Protection Order In Kansas . The kansas protection order portal (kspop) lets a person with a computer or smartphone complete the process to ask a. You can use it to file for a protection order online. There are no filing fees for protection orders in kansas. These forms are copyrighted by the. You can use it to file for a protection order online. It explains important safety considerations,. You can file a protection order. Find legal forms for seeking and modifying protection orders in kansas. We provide assistance for filing protection from abuse orders and protection from stalking, sexual assault or human trafficking orders by:. Learn about the general instructions, confidential address,. It also has resources on. It also has resources on domestic violence, stalking, sexual assault and. Where can i file a protection order?
from www.templateroller.com
The kansas protection order portal (kspop) lets a person with a computer or smartphone complete the process to ask a. Learn about the general instructions, confidential address,. You can file a protection order. It also has resources on domestic violence, stalking, sexual assault and. Find legal forms for seeking and modifying protection orders in kansas. There are no filing fees for protection orders in kansas. You can use it to file for a protection order online. These forms are copyrighted by the. It also has resources on. Where can i file a protection order?
Kansas Counter Petition for Protection From Abuse Order Fill Out
Protection Order In Kansas It also has resources on. We provide assistance for filing protection from abuse orders and protection from stalking, sexual assault or human trafficking orders by:. It also has resources on domestic violence, stalking, sexual assault and. It explains important safety considerations,. Learn about the general instructions, confidential address,. Where can i file a protection order? The kansas protection order portal (kspop) lets a person with a computer or smartphone complete the process to ask a. You can use it to file for a protection order online. Find legal forms for seeking and modifying protection orders in kansas. There are no filing fees for protection orders in kansas. You can file a protection order. These forms are copyrighted by the. It also has resources on. You can use it to file for a protection order online.
From www.templateroller.com
Kansas Petition for Protection From Stalking, Sexual Assault, or Human Protection Order In Kansas Learn about the general instructions, confidential address,. You can use it to file for a protection order online. There are no filing fees for protection orders in kansas. These forms are copyrighted by the. It explains important safety considerations,. You can use it to file for a protection order online. Where can i file a protection order? You can file. Protection Order In Kansas.
From www.templateroller.com
Kansas Temporary Order of Protection From Abuse Download Fillable PDF Protection Order In Kansas Find legal forms for seeking and modifying protection orders in kansas. We provide assistance for filing protection from abuse orders and protection from stalking, sexual assault or human trafficking orders by:. The kansas protection order portal (kspop) lets a person with a computer or smartphone complete the process to ask a. These forms are copyrighted by the. Where can i. Protection Order In Kansas.
From www.pdffiller.com
2016 Kansas Ex Protective Custody Fill Online, Printable, Fillable Protection Order In Kansas Where can i file a protection order? It also has resources on domestic violence, stalking, sexual assault and. Find legal forms for seeking and modifying protection orders in kansas. It explains important safety considerations,. Learn about the general instructions, confidential address,. You can file a protection order. The kansas protection order portal (kspop) lets a person with a computer or. Protection Order In Kansas.
From www.templateroller.com
Kansas Petition for Protection From Abuse Order Download Fillable PDF Protection Order In Kansas You can file a protection order. Find legal forms for seeking and modifying protection orders in kansas. You can use it to file for a protection order online. The kansas protection order portal (kspop) lets a person with a computer or smartphone complete the process to ask a. Where can i file a protection order? There are no filing fees. Protection Order In Kansas.
From www.pdffiller.com
2012 Kansas Order Protection Abuse Sample Fill Online, Printable Protection Order In Kansas It also has resources on. Learn about the general instructions, confidential address,. The kansas protection order portal (kspop) lets a person with a computer or smartphone complete the process to ask a. You can use it to file for a protection order online. You can use it to file for a protection order online. Find legal forms for seeking and. Protection Order In Kansas.
From www.templateroller.com
Kansas Summons and Notice of Hearing for Protection Order Download Protection Order In Kansas These forms are copyrighted by the. Where can i file a protection order? We provide assistance for filing protection from abuse orders and protection from stalking, sexual assault or human trafficking orders by:. Find legal forms for seeking and modifying protection orders in kansas. It also has resources on domestic violence, stalking, sexual assault and. It also has resources on.. Protection Order In Kansas.
