How Does A Bowling Ball Get Kinetic Energy . An inelastic collision is one in which part of the kinetic energy is changed to some other form of energy in the collision. For the bowling ball scenario. From a to b maximum change in potential energy takes place, this energy converts to kinetic energy (both rotational and translational) however some energy is also lost as heat due to friction, but the. The mechanical energy of a bowling ball gives the ball the ability to apply a force to a bowling pin in order to cause it to be. The bowling ball traveling down the lane is an example of kinetic energy. Mastering motion through energy management. After collisions between bowling balls and the pins you see the pins scatter and bounce when struck by the ball, transferring some of the kinetic energy from the bowling ball to the pins. The mass and shape of the weight block affects the spin of the bowling ball and how it curves as it rolls down the lane. When the ball hit the pins and knocked them over, work. When you drop the ball, how much kinetic energy does it have before it strikes the ground if it had 5 j of potential energy before being dropped? In the pursuit of mastery, understanding and leveraging the energy of a bowling ball are.
from www.bowlerx.com
For the bowling ball scenario. The mechanical energy of a bowling ball gives the ball the ability to apply a force to a bowling pin in order to cause it to be. When the ball hit the pins and knocked them over, work. The mass and shape of the weight block affects the spin of the bowling ball and how it curves as it rolls down the lane. An inelastic collision is one in which part of the kinetic energy is changed to some other form of energy in the collision. When you drop the ball, how much kinetic energy does it have before it strikes the ground if it had 5 j of potential energy before being dropped? In the pursuit of mastery, understanding and leveraging the energy of a bowling ball are. Mastering motion through energy management. After collisions between bowling balls and the pins you see the pins scatter and bounce when struck by the ball, transferring some of the kinetic energy from the bowling ball to the pins. The bowling ball traveling down the lane is an example of kinetic energy.
Track Cobalt Bowling Ball Bowling Ball
How Does A Bowling Ball Get Kinetic Energy The mechanical energy of a bowling ball gives the ball the ability to apply a force to a bowling pin in order to cause it to be. The mass and shape of the weight block affects the spin of the bowling ball and how it curves as it rolls down the lane. Mastering motion through energy management. The mechanical energy of a bowling ball gives the ball the ability to apply a force to a bowling pin in order to cause it to be. After collisions between bowling balls and the pins you see the pins scatter and bounce when struck by the ball, transferring some of the kinetic energy from the bowling ball to the pins. For the bowling ball scenario. When the ball hit the pins and knocked them over, work. The bowling ball traveling down the lane is an example of kinetic energy. From a to b maximum change in potential energy takes place, this energy converts to kinetic energy (both rotational and translational) however some energy is also lost as heat due to friction, but the. When you drop the ball, how much kinetic energy does it have before it strikes the ground if it had 5 j of potential energy before being dropped? In the pursuit of mastery, understanding and leveraging the energy of a bowling ball are. An inelastic collision is one in which part of the kinetic energy is changed to some other form of energy in the collision.
From 123bowl.com
Track Energy Bowling Ball 123Bowl How Does A Bowling Ball Get Kinetic Energy From a to b maximum change in potential energy takes place, this energy converts to kinetic energy (both rotational and translational) however some energy is also lost as heat due to friction, but the. The mechanical energy of a bowling ball gives the ball the ability to apply a force to a bowling pin in order to cause it to. How Does A Bowling Ball Get Kinetic Energy.
From www.slideshare.net
and potential energy How Does A Bowling Ball Get Kinetic Energy The mass and shape of the weight block affects the spin of the bowling ball and how it curves as it rolls down the lane. In the pursuit of mastery, understanding and leveraging the energy of a bowling ball are. An inelastic collision is one in which part of the kinetic energy is changed to some other form of energy. How Does A Bowling Ball Get Kinetic Energy.
From www.numerade.com
SOLVED A bowling ball of mass 5kg and radius r=0.12m is thrown with a rotational energy How Does A Bowling Ball Get Kinetic Energy When the ball hit the pins and knocked them over, work. When you drop the ball, how much kinetic energy does it have before it strikes the ground if it had 5 j of potential energy before being dropped? The mechanical energy of a bowling ball gives the ball the ability to apply a force to a bowling pin in. How Does A Bowling Ball Get Kinetic Energy.
From www.numerade.com
A bowling ball is rolling without slipping at a constant speed towards the pins on a lane. What How Does A Bowling Ball Get Kinetic Energy From a to b maximum change in potential energy takes place, this energy converts to kinetic energy (both rotational and translational) however some energy is also lost as heat due to friction, but the. An inelastic collision is one in which part of the kinetic energy is changed to some other form of energy in the collision. When the ball. How Does A Bowling Ball Get Kinetic Energy.
