Velocity Of 164 Ft/S The rocket's height h (in feet) after t seconds is given by the following. A model rocket is launched with an initial upward velocity of 164 ft/s. The rocket's height (in feet) after t seconds is given by the. A model rocket is launched with an initial upward velocity of 164 lts. The rocket's height h (in feet) after t. A Model Rocket Is Launched With An Initial Upward Velocity Of 164 Ft/S.
From www.coursehero.com
[Solved] A model rocket is launched with an initial upward velocity of A Model Rocket Is Launched With An Initial Upward Velocity Of 164 Ft/S A model rocket is launched with an initial upward velocity of 164 ft/s. The rocket's height (in feet) after t seconds is given by the. The rocket's height h (in feet) after t seconds is given by the following. The rocket's height h (in feet) after t seconds is given by the following. A model rocket is launched with an. A Model Rocket Is Launched With An Initial Upward Velocity Of 164 Ft/S.
From www.chegg.com
Solved A model rocket is launched with an initial upward A Model Rocket Is Launched With An Initial Upward Velocity Of 164 Ft/S A model rocket is launched with an initial upward velocity of 164 ft/s. A model rocket is launched with an initial upward velocity of 164 ft / s. The rocket's height h (in feet) after t seconds is given by the following. A model rocket is launched with an initial upward velocity of 164 ft/s. The rocket's height (in feet). A Model Rocket Is Launched With An Initial Upward Velocity Of 164 Ft/S.
From www.chegg.com
Solved A model rocket is launched with an initial upward A Model Rocket Is Launched With An Initial Upward Velocity Of 164 Ft/S The rocket's height h (in feet) after t seconds is given by the following. The rocket's height h (in feet) after t seconds is given by the following. A model rocket is launched with an initial upward velocity of 164 ft / s. A model rocket is launched with an initial upward velocity of 164 ft/s. The rocket's height h. A Model Rocket Is Launched With An Initial Upward Velocity Of 164 Ft/S.
From www.chegg.com
Solved A model rocket is launched from point A with an A Model Rocket Is Launched With An Initial Upward Velocity Of 164 Ft/S The rocket's height h (in feet) after t seconds is given by the following. A model rocket is launched with an initial upward velocity of 164 ft/s. A model rocket is launched with an initial upward velocity of 164 ft/s. A model rocket is launched with an initial upward velocity of 164 ft/s. The rocket's height (in feet) after t. A Model Rocket Is Launched With An Initial Upward Velocity Of 164 Ft/S.
From www.numerade.com
SOLVED A model rocket is launched with an initial upward velocity of A Model Rocket Is Launched With An Initial Upward Velocity Of 164 Ft/S The rocket's height h (in feet) after t seconds is given by the following. The rocket's height h (in feet) after t seconds is given by the following. The rocket's height (in feet) after t seconds is given by the. A model rocket is launched with an initial upward velocity of 164 ft/s. A model rocket is launched with an. A Model Rocket Is Launched With An Initial Upward Velocity Of 164 Ft/S.