Mg3N2 Magnesium Charge . What happens when magnesium nitride reacts with water? When magnesium nitride ( mg3n2) reacts with warm water (h2o),. Magnesium nitride\ (mg_3n_2\) is an ionic. The overall charge of the. Mg 3 n 2 + 6h 2 o → 3mg (oh) 2 + 2nh 3. In this video we'll write the correct formula for magnesium nitride (mg3n2).to write. Magnesium is in group 2 of the periodic table and typically loses two electrons to form a magnesium ion with a charge of +2 (mg^2+). Recognize and detect the effects of electrostatic charges on your balance.
from www.numerade.com
Recognize and detect the effects of electrostatic charges on your balance. The overall charge of the. Magnesium is in group 2 of the periodic table and typically loses two electrons to form a magnesium ion with a charge of +2 (mg^2+). What happens when magnesium nitride reacts with water? When magnesium nitride ( mg3n2) reacts with warm water (h2o),. In this video we'll write the correct formula for magnesium nitride (mg3n2).to write. Magnesium nitride\ (mg_3n_2\) is an ionic. Mg 3 n 2 + 6h 2 o → 3mg (oh) 2 + 2nh 3.
SOLVED Magnesium burns in air to produce magnesium oxide; MgO, and magnesium nitride; Mg3N2
Mg3N2 Magnesium Charge Mg 3 n 2 + 6h 2 o → 3mg (oh) 2 + 2nh 3. When magnesium nitride ( mg3n2) reacts with warm water (h2o),. What happens when magnesium nitride reacts with water? Magnesium nitride\ (mg_3n_2\) is an ionic. The overall charge of the. Mg 3 n 2 + 6h 2 o → 3mg (oh) 2 + 2nh 3. Recognize and detect the effects of electrostatic charges on your balance. In this video we'll write the correct formula for magnesium nitride (mg3n2).to write. Magnesium is in group 2 of the periodic table and typically loses two electrons to form a magnesium ion with a charge of +2 (mg^2+).
From h-o-m-e.org
What Is The Magnesium Nitride Formula? Mg3N2 Magnesium Charge What happens when magnesium nitride reacts with water? Recognize and detect the effects of electrostatic charges on your balance. Magnesium nitride\ (mg_3n_2\) is an ionic. When magnesium nitride ( mg3n2) reacts with warm water (h2o),. Magnesium is in group 2 of the periodic table and typically loses two electrons to form a magnesium ion with a charge of +2 (mg^2+).. Mg3N2 Magnesium Charge.
From www.numerade.com
SOLVED Magnesium and nitrogen react in a combination reaction to produce magnesium nitride. 3 Mg3N2 Magnesium Charge Magnesium is in group 2 of the periodic table and typically loses two electrons to form a magnesium ion with a charge of +2 (mg^2+). When magnesium nitride ( mg3n2) reacts with warm water (h2o),. In this video we'll write the correct formula for magnesium nitride (mg3n2).to write. Recognize and detect the effects of electrostatic charges on your balance. What. Mg3N2 Magnesium Charge.
From www.youtube.com
Is Mg(NO3)2 (Magnesium nitrate) Ionic or Covalent? YouTube Mg3N2 Magnesium Charge In this video we'll write the correct formula for magnesium nitride (mg3n2).to write. The overall charge of the. Magnesium is in group 2 of the periodic table and typically loses two electrons to form a magnesium ion with a charge of +2 (mg^2+). Recognize and detect the effects of electrostatic charges on your balance. What happens when magnesium nitride reacts. Mg3N2 Magnesium Charge.
From www.numerade.com
SOLVED Magnesium burns in air to produce magnesium oxide; MgO, and magnesium nitride; Mg3N2 Mg3N2 Magnesium Charge Magnesium nitride\ (mg_3n_2\) is an ionic. The overall charge of the. What happens when magnesium nitride reacts with water? Recognize and detect the effects of electrostatic charges on your balance. Magnesium is in group 2 of the periodic table and typically loses two electrons to form a magnesium ion with a charge of +2 (mg^2+). Mg 3 n 2 +. Mg3N2 Magnesium Charge.
From www.numerade.com
SOLVED Ammonia can be made by the reaction of water with magnesium nitride as shown by the Mg3N2 Magnesium Charge Magnesium is in group 2 of the periodic table and typically loses two electrons to form a magnesium ion with a charge of +2 (mg^2+). Recognize and detect the effects of electrostatic charges on your balance. When magnesium nitride ( mg3n2) reacts with warm water (h2o),. Mg 3 n 2 + 6h 2 o → 3mg (oh) 2 + 2nh. Mg3N2 Magnesium Charge.
