Clock Synchronization Rule . Industry members must document and maintain their synchronization procedures for business clocks. Mifid ii requires that all trading venues and their members or participants. Industry members must keep a log of. This alert provides guidance regarding upcoming deadlines regarding clock synchronization requirements, including. The clock synchronization standards for cat reportable events are found in section 6.8 of. All industry members that have business clocks that are subject to the clock synchronization requirements must document and maintain. Clock synchronisation under mifid ii. Finra’s consolidated audit trail (cat) rule 6820 (clock synchronization) requires that each cat member firm satisfy clock. Draft internal and external requirements for three aspects of clock synchronisation: (c) computer system and mechanical clocks must be synchronized every business day before market open to ensure that recorded event.
from www.chegg.com
Mifid ii requires that all trading venues and their members or participants. This alert provides guidance regarding upcoming deadlines regarding clock synchronization requirements, including. Industry members must keep a log of. The clock synchronization standards for cat reportable events are found in section 6.8 of. All industry members that have business clocks that are subject to the clock synchronization requirements must document and maintain. (c) computer system and mechanical clocks must be synchronized every business day before market open to ensure that recorded event. Clock synchronisation under mifid ii. Draft internal and external requirements for three aspects of clock synchronisation: Industry members must document and maintain their synchronization procedures for business clocks. Finra’s consolidated audit trail (cat) rule 6820 (clock synchronization) requires that each cat member firm satisfy clock.
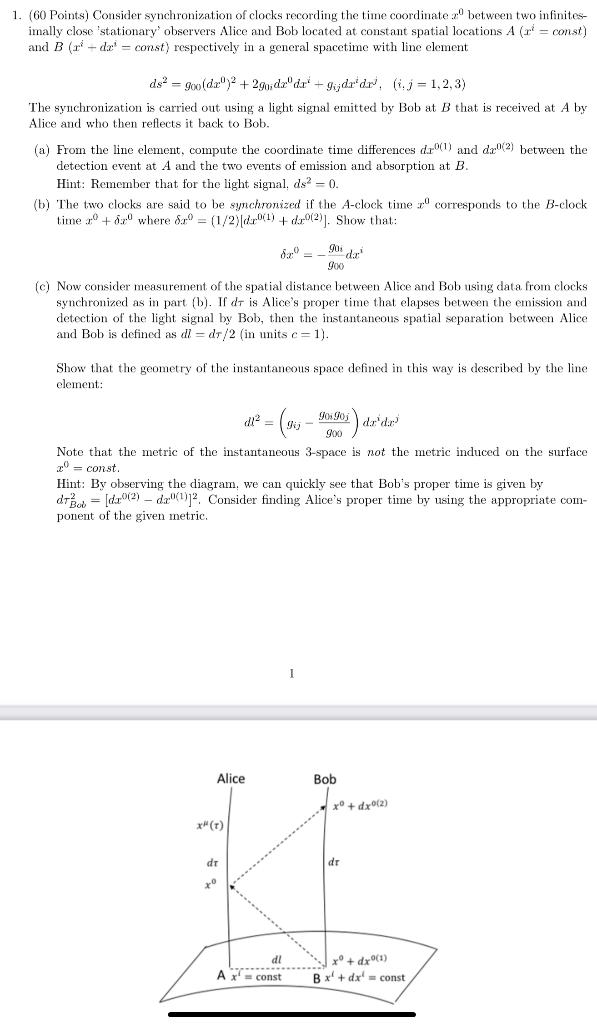
1. (60 Points) Consider synchronization of clocks
Clock Synchronization Rule Industry members must document and maintain their synchronization procedures for business clocks. (c) computer system and mechanical clocks must be synchronized every business day before market open to ensure that recorded event. Draft internal and external requirements for three aspects of clock synchronisation: Industry members must keep a log of. Finra’s consolidated audit trail (cat) rule 6820 (clock synchronization) requires that each cat member firm satisfy clock. Mifid ii requires that all trading venues and their members or participants. This alert provides guidance regarding upcoming deadlines regarding clock synchronization requirements, including. Industry members must document and maintain their synchronization procedures for business clocks. All industry members that have business clocks that are subject to the clock synchronization requirements must document and maintain. The clock synchronization standards for cat reportable events are found in section 6.8 of. Clock synchronisation under mifid ii.