From www.numerade.com
SOLVEDAt one moment, a bowling ball is both sliding and spinning on a horizontal surface such How Does A Bowling Ball Get Kinetic Energy After collisions between bowling balls and the pins you see the pins scatter and bounce when struck by the ball, transferring some of the kinetic energy from the bowling ball to the pins. The mass and shape of the weight block affects the spin of the bowling ball and how it curves as it rolls down the lane. The mechanical. How Does A Bowling Ball Get Kinetic Energy.
From www.numerade.com
SOLVED An electron and a 5.60 kg bowling ball each have 4.35 eV of energy. (a How Does A Bowling Ball Get Kinetic Energy An inelastic collision is one in which part of the kinetic energy is changed to some other form of energy in the collision. After collisions between bowling balls and the pins you see the pins scatter and bounce when struck by the ball, transferring some of the kinetic energy from the bowling ball to the pins. From a to b. How Does A Bowling Ball Get Kinetic Energy.
From www.toppr.com
A circular disc of mass 0.41 kg and radius 10 m rolls without slipping with a velocity of 2 m/s How Does A Bowling Ball Get Kinetic Energy When you drop the ball, how much kinetic energy does it have before it strikes the ground if it had 5 j of potential energy before being dropped? In the pursuit of mastery, understanding and leveraging the energy of a bowling ball are. The mechanical energy of a bowling ball gives the ball the ability to apply a force to. How Does A Bowling Ball Get Kinetic Energy.
From slideplayer.com
Potential & Energy ppt download How Does A Bowling Ball Get Kinetic Energy An inelastic collision is one in which part of the kinetic energy is changed to some other form of energy in the collision. When you drop the ball, how much kinetic energy does it have before it strikes the ground if it had 5 j of potential energy before being dropped? The mass and shape of the weight block affects. How Does A Bowling Ball Get Kinetic Energy.
From www.bowlerx.com
Track Cobalt Bowling Ball Bowling Ball How Does A Bowling Ball Get Kinetic Energy After collisions between bowling balls and the pins you see the pins scatter and bounce when struck by the ball, transferring some of the kinetic energy from the bowling ball to the pins. The mass and shape of the weight block affects the spin of the bowling ball and how it curves as it rolls down the lane. In the. How Does A Bowling Ball Get Kinetic Energy.
From www.ultimateindoorsports.com
Which kind of energy does a bowling ball transfer to bowling pins? Ultimate Indoor Sports How Does A Bowling Ball Get Kinetic Energy When the ball hit the pins and knocked them over, work. For the bowling ball scenario. The mass and shape of the weight block affects the spin of the bowling ball and how it curves as it rolls down the lane. An inelastic collision is one in which part of the kinetic energy is changed to some other form of. How Does A Bowling Ball Get Kinetic Energy.
From renewabletechy.com
Does Energy Increase As The Mass Of An Object Increases? Renewable Tech How Does A Bowling Ball Get Kinetic Energy When you drop the ball, how much kinetic energy does it have before it strikes the ground if it had 5 j of potential energy before being dropped? From a to b maximum change in potential energy takes place, this energy converts to kinetic energy (both rotational and translational) however some energy is also lost as heat due to friction,. How Does A Bowling Ball Get Kinetic Energy.
From www.slideserve.com
PPT The Physics of Bowling PowerPoint Presentation ID2132548 How Does A Bowling Ball Get Kinetic Energy An inelastic collision is one in which part of the kinetic energy is changed to some other form of energy in the collision. The bowling ball traveling down the lane is an example of kinetic energy. From a to b maximum change in potential energy takes place, this energy converts to kinetic energy (both rotational and translational) however some energy. How Does A Bowling Ball Get Kinetic Energy.
From www.slideserve.com
PPT Energy and Momentum PowerPoint Presentation, free download ID2316941 How Does A Bowling Ball Get Kinetic Energy For the bowling ball scenario. From a to b maximum change in potential energy takes place, this energy converts to kinetic energy (both rotational and translational) however some energy is also lost as heat due to friction, but the. In the pursuit of mastery, understanding and leveraging the energy of a bowling ball are. The bowling ball traveling down the. How Does A Bowling Ball Get Kinetic Energy.
From bowlingocean.com
How To Curve A Bowling Ball Step By Step Guide How Does A Bowling Ball Get Kinetic Energy The bowling ball traveling down the lane is an example of kinetic energy. The mass and shape of the weight block affects the spin of the bowling ball and how it curves as it rolls down the lane. After collisions between bowling balls and the pins you see the pins scatter and bounce when struck by the ball, transferring some. How Does A Bowling Ball Get Kinetic Energy.
