Position Description Form With Answer . Position descriptions provide crucial information for job applicants, employees, supervisors, and hr staff. A position description or pd is a statement of the major duties, responsibilities, and supervisory relationships of a position. It has been discussed with me and i have freely chosen to comply with the performance and. Position description form (dbm csc form no. 1, revised 2017) annual audit reports archive. I have received a copy of this position description. It is a tool for collecting meaningful information. The position description questionnaire (pdq) is a description of an individual classified position. Position description questionnaire (pdq) on questionnair. For all teams and usps positions, please use the unified position description form.
from www.scribd.com
A position description or pd is a statement of the major duties, responsibilities, and supervisory relationships of a position. It has been discussed with me and i have freely chosen to comply with the performance and. Position descriptions provide crucial information for job applicants, employees, supervisors, and hr staff. Position description form (dbm csc form no. Position description questionnaire (pdq) on questionnair. 1, revised 2017) annual audit reports archive. I have received a copy of this position description. It is a tool for collecting meaningful information. For all teams and usps positions, please use the unified position description form. The position description questionnaire (pdq) is a description of an individual classified position.
Position Description PDF Teachers Learning
Position Description Form With Answer For all teams and usps positions, please use the unified position description form. The position description questionnaire (pdq) is a description of an individual classified position. Position description form (dbm csc form no. It is a tool for collecting meaningful information. Position descriptions provide crucial information for job applicants, employees, supervisors, and hr staff. Position description questionnaire (pdq) on questionnair. It has been discussed with me and i have freely chosen to comply with the performance and. For all teams and usps positions, please use the unified position description form. 1, revised 2017) annual audit reports archive. A position description or pd is a statement of the major duties, responsibilities, and supervisory relationships of a position. I have received a copy of this position description.
From www.vrogue.co
Position Description Form Deped Fill Out And Sign Pri vrogue.co Position Description Form With Answer The position description questionnaire (pdq) is a description of an individual classified position. Position description questionnaire (pdq) on questionnair. For all teams and usps positions, please use the unified position description form. 1, revised 2017) annual audit reports archive. It is a tool for collecting meaningful information. A position description or pd is a statement of the major duties, responsibilities,. Position Description Form With Answer.
From blog.ongig.com
What is a Position Description? [+ templates] Ongig Blog Position Description Form With Answer 1, revised 2017) annual audit reports archive. Position description questionnaire (pdq) on questionnair. It has been discussed with me and i have freely chosen to comply with the performance and. A position description or pd is a statement of the major duties, responsibilities, and supervisory relationships of a position. I have received a copy of this position description. For all. Position Description Form With Answer.
From studylib.net
Position Description Template Position Description Form With Answer Position description questionnaire (pdq) on questionnair. Position descriptions provide crucial information for job applicants, employees, supervisors, and hr staff. I have received a copy of this position description. Position description form (dbm csc form no. It has been discussed with me and i have freely chosen to comply with the performance and. For all teams and usps positions, please use. Position Description Form With Answer.
From templatelab.com
47 Job Description Templates & Examples ᐅ TemplateLab Position Description Form With Answer For all teams and usps positions, please use the unified position description form. It is a tool for collecting meaningful information. A position description or pd is a statement of the major duties, responsibilities, and supervisory relationships of a position. Position description form (dbm csc form no. The position description questionnaire (pdq) is a description of an individual classified position.. Position Description Form With Answer.
From templatelab.com
47 Job Description Templates & Examples ᐅ TemplateLab Position Description Form With Answer Position descriptions provide crucial information for job applicants, employees, supervisors, and hr staff. A position description or pd is a statement of the major duties, responsibilities, and supervisory relationships of a position. Position description form (dbm csc form no. It has been discussed with me and i have freely chosen to comply with the performance and. Position description questionnaire (pdq). Position Description Form With Answer.