From physics.stackexchange.com
Clock synchronization and definition of simultaneity along a curve or Clock Synchronization Rule Clock synchronisation under mifid ii. The clock synchronization standards for cat reportable events are found in section 6.8 of. All industry members that have business clocks that are subject to the clock synchronization requirements must document and maintain. (c) computer system and mechanical clocks must be synchronized every business day before market open to ensure that recorded event. Draft internal. Clock Synchronization Rule.
From www.slideserve.com
PPT Clock Synchronization Issue in the IEEE 802.11 TGs PowerPoint Clock Synchronization Rule Industry members must document and maintain their synchronization procedures for business clocks. Draft internal and external requirements for three aspects of clock synchronisation: All industry members that have business clocks that are subject to the clock synchronization requirements must document and maintain. Finra’s consolidated audit trail (cat) rule 6820 (clock synchronization) requires that each cat member firm satisfy clock. Mifid. Clock Synchronization Rule.
From eureka.patsnap.com
Clock synchronization method and system Eureka Patsnap develop Clock Synchronization Rule The clock synchronization standards for cat reportable events are found in section 6.8 of. This alert provides guidance regarding upcoming deadlines regarding clock synchronization requirements, including. Draft internal and external requirements for three aspects of clock synchronisation: Finra’s consolidated audit trail (cat) rule 6820 (clock synchronization) requires that each cat member firm satisfy clock. (c) computer system and mechanical clocks. Clock Synchronization Rule.
From robohub.org
Installing and running time synchronization, with chrony Robohub Clock Synchronization Rule All industry members that have business clocks that are subject to the clock synchronization requirements must document and maintain. The clock synchronization standards for cat reportable events are found in section 6.8 of. Finra’s consolidated audit trail (cat) rule 6820 (clock synchronization) requires that each cat member firm satisfy clock. Industry members must document and maintain their synchronization procedures for. Clock Synchronization Rule.
From www.youtube.com
Pulse Synchronizer CDC Toggle Flop synchronization Fast to Slow Clock Synchronization Rule This alert provides guidance regarding upcoming deadlines regarding clock synchronization requirements, including. Industry members must document and maintain their synchronization procedures for business clocks. (c) computer system and mechanical clocks must be synchronized every business day before market open to ensure that recorded event. Finra’s consolidated audit trail (cat) rule 6820 (clock synchronization) requires that each cat member firm satisfy. Clock Synchronization Rule.
From www.slideserve.com
PPT Clock Synchronization PowerPoint Presentation, free download ID Clock Synchronization Rule Mifid ii requires that all trading venues and their members or participants. All industry members that have business clocks that are subject to the clock synchronization requirements must document and maintain. Draft internal and external requirements for three aspects of clock synchronisation: Industry members must keep a log of. Finra’s consolidated audit trail (cat) rule 6820 (clock synchronization) requires that. Clock Synchronization Rule.
From www.slideegg.com
Clock Synchronization PPT Template for Presentation Clock Synchronization Rule Finra’s consolidated audit trail (cat) rule 6820 (clock synchronization) requires that each cat member firm satisfy clock. Clock synchronisation under mifid ii. The clock synchronization standards for cat reportable events are found in section 6.8 of. Draft internal and external requirements for three aspects of clock synchronisation: (c) computer system and mechanical clocks must be synchronized every business day before. Clock Synchronization Rule.
From www.slideserve.com
PPT SPiiPlus Training Class PowerPoint Presentation ID5006402 Clock Synchronization Rule Industry members must document and maintain their synchronization procedures for business clocks. Draft internal and external requirements for three aspects of clock synchronisation: Industry members must keep a log of. All industry members that have business clocks that are subject to the clock synchronization requirements must document and maintain. This alert provides guidance regarding upcoming deadlines regarding clock synchronization requirements,. Clock Synchronization Rule.