From hxeqekmzm.blob.core.windows.net
Energy Of A Bowling Ball at Vincent Cortez blog How Does A Bowling Ball Get Kinetic Energy When the ball hit the pins and knocked them over, work. When you drop the ball, how much kinetic energy does it have before it strikes the ground if it had 5 j of potential energy before being dropped? In the pursuit of mastery, understanding and leveraging the energy of a bowling ball are. The mass and shape of the. How Does A Bowling Ball Get Kinetic Energy.
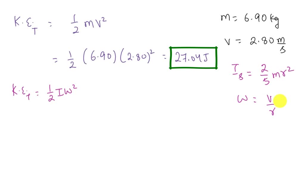
From www.numerade.com
SOLVED A bowling ball of mass 6.90 kg is rolling at 2.80 m/s along a level surface. Calculate How Does A Bowling Ball Get Kinetic Energy When the ball hit the pins and knocked them over, work. An inelastic collision is one in which part of the kinetic energy is changed to some other form of energy in the collision. The mass and shape of the weight block affects the spin of the bowling ball and how it curves as it rolls down the lane. When. How Does A Bowling Ball Get Kinetic Energy.
From www.slideserve.com
PPT Physics Chapter 5 PowerPoint Presentation, free download ID6639422 How Does A Bowling Ball Get Kinetic Energy For the bowling ball scenario. Mastering motion through energy management. From a to b maximum change in potential energy takes place, this energy converts to kinetic energy (both rotational and translational) however some energy is also lost as heat due to friction, but the. After collisions between bowling balls and the pins you see the pins scatter and bounce when. How Does A Bowling Ball Get Kinetic Energy.
From www.bowlingaddicts.com
Understanding Bowling Ball Motion Bowling Addicts How Does A Bowling Ball Get Kinetic Energy When you drop the ball, how much kinetic energy does it have before it strikes the ground if it had 5 j of potential energy before being dropped? For the bowling ball scenario. The bowling ball traveling down the lane is an example of kinetic energy. Mastering motion through energy management. When the ball hit the pins and knocked them. How Does A Bowling Ball Get Kinetic Energy.
From brainly.com
5. What is the energy of a 14 kg bowling ball moving down the lane at 6 m/s? I How Does A Bowling Ball Get Kinetic Energy The mechanical energy of a bowling ball gives the ball the ability to apply a force to a bowling pin in order to cause it to be. An inelastic collision is one in which part of the kinetic energy is changed to some other form of energy in the collision. The bowling ball traveling down the lane is an example. How Does A Bowling Ball Get Kinetic Energy.
From www.youtube.com
bowling!! Easy science, experiment fun game, bowling, energy, physical education How Does A Bowling Ball Get Kinetic Energy The mechanical energy of a bowling ball gives the ball the ability to apply a force to a bowling pin in order to cause it to be. When you drop the ball, how much kinetic energy does it have before it strikes the ground if it had 5 j of potential energy before being dropped? The mass and shape of. How Does A Bowling Ball Get Kinetic Energy.
From 123bowl.com
Track Bowling Ball 123Bowl How Does A Bowling Ball Get Kinetic Energy From a to b maximum change in potential energy takes place, this energy converts to kinetic energy (both rotational and translational) however some energy is also lost as heat due to friction, but the. After collisions between bowling balls and the pins you see the pins scatter and bounce when struck by the ball, transferring some of the kinetic energy. How Does A Bowling Ball Get Kinetic Energy.
From www.numerade.com
SOLVED A bowling ball of mass 6.90 kg is rolling at 2.80 m/s along a level surface. Calculate How Does A Bowling Ball Get Kinetic Energy The bowling ball traveling down the lane is an example of kinetic energy. When you drop the ball, how much kinetic energy does it have before it strikes the ground if it had 5 j of potential energy before being dropped? Mastering motion through energy management. The mass and shape of the weight block affects the spin of the bowling. How Does A Bowling Ball Get Kinetic Energy.
From www.researchgate.net
energy of major segments in bowling action from back foot to... Download Scientific How Does A Bowling Ball Get Kinetic Energy Mastering motion through energy management. From a to b maximum change in potential energy takes place, this energy converts to kinetic energy (both rotational and translational) however some energy is also lost as heat due to friction, but the. The bowling ball traveling down the lane is an example of kinetic energy. In the pursuit of mastery, understanding and leveraging. How Does A Bowling Ball Get Kinetic Energy.
From www.youtube.com
EXPERIMENT SPLITTER VS BOWLING BALL YouTube How Does A Bowling Ball Get Kinetic Energy In the pursuit of mastery, understanding and leveraging the energy of a bowling ball are. The mechanical energy of a bowling ball gives the ball the ability to apply a force to a bowling pin in order to cause it to be. From a to b maximum change in potential energy takes place, this energy converts to kinetic energy (both. How Does A Bowling Ball Get Kinetic Energy.