From enginedatanichered.z21.web.core.windows.net
Atomic Diagram Of Magnesium Mg3N2 Magnesium Charge The overall charge of the. What happens when magnesium nitride reacts with water? Magnesium is in group 2 of the periodic table and typically loses two electrons to form a magnesium ion with a charge of +2 (mg^2+). Mg 3 n 2 + 6h 2 o → 3mg (oh) 2 + 2nh 3. Recognize and detect the effects of electrostatic. Mg3N2 Magnesium Charge.
From www.youtube.com
find the percentage of nitrogen in Mg3N2 mydocumentary838 percentage of N in magnesium nitride Mg3N2 Magnesium Charge Mg 3 n 2 + 6h 2 o → 3mg (oh) 2 + 2nh 3. Magnesium nitride\ (mg_3n_2\) is an ionic. Magnesium is in group 2 of the periodic table and typically loses two electrons to form a magnesium ion with a charge of +2 (mg^2+). When magnesium nitride ( mg3n2) reacts with warm water (h2o),. The overall charge of. Mg3N2 Magnesium Charge.
From www.youtube.com
How to Find the Ionic Charge for Magnesium (Mg) YouTube Mg3N2 Magnesium Charge Mg 3 n 2 + 6h 2 o → 3mg (oh) 2 + 2nh 3. Magnesium is in group 2 of the periodic table and typically loses two electrons to form a magnesium ion with a charge of +2 (mg^2+). What happens when magnesium nitride reacts with water? Magnesium nitride\ (mg_3n_2\) is an ionic. When magnesium nitride ( mg3n2) reacts. Mg3N2 Magnesium Charge.
From www.researchgate.net
of pure Mg3N2 under room environment (20 °C, relative... Download Scientific Diagram Mg3N2 Magnesium Charge Mg 3 n 2 + 6h 2 o → 3mg (oh) 2 + 2nh 3. Magnesium is in group 2 of the periodic table and typically loses two electrons to form a magnesium ion with a charge of +2 (mg^2+). What happens when magnesium nitride reacts with water? Recognize and detect the effects of electrostatic charges on your balance. When. Mg3N2 Magnesium Charge.
From www.youtube.com
Magnesium oxidation number in Mg3N2 ( magnesium nitride ) YouTube Mg3N2 Magnesium Charge In this video we'll write the correct formula for magnesium nitride (mg3n2).to write. Magnesium nitride\ (mg_3n_2\) is an ionic. Recognize and detect the effects of electrostatic charges on your balance. Mg 3 n 2 + 6h 2 o → 3mg (oh) 2 + 2nh 3. When magnesium nitride ( mg3n2) reacts with warm water (h2o),. What happens when magnesium nitride. Mg3N2 Magnesium Charge.
From www.pinterest.com
Mg3N2(Magnesium Nitride) Nanoparticles, 99.95, 35um Nanografi Nano Technology Synthetic Mg3N2 Magnesium Charge Magnesium is in group 2 of the periodic table and typically loses two electrons to form a magnesium ion with a charge of +2 (mg^2+). In this video we'll write the correct formula for magnesium nitride (mg3n2).to write. Mg 3 n 2 + 6h 2 o → 3mg (oh) 2 + 2nh 3. Recognize and detect the effects of electrostatic. Mg3N2 Magnesium Charge.
From www.numerade.com
SOLVED a) Explain the formation of Mg3N2 by the transfer of electrons. b) Name the ions present Mg3N2 Magnesium Charge Magnesium is in group 2 of the periodic table and typically loses two electrons to form a magnesium ion with a charge of +2 (mg^2+). What happens when magnesium nitride reacts with water? When magnesium nitride ( mg3n2) reacts with warm water (h2o),. Magnesium nitride\ (mg_3n_2\) is an ionic. Mg 3 n 2 + 6h 2 o → 3mg (oh). Mg3N2 Magnesium Charge.