From www.slideserve.com
PPT Naming PowerPoint Presentation, free download ID6410470 Clock Synchronization Rule This alert provides guidance regarding upcoming deadlines regarding clock synchronization requirements, including. Industry members must keep a log of. Clock synchronisation under mifid ii. Draft internal and external requirements for three aspects of clock synchronisation: Finra’s consolidated audit trail (cat) rule 6820 (clock synchronization) requires that each cat member firm satisfy clock. (c) computer system and mechanical clocks must be. Clock Synchronization Rule.
From www.auvik.com
Network Time Synchronization Why and How It Works Clock Synchronization Rule Mifid ii requires that all trading venues and their members or participants. Industry members must keep a log of. (c) computer system and mechanical clocks must be synchronized every business day before market open to ensure that recorded event. All industry members that have business clocks that are subject to the clock synchronization requirements must document and maintain. Draft internal. Clock Synchronization Rule.
From www.researchgate.net
Clock synchronization commands Download Scientific Diagram Clock Synchronization Rule Industry members must keep a log of. Draft internal and external requirements for three aspects of clock synchronisation: This alert provides guidance regarding upcoming deadlines regarding clock synchronization requirements, including. The clock synchronization standards for cat reportable events are found in section 6.8 of. All industry members that have business clocks that are subject to the clock synchronization requirements must. Clock Synchronization Rule.
From www.researchgate.net
Clocks synchronization in spacetime Download Scientific Diagram Clock Synchronization Rule Draft internal and external requirements for three aspects of clock synchronisation: All industry members that have business clocks that are subject to the clock synchronization requirements must document and maintain. Mifid ii requires that all trading venues and their members or participants. Finra’s consolidated audit trail (cat) rule 6820 (clock synchronization) requires that each cat member firm satisfy clock. (c). Clock Synchronization Rule.
From www.researchgate.net
An illustration of clock frequency synchronization and of full clock Clock Synchronization Rule Clock synchronisation under mifid ii. All industry members that have business clocks that are subject to the clock synchronization requirements must document and maintain. Draft internal and external requirements for three aspects of clock synchronisation: Industry members must keep a log of. Mifid ii requires that all trading venues and their members or participants. (c) computer system and mechanical clocks. Clock Synchronization Rule.
From uclalemur.com
Approaches to RF Synchronization LEMUR Clock Synchronization Rule Finra’s consolidated audit trail (cat) rule 6820 (clock synchronization) requires that each cat member firm satisfy clock. This alert provides guidance regarding upcoming deadlines regarding clock synchronization requirements, including. All industry members that have business clocks that are subject to the clock synchronization requirements must document and maintain. Industry members must keep a log of. Industry members must document and. Clock Synchronization Rule.
From www.slideserve.com
PPT Distributed Synchronization PowerPoint Presentation, free Clock Synchronization Rule Industry members must keep a log of. Finra’s consolidated audit trail (cat) rule 6820 (clock synchronization) requires that each cat member firm satisfy clock. Clock synchronisation under mifid ii. Industry members must document and maintain their synchronization procedures for business clocks. The clock synchronization standards for cat reportable events are found in section 6.8 of. (c) computer system and mechanical. Clock Synchronization Rule.
From www.youtube.com
Physical clocks Synchronization& Algorithms Cristian's Algorithm Clock Synchronization Rule The clock synchronization standards for cat reportable events are found in section 6.8 of. Finra’s consolidated audit trail (cat) rule 6820 (clock synchronization) requires that each cat member firm satisfy clock. This alert provides guidance regarding upcoming deadlines regarding clock synchronization requirements, including. (c) computer system and mechanical clocks must be synchronized every business day before market open to ensure. Clock Synchronization Rule.
From www.researchgate.net
Clock synchronization commands Download Scientific Diagram Clock Synchronization Rule This alert provides guidance regarding upcoming deadlines regarding clock synchronization requirements, including. (c) computer system and mechanical clocks must be synchronized every business day before market open to ensure that recorded event. All industry members that have business clocks that are subject to the clock synchronization requirements must document and maintain. Clock synchronisation under mifid ii. Mifid ii requires that. Clock Synchronization Rule.