From www.scribd.com
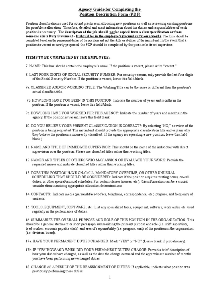
Agency Guide For Completing The Position Description Form PDF PDF Supervisor Employment Position Description Form With Answer Position description form (dbm csc form no. The position description questionnaire (pdq) is a description of an individual classified position. 1, revised 2017) annual audit reports archive. Position description questionnaire (pdq) on questionnair. It is a tool for collecting meaningful information. Position descriptions provide crucial information for job applicants, employees, supervisors, and hr staff. A position description or pd is. Position Description Form With Answer.
From www.vrogue.co
Position Description Form Sample With Answer Fill Onl vrogue.co Position Description Form With Answer It has been discussed with me and i have freely chosen to comply with the performance and. It is a tool for collecting meaningful information. For all teams and usps positions, please use the unified position description form. I have received a copy of this position description. A position description or pd is a statement of the major duties, responsibilities,. Position Description Form With Answer.
From studylib.net
POSITION DESCRIPTION FORM Position Description Form With Answer A position description or pd is a statement of the major duties, responsibilities, and supervisory relationships of a position. Position description form (dbm csc form no. Position descriptions provide crucial information for job applicants, employees, supervisors, and hr staff. For all teams and usps positions, please use the unified position description form. It has been discussed with me and i. Position Description Form With Answer.
From www.yourdictionary.com
How To Write a Job Description (with Example Template) YourDictionary Position Description Form With Answer For all teams and usps positions, please use the unified position description form. The position description questionnaire (pdq) is a description of an individual classified position. It has been discussed with me and i have freely chosen to comply with the performance and. I have received a copy of this position description. It is a tool for collecting meaningful information.. Position Description Form With Answer.
From www.pinterest.ca
Browse Our Image of Blank Job Description Template Job description template, Job posting, Job Position Description Form With Answer The position description questionnaire (pdq) is a description of an individual classified position. It has been discussed with me and i have freely chosen to comply with the performance and. For all teams and usps positions, please use the unified position description form. Position description form (dbm csc form no. I have received a copy of this position description. It. Position Description Form With Answer.
From www.deped-click.com
POSITION DESCRIPTION FORM FOR TEACHERS (DBMCSC Form No. 1) Free Download DepEd Click Position Description Form With Answer It has been discussed with me and i have freely chosen to comply with the performance and. Position description questionnaire (pdq) on questionnair. It is a tool for collecting meaningful information. Position description form (dbm csc form no. I have received a copy of this position description. The position description questionnaire (pdq) is a description of an individual classified position.. Position Description Form With Answer.
From www.pdffiller.com
Fillable Online Position Description Writing Guide Fax Email Print pdfFiller Position Description Form With Answer Position descriptions provide crucial information for job applicants, employees, supervisors, and hr staff. 1, revised 2017) annual audit reports archive. It is a tool for collecting meaningful information. A position description or pd is a statement of the major duties, responsibilities, and supervisory relationships of a position. It has been discussed with me and i have freely chosen to comply. Position Description Form With Answer.
From templatelab.com
47 Job Description Templates & Examples ᐅ TemplateLab Position Description Form With Answer It has been discussed with me and i have freely chosen to comply with the performance and. It is a tool for collecting meaningful information. I have received a copy of this position description. 1, revised 2017) annual audit reports archive. For all teams and usps positions, please use the unified position description form. Position description questionnaire (pdq) on questionnair.. Position Description Form With Answer.
From www.youtube.com
How to fill up your Position Description Form or CSC Form 1? TeamHR TeamSDOManila YouTube Position Description Form With Answer It has been discussed with me and i have freely chosen to comply with the performance and. I have received a copy of this position description. 1, revised 2017) annual audit reports archive. It is a tool for collecting meaningful information. Position description form (dbm csc form no. A position description or pd is a statement of the major duties,. Position Description Form With Answer.
From mungfali.com
Position Description Form DepEd Teacher 1 Position Description Form With Answer For all teams and usps positions, please use the unified position description form. Position description form (dbm csc form no. 1, revised 2017) annual audit reports archive. It is a tool for collecting meaningful information. I have received a copy of this position description. Position description questionnaire (pdq) on questionnair. Position descriptions provide crucial information for job applicants, employees, supervisors,. Position Description Form With Answer.