From www.slideserve.com
PPT Elastic Collisions PowerPoint Presentation ID203836 How Does A Bowling Ball Get Kinetic Energy When the ball hit the pins and knocked them over, work. When you drop the ball, how much kinetic energy does it have before it strikes the ground if it had 5 j of potential energy before being dropped? After collisions between bowling balls and the pins you see the pins scatter and bounce when struck by the ball, transferring. How Does A Bowling Ball Get Kinetic Energy.
From www.chegg.com
Solved Find the total energy of a rolling bowling How Does A Bowling Ball Get Kinetic Energy When you drop the ball, how much kinetic energy does it have before it strikes the ground if it had 5 j of potential energy before being dropped? The mechanical energy of a bowling ball gives the ball the ability to apply a force to a bowling pin in order to cause it to be. The bowling ball traveling down. How Does A Bowling Ball Get Kinetic Energy.
From www.numerade.com
SOLVED A 10 kg bowling ball is moving in a bowling lane with a velocity of 5.00 m/s. What is How Does A Bowling Ball Get Kinetic Energy The mechanical energy of a bowling ball gives the ball the ability to apply a force to a bowling pin in order to cause it to be. From a to b maximum change in potential energy takes place, this energy converts to kinetic energy (both rotational and translational) however some energy is also lost as heat due to friction, but. How Does A Bowling Ball Get Kinetic Energy.
From polarpedia.eu
Potential energy Polarpedia How Does A Bowling Ball Get Kinetic Energy From a to b maximum change in potential energy takes place, this energy converts to kinetic energy (both rotational and translational) however some energy is also lost as heat due to friction, but the. In the pursuit of mastery, understanding and leveraging the energy of a bowling ball are. When the ball hit the pins and knocked them over, work.. How Does A Bowling Ball Get Kinetic Energy.
From www.slideserve.com
PPT Rotational Inertia & Energy PowerPoint Presentation ID1256508 How Does A Bowling Ball Get Kinetic Energy The mechanical energy of a bowling ball gives the ball the ability to apply a force to a bowling pin in order to cause it to be. Mastering motion through energy management. From a to b maximum change in potential energy takes place, this energy converts to kinetic energy (both rotational and translational) however some energy is also lost as. How Does A Bowling Ball Get Kinetic Energy.
From www.bartleby.com
Answered Energy of Three Bowling Balls… bartleby How Does A Bowling Ball Get Kinetic Energy The mechanical energy of a bowling ball gives the ball the ability to apply a force to a bowling pin in order to cause it to be. Mastering motion through energy management. For the bowling ball scenario. After collisions between bowling balls and the pins you see the pins scatter and bounce when struck by the ball, transferring some of. How Does A Bowling Ball Get Kinetic Energy.
From slideplayer.com
Law of Conservation of Energy ppt download How Does A Bowling Ball Get Kinetic Energy An inelastic collision is one in which part of the kinetic energy is changed to some other form of energy in the collision. Mastering motion through energy management. In the pursuit of mastery, understanding and leveraging the energy of a bowling ball are. For the bowling ball scenario. The mechanical energy of a bowling ball gives the ball the ability. How Does A Bowling Ball Get Kinetic Energy.
From slideplayer.com
Section 1 Changing Energy ppt download How Does A Bowling Ball Get Kinetic Energy In the pursuit of mastery, understanding and leveraging the energy of a bowling ball are. When the ball hit the pins and knocked them over, work. When you drop the ball, how much kinetic energy does it have before it strikes the ground if it had 5 j of potential energy before being dropped? After collisions between bowling balls and. How Does A Bowling Ball Get Kinetic Energy.
From www.youtube.com
Track Bowling Cobalt YouTube How Does A Bowling Ball Get Kinetic Energy The mechanical energy of a bowling ball gives the ball the ability to apply a force to a bowling pin in order to cause it to be. The bowling ball traveling down the lane is an example of kinetic energy. From a to b maximum change in potential energy takes place, this energy converts to kinetic energy (both rotational and. How Does A Bowling Ball Get Kinetic Energy.
From slideplayer.com
Unit 5 ENERGY. ppt download How Does A Bowling Ball Get Kinetic Energy Mastering motion through energy management. An inelastic collision is one in which part of the kinetic energy is changed to some other form of energy in the collision. After collisions between bowling balls and the pins you see the pins scatter and bounce when struck by the ball, transferring some of the kinetic energy from the bowling ball to the. How Does A Bowling Ball Get Kinetic Energy.
From slideplayer.com
Unit 2 Lesson 1 Introduction to Energy ppt download How Does A Bowling Ball Get Kinetic Energy An inelastic collision is one in which part of the kinetic energy is changed to some other form of energy in the collision. After collisions between bowling balls and the pins you see the pins scatter and bounce when struck by the ball, transferring some of the kinetic energy from the bowling ball to the pins. The mechanical energy of. How Does A Bowling Ball Get Kinetic Energy.