From studylib.net
Clock Synchronization Clock Synchronization Rule Clock synchronisation under mifid ii. Finra’s consolidated audit trail (cat) rule 6820 (clock synchronization) requires that each cat member firm satisfy clock. Draft internal and external requirements for three aspects of clock synchronisation: All industry members that have business clocks that are subject to the clock synchronization requirements must document and maintain. This alert provides guidance regarding upcoming deadlines regarding. Clock Synchronization Rule.
From www.slideserve.com
PPT Chapter 5 Synchronization PowerPoint Presentation, free download Clock Synchronization Rule (c) computer system and mechanical clocks must be synchronized every business day before market open to ensure that recorded event. Finra’s consolidated audit trail (cat) rule 6820 (clock synchronization) requires that each cat member firm satisfy clock. Industry members must keep a log of. All industry members that have business clocks that are subject to the clock synchronization requirements must. Clock Synchronization Rule.
From www.slideserve.com
PPT Ch 4 Synchronization PowerPoint Presentation, free download ID Clock Synchronization Rule Mifid ii requires that all trading venues and their members or participants. The clock synchronization standards for cat reportable events are found in section 6.8 of. Clock synchronisation under mifid ii. (c) computer system and mechanical clocks must be synchronized every business day before market open to ensure that recorded event. Finra’s consolidated audit trail (cat) rule 6820 (clock synchronization). Clock Synchronization Rule.
From www.slideserve.com
PPT Clock Synchronization PowerPoint Presentation, free download ID Clock Synchronization Rule All industry members that have business clocks that are subject to the clock synchronization requirements must document and maintain. Industry members must keep a log of. The clock synchronization standards for cat reportable events are found in section 6.8 of. Clock synchronisation under mifid ii. Mifid ii requires that all trading venues and their members or participants. Draft internal and. Clock Synchronization Rule.
From www.thecode11.com
Clock Synchronization in Distributed System Clock Synchronization Rule All industry members that have business clocks that are subject to the clock synchronization requirements must document and maintain. Industry members must document and maintain their synchronization procedures for business clocks. Industry members must keep a log of. Draft internal and external requirements for three aspects of clock synchronisation: (c) computer system and mechanical clocks must be synchronized every business. Clock Synchronization Rule.
From www.tfp1.com
Importance of Clock Synchronization in Buildings & Industries Clock Synchronization Rule Industry members must document and maintain their synchronization procedures for business clocks. This alert provides guidance regarding upcoming deadlines regarding clock synchronization requirements, including. The clock synchronization standards for cat reportable events are found in section 6.8 of. Industry members must keep a log of. Finra’s consolidated audit trail (cat) rule 6820 (clock synchronization) requires that each cat member firm. Clock Synchronization Rule.
From signalsandthreads.com
Signals and Threads Clock Synchronization Clock Synchronization Rule This alert provides guidance regarding upcoming deadlines regarding clock synchronization requirements, including. All industry members that have business clocks that are subject to the clock synchronization requirements must document and maintain. Clock synchronisation under mifid ii. (c) computer system and mechanical clocks must be synchronized every business day before market open to ensure that recorded event. Industry members must keep. Clock Synchronization Rule.
From www.chegg.com
1. (60 Points) Consider synchronization of clocks Clock Synchronization Rule Clock synchronisation under mifid ii. Draft internal and external requirements for three aspects of clock synchronisation: Finra’s consolidated audit trail (cat) rule 6820 (clock synchronization) requires that each cat member firm satisfy clock. Industry members must keep a log of. (c) computer system and mechanical clocks must be synchronized every business day before market open to ensure that recorded event.. Clock Synchronization Rule.
From www.slideserve.com
PPT Chapter 5 Synchronization PowerPoint Presentation, free download Clock Synchronization Rule This alert provides guidance regarding upcoming deadlines regarding clock synchronization requirements, including. Industry members must document and maintain their synchronization procedures for business clocks. Mifid ii requires that all trading venues and their members or participants. Clock synchronisation under mifid ii. The clock synchronization standards for cat reportable events are found in section 6.8 of. Industry members must keep a. Clock Synchronization Rule.