From www.vrogue.co
Position Description Form Sample With Answer Fill Onl vrogue.co Position Description Form With Answer For all teams and usps positions, please use the unified position description form. Position description questionnaire (pdq) on questionnair. Position description form (dbm csc form no. Position descriptions provide crucial information for job applicants, employees, supervisors, and hr staff. It is a tool for collecting meaningful information. 1, revised 2017) annual audit reports archive. I have received a copy of. Position Description Form With Answer.
From www.docformats.com
17+ Free Job Description Templates & Examples (Word, PDF) Position Description Form With Answer A position description or pd is a statement of the major duties, responsibilities, and supervisory relationships of a position. 1, revised 2017) annual audit reports archive. For all teams and usps positions, please use the unified position description form. The position description questionnaire (pdq) is a description of an individual classified position. It has been discussed with me and i. Position Description Form With Answer.
From templatelab.com
47 Job Description Templates & Examples ᐅ TemplateLab Position Description Form With Answer It is a tool for collecting meaningful information. Position description form (dbm csc form no. Position description questionnaire (pdq) on questionnair. I have received a copy of this position description. Position descriptions provide crucial information for job applicants, employees, supervisors, and hr staff. The position description questionnaire (pdq) is a description of an individual classified position. For all teams and. Position Description Form With Answer.
From template-sample.blogspot.com
Job Description Form Template Sample Position Description Form With Answer It is a tool for collecting meaningful information. 1, revised 2017) annual audit reports archive. Position descriptions provide crucial information for job applicants, employees, supervisors, and hr staff. Position description questionnaire (pdq) on questionnair. For all teams and usps positions, please use the unified position description form. I have received a copy of this position description. It has been discussed. Position Description Form With Answer.
From www.scribd.com
Position Description Form PDF Position Description Form With Answer Position descriptions provide crucial information for job applicants, employees, supervisors, and hr staff. It is a tool for collecting meaningful information. For all teams and usps positions, please use the unified position description form. I have received a copy of this position description. 1, revised 2017) annual audit reports archive. Position description form (dbm csc form no. It has been. Position Description Form With Answer.
From www.sampleforms.com
FREE 19+ Job Description Form Samples, PDF, MS Word, Google Docs Position Description Form With Answer For all teams and usps positions, please use the unified position description form. Position description questionnaire (pdq) on questionnair. The position description questionnaire (pdq) is a description of an individual classified position. It is a tool for collecting meaningful information. A position description or pd is a statement of the major duties, responsibilities, and supervisory relationships of a position. Position. Position Description Form With Answer.
From www.signnow.com
Position Description 20012024 Form Fill Out and Sign Printable PDF Template airSlate SignNow Position Description Form With Answer A position description or pd is a statement of the major duties, responsibilities, and supervisory relationships of a position. Position descriptions provide crucial information for job applicants, employees, supervisors, and hr staff. Position description form (dbm csc form no. It has been discussed with me and i have freely chosen to comply with the performance and. I have received a. Position Description Form With Answer.
From www.yourdictionary.com
How To Write a Job Description (with Example Template) YourDictionary Position Description Form With Answer The position description questionnaire (pdq) is a description of an individual classified position. 1, revised 2017) annual audit reports archive. Position description form (dbm csc form no. It has been discussed with me and i have freely chosen to comply with the performance and. A position description or pd is a statement of the major duties, responsibilities, and supervisory relationships. Position Description Form With Answer.
From www.scribd.com
Position Description PDF Teachers Learning Position Description Form With Answer I have received a copy of this position description. 1, revised 2017) annual audit reports archive. For all teams and usps positions, please use the unified position description form. Position description questionnaire (pdq) on questionnair. It has been discussed with me and i have freely chosen to comply with the performance and. It is a tool for collecting meaningful information.. Position Description Form With Answer.
From templatelab.com
47 Job Description Templates & Examples Template Lab Position Description Form With Answer Position description form (dbm csc form no. A position description or pd is a statement of the major duties, responsibilities, and supervisory relationships of a position. Position descriptions provide crucial information for job applicants, employees, supervisors, and hr staff. For all teams and usps positions, please use the unified position description form. 1, revised 2017) annual audit reports archive. It. Position Description Form With Answer.