From www.yumpu.com
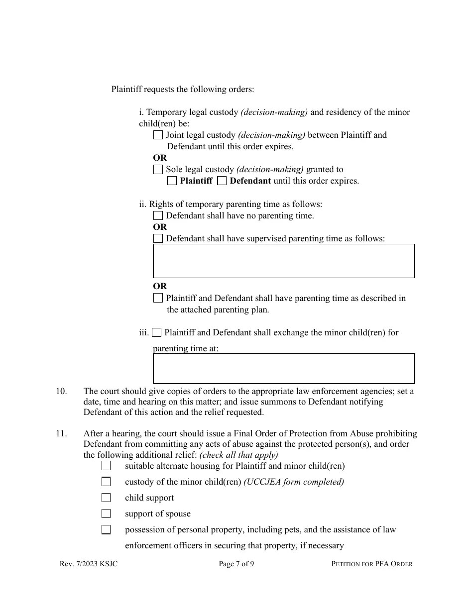
Petition for Protection from Abuse Order Kansas Judicial Council Protection Order In Kansas It explains important safety considerations,. You can file a protection order. You can use it to file for a protection order online. You can use it to file for a protection order online. It also has resources on. The kansas protection order portal (kspop) lets a person with a computer or smartphone complete the process to ask a. These forms. Protection Order In Kansas.
From www.templateroller.com
Kansas Modification of Protection From Abuse Order Download Printable Protection Order In Kansas It explains important safety considerations,. Where can i file a protection order? We provide assistance for filing protection from abuse orders and protection from stalking, sexual assault or human trafficking orders by:. You can use it to file for a protection order online. There are no filing fees for protection orders in kansas. Find legal forms for seeking and modifying. Protection Order In Kansas.
From www.thepitchkc.com
Victims can now file for protection orders online in Kansas via website Protection Order In Kansas It explains important safety considerations,. We provide assistance for filing protection from abuse orders and protection from stalking, sexual assault or human trafficking orders by:. The kansas protection order portal (kspop) lets a person with a computer or smartphone complete the process to ask a. These forms are copyrighted by the. There are no filing fees for protection orders in. Protection Order In Kansas.
From www.templateroller.com
Kansas Modification of Protection From Abuse Order Download Fillable Protection Order In Kansas Find legal forms for seeking and modifying protection orders in kansas. It also has resources on. It explains important safety considerations,. We provide assistance for filing protection from abuse orders and protection from stalking, sexual assault or human trafficking orders by:. You can use it to file for a protection order online. These forms are copyrighted by the. Learn about. Protection Order In Kansas.
From www.pdffiller.com
protective orders Doc Template pdfFiller Protection Order In Kansas Learn about the general instructions, confidential address,. You can file a protection order. It also has resources on. These forms are copyrighted by the. We provide assistance for filing protection from abuse orders and protection from stalking, sexual assault or human trafficking orders by:. The kansas protection order portal (kspop) lets a person with a computer or smartphone complete the. Protection Order In Kansas.
From www.templateroller.com
Kansas Temporary Order of Protection From Stalking, Sexual Assault, or Protection Order In Kansas You can use it to file for a protection order online. Where can i file a protection order? The kansas protection order portal (kspop) lets a person with a computer or smartphone complete the process to ask a. You can use it to file for a protection order online. It explains important safety considerations,. It also has resources on domestic. Protection Order In Kansas.
From www.formsbank.com
Petition For Restraining Order Form Kansas District printable pdf Protection Order In Kansas The kansas protection order portal (kspop) lets a person with a computer or smartphone complete the process to ask a. Learn about the general instructions, confidential address,. We provide assistance for filing protection from abuse orders and protection from stalking, sexual assault or human trafficking orders by:. Where can i file a protection order? It explains important safety considerations,. You. Protection Order In Kansas.
From www.signnow.com
Kansas Mutual Protection 20122024 Form Fill Out and Sign Printable Protection Order In Kansas There are no filing fees for protection orders in kansas. We provide assistance for filing protection from abuse orders and protection from stalking, sexual assault or human trafficking orders by:. It also has resources on. It explains important safety considerations,. The kansas protection order portal (kspop) lets a person with a computer or smartphone complete the process to ask a.. Protection Order In Kansas.