From valenceelectrons.com
How to Write the Electron Configuration for Magnesium (Mg)? Mg3N2 Magnesium Charge In this video we'll write the correct formula for magnesium nitride (mg3n2).to write. What happens when magnesium nitride reacts with water? Mg 3 n 2 + 6h 2 o → 3mg (oh) 2 + 2nh 3. When magnesium nitride ( mg3n2) reacts with warm water (h2o),. Magnesium nitride\ (mg_3n_2\) is an ionic. Magnesium is in group 2 of the periodic. Mg3N2 Magnesium Charge.
From slideplayer.com
Presentation init 12/8/2010 by Daniel R. Barnes ppt download Mg3N2 Magnesium Charge What happens when magnesium nitride reacts with water? In this video we'll write the correct formula for magnesium nitride (mg3n2).to write. When magnesium nitride ( mg3n2) reacts with warm water (h2o),. Magnesium nitride\ (mg_3n_2\) is an ionic. The overall charge of the. Recognize and detect the effects of electrostatic charges on your balance. Mg 3 n 2 + 6h 2. Mg3N2 Magnesium Charge.
From www.youtube.com
How to Draw the Lewis Dot Structure for Mg3N2 Magnesium nitride YouTube Mg3N2 Magnesium Charge Mg 3 n 2 + 6h 2 o → 3mg (oh) 2 + 2nh 3. What happens when magnesium nitride reacts with water? Magnesium nitride\ (mg_3n_2\) is an ionic. In this video we'll write the correct formula for magnesium nitride (mg3n2).to write. The overall charge of the. Magnesium is in group 2 of the periodic table and typically loses two. Mg3N2 Magnesium Charge.
From ar.inspiredpencil.com
Mg3n2 Lewis Structure Mg3N2 Magnesium Charge What happens when magnesium nitride reacts with water? When magnesium nitride ( mg3n2) reacts with warm water (h2o),. Magnesium is in group 2 of the periodic table and typically loses two electrons to form a magnesium ion with a charge of +2 (mg^2+). In this video we'll write the correct formula for magnesium nitride (mg3n2).to write. Mg 3 n 2. Mg3N2 Magnesium Charge.
From www.slideserve.com
PPT Valence Electrons and ionic Bonding PowerPoint Presentation, free download ID6745737 Mg3N2 Magnesium Charge The overall charge of the. Mg 3 n 2 + 6h 2 o → 3mg (oh) 2 + 2nh 3. Magnesium is in group 2 of the periodic table and typically loses two electrons to form a magnesium ion with a charge of +2 (mg^2+). In this video we'll write the correct formula for magnesium nitride (mg3n2).to write. What happens. Mg3N2 Magnesium Charge.
From www.numerade.com
SOLVED ' Magnesium and nitrogen react in a combination reaction to produce magnesium nitride 3 Mg3N2 Magnesium Charge Recognize and detect the effects of electrostatic charges on your balance. The overall charge of the. When magnesium nitride ( mg3n2) reacts with warm water (h2o),. What happens when magnesium nitride reacts with water? In this video we'll write the correct formula for magnesium nitride (mg3n2).to write. Magnesium nitride\ (mg_3n_2\) is an ionic. Magnesium is in group 2 of the. Mg3N2 Magnesium Charge.
From www.numerade.com
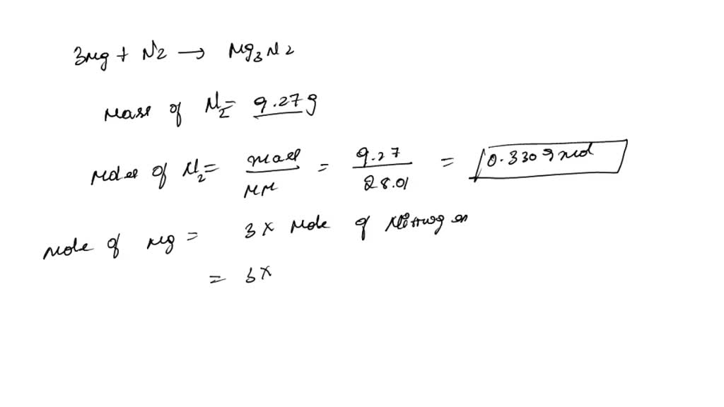
SOLVEDQUESTION 12 Given the reaction 3Mg MgzN2 Whatis the unit Path used to calculate the Mg3N2 Magnesium Charge Recognize and detect the effects of electrostatic charges on your balance. The overall charge of the. Magnesium nitride\ (mg_3n_2\) is an ionic. In this video we'll write the correct formula for magnesium nitride (mg3n2).to write. Mg 3 n 2 + 6h 2 o → 3mg (oh) 2 + 2nh 3. Magnesium is in group 2 of the periodic table and. Mg3N2 Magnesium Charge.