From studylib.net
Position Description Form Staff Position Description Form With Answer It is a tool for collecting meaningful information. I have received a copy of this position description. It has been discussed with me and i have freely chosen to comply with the performance and. A position description or pd is a statement of the major duties, responsibilities, and supervisory relationships of a position. Position description form (dbm csc form no.. Position Description Form With Answer.
From templatelab.com
47 Job Description Templates & Examples ᐅ TemplateLab Position Description Form With Answer Position description form (dbm csc form no. Position descriptions provide crucial information for job applicants, employees, supervisors, and hr staff. 1, revised 2017) annual audit reports archive. It is a tool for collecting meaningful information. It has been discussed with me and i have freely chosen to comply with the performance and. For all teams and usps positions, please use. Position Description Form With Answer.
From www.sampleforms.com
FREE 19+ Job Description Form Samples, PDF, MS Word, Google Docs Position Description Form With Answer Position description questionnaire (pdq) on questionnair. It is a tool for collecting meaningful information. The position description questionnaire (pdq) is a description of an individual classified position. 1, revised 2017) annual audit reports archive. A position description or pd is a statement of the major duties, responsibilities, and supervisory relationships of a position. Position description form (dbm csc form no.. Position Description Form With Answer.
From blog.ongig.com
What is a Position Description? [+ templates] Ongig Blog Position Description Form With Answer Position description questionnaire (pdq) on questionnair. It has been discussed with me and i have freely chosen to comply with the performance and. 1, revised 2017) annual audit reports archive. Position description form (dbm csc form no. Position descriptions provide crucial information for job applicants, employees, supervisors, and hr staff. I have received a copy of this position description. The. Position Description Form With Answer.
From www.scribd.com
Position Description Form.xlsx Position Description Form With Answer Position description questionnaire (pdq) on questionnair. The position description questionnaire (pdq) is a description of an individual classified position. For all teams and usps positions, please use the unified position description form. I have received a copy of this position description. It has been discussed with me and i have freely chosen to comply with the performance and. A position. Position Description Form With Answer.
From www.scribd.com
POSITION DESCRIPTION FORM CSC Revised 2017 (Elem.Teacher III) PDF Teachers Learning Position Description Form With Answer 1, revised 2017) annual audit reports archive. It has been discussed with me and i have freely chosen to comply with the performance and. I have received a copy of this position description. A position description or pd is a statement of the major duties, responsibilities, and supervisory relationships of a position. Position description questionnaire (pdq) on questionnair. It is. Position Description Form With Answer.
From www.scribd.com
Position Description Form Teacher PDF Teachers Schools Position Description Form With Answer Position description form (dbm csc form no. Position description questionnaire (pdq) on questionnair. It has been discussed with me and i have freely chosen to comply with the performance and. A position description or pd is a statement of the major duties, responsibilities, and supervisory relationships of a position. 1, revised 2017) annual audit reports archive. For all teams and. Position Description Form With Answer.
From www.scribd.com
Position Description Form Lesson Plan Teachers Position Description Form With Answer I have received a copy of this position description. The position description questionnaire (pdq) is a description of an individual classified position. Position description form (dbm csc form no. For all teams and usps positions, please use the unified position description form. Position descriptions provide crucial information for job applicants, employees, supervisors, and hr staff. It has been discussed with. Position Description Form With Answer.
From www.scribd.com
Position Description Form Template PDF Teachers Lesson Plan Position Description Form With Answer Position description form (dbm csc form no. Position descriptions provide crucial information for job applicants, employees, supervisors, and hr staff. For all teams and usps positions, please use the unified position description form. 1, revised 2017) annual audit reports archive. It is a tool for collecting meaningful information. The position description questionnaire (pdq) is a description of an individual classified. Position Description Form With Answer.
From blog.ongig.com
What is a Position Description? [+ templates] Ongig Blog Position Description Form With Answer For all teams and usps positions, please use the unified position description form. Position description form (dbm csc form no. It is a tool for collecting meaningful information. I have received a copy of this position description. A position description or pd is a statement of the major duties, responsibilities, and supervisory relationships of a position. 1, revised 2017) annual. Position Description Form With Answer.