From www.templateroller.com
Kansas Motion to Modify Protection From Stalking, Sexual Assault, or Protection Order In Kansas It also has resources on domestic violence, stalking, sexual assault and. We provide assistance for filing protection from abuse orders and protection from stalking, sexual assault or human trafficking orders by:. Where can i file a protection order? It also has resources on. You can use it to file for a protection order online. You can file a protection order.. Protection Order In Kansas.
From www.templateroller.com
Kansas Counter Petition for Protection From Abuse Order Fill Out Protection Order In Kansas You can use it to file for a protection order online. Learn about the general instructions, confidential address,. It also has resources on domestic violence, stalking, sexual assault and. The kansas protection order portal (kspop) lets a person with a computer or smartphone complete the process to ask a. There are no filing fees for protection orders in kansas. You. Protection Order In Kansas.
From www.pdffiller.com
Kansas Temporary Tag Template Fill Online, Printable, Fillable, Blank Protection Order In Kansas Find legal forms for seeking and modifying protection orders in kansas. There are no filing fees for protection orders in kansas. It also has resources on. The kansas protection order portal (kspop) lets a person with a computer or smartphone complete the process to ask a. We provide assistance for filing protection from abuse orders and protection from stalking, sexual. Protection Order In Kansas.
From www.templateroller.com
Kansas Motion to Modify Protection From Abuse Order Fill Out, Sign Protection Order In Kansas Learn about the general instructions, confidential address,. You can file a protection order. It also has resources on. We provide assistance for filing protection from abuse orders and protection from stalking, sexual assault or human trafficking orders by:. The kansas protection order portal (kspop) lets a person with a computer or smartphone complete the process to ask a. You can. Protection Order In Kansas.
From www.templateroller.com
Kansas General Instructions for Seeking a Protection From Abuse Order Protection Order In Kansas You can use it to file for a protection order online. Learn about the general instructions, confidential address,. It also has resources on domestic violence, stalking, sexual assault and. Where can i file a protection order? Find legal forms for seeking and modifying protection orders in kansas. We provide assistance for filing protection from abuse orders and protection from stalking,. Protection Order In Kansas.
From www.templateroller.com
Kansas Counter Petition for Protection From Abuse Order Fill Out Protection Order In Kansas You can file a protection order. Find legal forms for seeking and modifying protection orders in kansas. These forms are copyrighted by the. Where can i file a protection order? You can use it to file for a protection order online. The kansas protection order portal (kspop) lets a person with a computer or smartphone complete the process to ask. Protection Order In Kansas.
From www.templateroller.com
Kansas Extension of Protection From Abuse Order for the Additional Year Protection Order In Kansas There are no filing fees for protection orders in kansas. Where can i file a protection order? It explains important safety considerations,. You can file a protection order. We provide assistance for filing protection from abuse orders and protection from stalking, sexual assault or human trafficking orders by:. These forms are copyrighted by the. You can use it to file. Protection Order In Kansas.
From www.templateroller.com
Kansas Summons and Notice of Hearing for Protection Order Download Protection Order In Kansas Where can i file a protection order? We provide assistance for filing protection from abuse orders and protection from stalking, sexual assault or human trafficking orders by:. The kansas protection order portal (kspop) lets a person with a computer or smartphone complete the process to ask a. You can file a protection order. You can use it to file for. Protection Order In Kansas.
From www.dochub.com
Motion to Extend Final Protection from Abuse Order for One Protection Order In Kansas It also has resources on. It explains important safety considerations,. It also has resources on domestic violence, stalking, sexual assault and. You can use it to file for a protection order online. We provide assistance for filing protection from abuse orders and protection from stalking, sexual assault or human trafficking orders by:. These forms are copyrighted by the. Where can. Protection Order In Kansas.
From www.templateroller.com
Kansas Mutual Order of Protection From Abuse Download Fillable PDF Protection Order In Kansas It also has resources on domestic violence, stalking, sexual assault and. It explains important safety considerations,. You can use it to file for a protection order online. Where can i file a protection order? You can use it to file for a protection order online. It also has resources on. There are no filing fees for protection orders in kansas.. Protection Order In Kansas.
From www.templateroller.com
Kansas Petition for Protection From Abuse Order Download Fillable PDF Protection Order In Kansas Find legal forms for seeking and modifying protection orders in kansas. You can file a protection order. The kansas protection order portal (kspop) lets a person with a computer or smartphone complete the process to ask a. It explains important safety considerations,. These forms are copyrighted by the. It also has resources on domestic violence, stalking, sexual assault and. It. Protection Order In Kansas.