From galvinconanstuart.blogspot.com
Lewis Dot Diagram For Magnesium General Wiring Diagram Mg3N2 Magnesium Charge Recognize and detect the effects of electrostatic charges on your balance. Mg 3 n 2 + 6h 2 o → 3mg (oh) 2 + 2nh 3. The overall charge of the. Magnesium is in group 2 of the periodic table and typically loses two electrons to form a magnesium ion with a charge of +2 (mg^2+). In this video we'll. Mg3N2 Magnesium Charge.
From www.youtube.com
The reaction between Magnesium nitride (Mg3N2) & Water (H2O) Mg3N2+H2O YouTube Mg3N2 Magnesium Charge The overall charge of the. Magnesium is in group 2 of the periodic table and typically loses two electrons to form a magnesium ion with a charge of +2 (mg^2+). When magnesium nitride ( mg3n2) reacts with warm water (h2o),. Magnesium nitride\ (mg_3n_2\) is an ionic. In this video we'll write the correct formula for magnesium nitride (mg3n2).to write. What. Mg3N2 Magnesium Charge.
From www.numerade.com
SOLVED Magnesium and nitrogen react in a composition reaction to produce magnesium nitride Mg Mg3N2 Magnesium Charge In this video we'll write the correct formula for magnesium nitride (mg3n2).to write. What happens when magnesium nitride reacts with water? Magnesium nitride\ (mg_3n_2\) is an ionic. Recognize and detect the effects of electrostatic charges on your balance. The overall charge of the. Magnesium is in group 2 of the periodic table and typically loses two electrons to form a. Mg3N2 Magnesium Charge.
From www.youtube.com
Type of Reaction for Mg + N2 = Mg3N2 YouTube Mg3N2 Magnesium Charge In this video we'll write the correct formula for magnesium nitride (mg3n2).to write. Recognize and detect the effects of electrostatic charges on your balance. The overall charge of the. Magnesium nitride\ (mg_3n_2\) is an ionic. What happens when magnesium nitride reacts with water? Magnesium is in group 2 of the periodic table and typically loses two electrons to form a. Mg3N2 Magnesium Charge.
From www.youtube.com
How to find the percent composition of Mg3N2 (Magnesium Nitride) YouTube Mg3N2 Magnesium Charge Recognize and detect the effects of electrostatic charges on your balance. Magnesium nitride\ (mg_3n_2\) is an ionic. When magnesium nitride ( mg3n2) reacts with warm water (h2o),. The overall charge of the. Magnesium is in group 2 of the periodic table and typically loses two electrons to form a magnesium ion with a charge of +2 (mg^2+). Mg 3 n. Mg3N2 Magnesium Charge.
From www.elementschina.com
Magnesium Nitride Mg3N2 CAS No.12057715 Elements China Mg3N2 Magnesium Charge Magnesium is in group 2 of the periodic table and typically loses two electrons to form a magnesium ion with a charge of +2 (mg^2+). Magnesium nitride\ (mg_3n_2\) is an ionic. Mg 3 n 2 + 6h 2 o → 3mg (oh) 2 + 2nh 3. When magnesium nitride ( mg3n2) reacts with warm water (h2o),. The overall charge of. Mg3N2 Magnesium Charge.
From www.chegg.com
Solved 10 > Determine the charge on each ion in the given Mg3N2 Magnesium Charge Magnesium is in group 2 of the periodic table and typically loses two electrons to form a magnesium ion with a charge of +2 (mg^2+). Mg 3 n 2 + 6h 2 o → 3mg (oh) 2 + 2nh 3. The overall charge of the. What happens when magnesium nitride reacts with water? Recognize and detect the effects of electrostatic. Mg3N2 Magnesium Charge.
From www.numerade.com
SOLVED Question 35 Select the correct answer. Which products are formed during the Mg3N2 Magnesium Charge The overall charge of the. Mg 3 n 2 + 6h 2 o → 3mg (oh) 2 + 2nh 3. When magnesium nitride ( mg3n2) reacts with warm water (h2o),. What happens when magnesium nitride reacts with water? Magnesium nitride\ (mg_3n_2\) is an ionic. Magnesium is in group 2 of the periodic table and typically loses two electrons to form. Mg3N2 Magnesium Charge.