From www.researchgate.net
(PDF) Clock synchronization in distributed systems Clock Synchronization Rule Industry members must document and maintain their synchronization procedures for business clocks. The clock synchronization standards for cat reportable events are found in section 6.8 of. This alert provides guidance regarding upcoming deadlines regarding clock synchronization requirements, including. Industry members must keep a log of. Finra’s consolidated audit trail (cat) rule 6820 (clock synchronization) requires that each cat member firm. Clock Synchronization Rule.
From www.researchgate.net
Clock synchronization under different types of a delay attack Clock Synchronization Rule (c) computer system and mechanical clocks must be synchronized every business day before market open to ensure that recorded event. All industry members that have business clocks that are subject to the clock synchronization requirements must document and maintain. Clock synchronisation under mifid ii. This alert provides guidance regarding upcoming deadlines regarding clock synchronization requirements, including. Mifid ii requires that. Clock Synchronization Rule.
From contest.techbriefs.com
Clock Synchronization Techniques for Distributed Systems Clock Synchronization Rule Draft internal and external requirements for three aspects of clock synchronisation: Mifid ii requires that all trading venues and their members or participants. All industry members that have business clocks that are subject to the clock synchronization requirements must document and maintain. This alert provides guidance regarding upcoming deadlines regarding clock synchronization requirements, including. Industry members must document and maintain. Clock Synchronization Rule.
From github.com
GitHub AleUP170/ClockSynchronizationAlgorithms Basic implementations Clock Synchronization Rule Industry members must document and maintain their synchronization procedures for business clocks. (c) computer system and mechanical clocks must be synchronized every business day before market open to ensure that recorded event. Draft internal and external requirements for three aspects of clock synchronisation: All industry members that have business clocks that are subject to the clock synchronization requirements must document. Clock Synchronization Rule.
From encyclopedia.pub
Time Synchronization Encyclopedia MDPI Clock Synchronization Rule Industry members must keep a log of. Finra’s consolidated audit trail (cat) rule 6820 (clock synchronization) requires that each cat member firm satisfy clock. The clock synchronization standards for cat reportable events are found in section 6.8 of. Industry members must document and maintain their synchronization procedures for business clocks. This alert provides guidance regarding upcoming deadlines regarding clock synchronization. Clock Synchronization Rule.
From www.researchgate.net
Clock synchronization implementation Download Scientific Diagram Clock Synchronization Rule (c) computer system and mechanical clocks must be synchronized every business day before market open to ensure that recorded event. Finra’s consolidated audit trail (cat) rule 6820 (clock synchronization) requires that each cat member firm satisfy clock. Clock synchronisation under mifid ii. The clock synchronization standards for cat reportable events are found in section 6.8 of. Industry members must keep. Clock Synchronization Rule.
From sapling-inc.com
Synchronized Clock Systems Explained Sapling Clocks Clock Synchronization Rule Industry members must document and maintain their synchronization procedures for business clocks. Industry members must keep a log of. All industry members that have business clocks that are subject to the clock synchronization requirements must document and maintain. Clock synchronisation under mifid ii. Mifid ii requires that all trading venues and their members or participants. This alert provides guidance regarding. Clock Synchronization Rule.
From medium.com
IEEE1588 based PTP protocol for Clock Synchronization in IoT Clock Synchronization Rule Mifid ii requires that all trading venues and their members or participants. (c) computer system and mechanical clocks must be synchronized every business day before market open to ensure that recorded event. The clock synchronization standards for cat reportable events are found in section 6.8 of. Industry members must keep a log of. This alert provides guidance regarding upcoming deadlines. Clock Synchronization Rule.
From www.slideserve.com
PPT Synchronization in Distributed Systems PowerPoint Presentation Clock Synchronization Rule Finra’s consolidated audit trail (cat) rule 6820 (clock synchronization) requires that each cat member firm satisfy clock. All industry members that have business clocks that are subject to the clock synchronization requirements must document and maintain. (c) computer system and mechanical clocks must be synchronized every business day before market open to ensure that recorded event. This alert provides guidance. Clock Synchronization Rule.