From www.templateroller.com
Kansas Counter Petition for Protection From Abuse Order Fill Out Protection Order In Kansas It explains important safety considerations,. It also has resources on domestic violence, stalking, sexual assault and. Learn about the general instructions, confidential address,. Where can i file a protection order? You can file a protection order. These forms are copyrighted by the. We provide assistance for filing protection from abuse orders and protection from stalking, sexual assault or human trafficking. Protection Order In Kansas.
From www.pdffiller.com
protective order Doc Template pdfFiller Protection Order In Kansas There are no filing fees for protection orders in kansas. You can use it to file for a protection order online. Learn about the general instructions, confidential address,. The kansas protection order portal (kspop) lets a person with a computer or smartphone complete the process to ask a. You can use it to file for a protection order online. It. Protection Order In Kansas.
From www.templateroller.com
Kansas Temporary Order of Protection From Stalking, Sexual Assault, or Protection Order In Kansas The kansas protection order portal (kspop) lets a person with a computer or smartphone complete the process to ask a. These forms are copyrighted by the. It explains important safety considerations,. We provide assistance for filing protection from abuse orders and protection from stalking, sexual assault or human trafficking orders by:. You can use it to file for a protection. Protection Order In Kansas.
From www.templateroller.com
Kansas Notice of Hearing for Extension of Protection Order for One Year Protection Order In Kansas Find legal forms for seeking and modifying protection orders in kansas. We provide assistance for filing protection from abuse orders and protection from stalking, sexual assault or human trafficking orders by:. You can file a protection order. It explains important safety considerations,. The kansas protection order portal (kspop) lets a person with a computer or smartphone complete the process to. Protection Order In Kansas.
From www.templateroller.com
Kansas Extension of Protection From Abuse Order for Two Additional Protection Order In Kansas You can file a protection order. The kansas protection order portal (kspop) lets a person with a computer or smartphone complete the process to ask a. It also has resources on. It also has resources on domestic violence, stalking, sexual assault and. You can use it to file for a protection order online. Find legal forms for seeking and modifying. Protection Order In Kansas.
From www.templateroller.com
Kansas Notice of Hearing for Extension of Protection Order for Two Protection Order In Kansas You can use it to file for a protection order online. It also has resources on domestic violence, stalking, sexual assault and. Learn about the general instructions, confidential address,. Where can i file a protection order? It explains important safety considerations,. You can use it to file for a protection order online. It also has resources on. These forms are. Protection Order In Kansas.
From www.templateroller.com
Kansas Final Consent Order of Protection From Abuse Fill Out, Sign Protection Order In Kansas It also has resources on. Find legal forms for seeking and modifying protection orders in kansas. These forms are copyrighted by the. We provide assistance for filing protection from abuse orders and protection from stalking, sexual assault or human trafficking orders by:. It explains important safety considerations,. It also has resources on domestic violence, stalking, sexual assault and. You can. Protection Order In Kansas.
From www.templateroller.com
Kansas Final Order of Protection From Abuse Fill Out, Sign Online and Protection Order In Kansas These forms are copyrighted by the. You can use it to file for a protection order online. Learn about the general instructions, confidential address,. There are no filing fees for protection orders in kansas. We provide assistance for filing protection from abuse orders and protection from stalking, sexual assault or human trafficking orders by:. You can file a protection order.. Protection Order In Kansas.
From www.pdffiller.com
Parte Order Protective Custody Fill Online, Printable, Fillable Protection Order In Kansas There are no filing fees for protection orders in kansas. Learn about the general instructions, confidential address,. It explains important safety considerations,. You can use it to file for a protection order online. Where can i file a protection order? It also has resources on. You can use it to file for a protection order online. You can file a. Protection Order In Kansas.
From www.templateroller.com
Kansas Petition for Protection From Abuse Order Download Fillable PDF Protection Order In Kansas It also has resources on domestic violence, stalking, sexual assault and. There are no filing fees for protection orders in kansas. We provide assistance for filing protection from abuse orders and protection from stalking, sexual assault or human trafficking orders by:. You can use it to file for a protection order online. The kansas protection order portal (kspop) lets a. Protection Order In Kansas.