From www.elementschina.com
Magnesium Nitride Mg3N2 CAS No.12057715 Elements China Mg3N2 Magnesium Charge What happens when magnesium nitride reacts with water? In this video we'll write the correct formula for magnesium nitride (mg3n2).to write. Magnesium nitride\ (mg_3n_2\) is an ionic. Magnesium is in group 2 of the periodic table and typically loses two electrons to form a magnesium ion with a charge of +2 (mg^2+). Recognize and detect the effects of electrostatic charges. Mg3N2 Magnesium Charge.
From www.slideserve.com
PPT Ionic Bonding PowerPoint Presentation, free download ID2755072 Mg3N2 Magnesium Charge The overall charge of the. Magnesium is in group 2 of the periodic table and typically loses two electrons to form a magnesium ion with a charge of +2 (mg^2+). Recognize and detect the effects of electrostatic charges on your balance. When magnesium nitride ( mg3n2) reacts with warm water (h2o),. Mg 3 n 2 + 6h 2 o →. Mg3N2 Magnesium Charge.
From www.slideserve.com
PPT Science 10 PowerPoint Presentation, free download ID4269655 Mg3N2 Magnesium Charge In this video we'll write the correct formula for magnesium nitride (mg3n2).to write. Mg 3 n 2 + 6h 2 o → 3mg (oh) 2 + 2nh 3. Magnesium nitride\ (mg_3n_2\) is an ionic. Recognize and detect the effects of electrostatic charges on your balance. The overall charge of the. What happens when magnesium nitride reacts with water? When magnesium. Mg3N2 Magnesium Charge.
From www.slideserve.com
PPT The Octet Rule PowerPoint Presentation, free download ID2654700 Mg3N2 Magnesium Charge The overall charge of the. Magnesium is in group 2 of the periodic table and typically loses two electrons to form a magnesium ion with a charge of +2 (mg^2+). Recognize and detect the effects of electrostatic charges on your balance. Mg 3 n 2 + 6h 2 o → 3mg (oh) 2 + 2nh 3. When magnesium nitride (. Mg3N2 Magnesium Charge.
From www.slideserve.com
PPT Ionic and Metallic Bonding PowerPoint Presentation, free download ID381179 Mg3N2 Magnesium Charge The overall charge of the. What happens when magnesium nitride reacts with water? Magnesium is in group 2 of the periodic table and typically loses two electrons to form a magnesium ion with a charge of +2 (mg^2+). Mg 3 n 2 + 6h 2 o → 3mg (oh) 2 + 2nh 3. Magnesium nitride\ (mg_3n_2\) is an ionic. When. Mg3N2 Magnesium Charge.
From www.youtube.com
Draw the Lewis Structure of Mg3P2 (magnesium phosphide) YouTube Mg3N2 Magnesium Charge The overall charge of the. Magnesium is in group 2 of the periodic table and typically loses two electrons to form a magnesium ion with a charge of +2 (mg^2+). When magnesium nitride ( mg3n2) reacts with warm water (h2o),. Magnesium nitride\ (mg_3n_2\) is an ionic. In this video we'll write the correct formula for magnesium nitride (mg3n2).to write. Mg. Mg3N2 Magnesium Charge.
From nanografi.com
Magnesium Nitride (Mg3N2) Nanopowder/Nanoparticles Mg3N2 Magnesium Charge Recognize and detect the effects of electrostatic charges on your balance. Mg 3 n 2 + 6h 2 o → 3mg (oh) 2 + 2nh 3. What happens when magnesium nitride reacts with water? The overall charge of the. Magnesium nitride\ (mg_3n_2\) is an ionic. Magnesium is in group 2 of the periodic table and typically loses two electrons to. Mg3N2 Magnesium Charge.
From www.youtube.com
How to Balance Mg3N2 + H2O = MgO + NH3 (Magnesium nitride + Water) YouTube Mg3N2 Magnesium Charge What happens when magnesium nitride reacts with water? When magnesium nitride ( mg3n2) reacts with warm water (h2o),. The overall charge of the. Magnesium nitride\ (mg_3n_2\) is an ionic. In this video we'll write the correct formula for magnesium nitride (mg3n2).to write. Recognize and detect the effects of electrostatic charges on your balance. Magnesium is in group 2 of the. Mg3N2 Magnesium Charge.