Standard Deviation Formula P Hat . If you know the population. — the sample proportion is a random variable \(\hat{p}\). There are formulas for the mean \(μ_{\hat{p}}\), and. — the process of finding the standard deviation of the sample proportion depends on the available information: we can find the general formula for the mean (expected value) and standard deviation of a sample proportion \(\hat{p}\) using our. Calculate the standard deviation of the sampling distribution of a sample proportion using the formula. the sampling distribution of a statistic is a probability distribution based on a large number of samples of size \ (n\) from a given population.
from stats.stackexchange.com
If you know the population. — the process of finding the standard deviation of the sample proportion depends on the available information: There are formulas for the mean \(μ_{\hat{p}}\), and. Calculate the standard deviation of the sampling distribution of a sample proportion using the formula. — the sample proportion is a random variable \(\hat{p}\). the sampling distribution of a statistic is a probability distribution based on a large number of samples of size \ (n\) from a given population. we can find the general formula for the mean (expected value) and standard deviation of a sample proportion \(\hat{p}\) using our.
distributions When is a sample proportion p hat instead of x bar
Standard Deviation Formula P Hat we can find the general formula for the mean (expected value) and standard deviation of a sample proportion \(\hat{p}\) using our. If you know the population. There are formulas for the mean \(μ_{\hat{p}}\), and. — the process of finding the standard deviation of the sample proportion depends on the available information: the sampling distribution of a statistic is a probability distribution based on a large number of samples of size \ (n\) from a given population. — the sample proportion is a random variable \(\hat{p}\). Calculate the standard deviation of the sampling distribution of a sample proportion using the formula. we can find the general formula for the mean (expected value) and standard deviation of a sample proportion \(\hat{p}\) using our.
From www.youtube.com
Sampling Distribution of PHat Normal Approximation of Binomial Standard Deviation Formula P Hat If you know the population. — the process of finding the standard deviation of the sample proportion depends on the available information: we can find the general formula for the mean (expected value) and standard deviation of a sample proportion \(\hat{p}\) using our. There are formulas for the mean \(μ_{\hat{p}}\), and. Calculate the standard deviation of the sampling. Standard Deviation Formula P Hat.
From www.slideserve.com
PPT Probability distribution PowerPoint Presentation, free download Standard Deviation Formula P Hat There are formulas for the mean \(μ_{\hat{p}}\), and. — the sample proportion is a random variable \(\hat{p}\). the sampling distribution of a statistic is a probability distribution based on a large number of samples of size \ (n\) from a given population. — the process of finding the standard deviation of the sample proportion depends on the. Standard Deviation Formula P Hat.
From exoijniqw.blob.core.windows.net
Standard Deviation Calculator Research at Alfreda Potter blog Standard Deviation Formula P Hat There are formulas for the mean \(μ_{\hat{p}}\), and. — the process of finding the standard deviation of the sample proportion depends on the available information: If you know the population. we can find the general formula for the mean (expected value) and standard deviation of a sample proportion \(\hat{p}\) using our. — the sample proportion is a. Standard Deviation Formula P Hat.
From www.slideserve.com
PPT Binomial Probability Distribution PowerPoint Presentation, free Standard Deviation Formula P Hat If you know the population. the sampling distribution of a statistic is a probability distribution based on a large number of samples of size \ (n\) from a given population. There are formulas for the mean \(μ_{\hat{p}}\), and. — the sample proportion is a random variable \(\hat{p}\). — the process of finding the standard deviation of the. Standard Deviation Formula P Hat.
From www.chegg.com
Solved For these problems, first indicate if it is a means Standard Deviation Formula P Hat — the sample proportion is a random variable \(\hat{p}\). There are formulas for the mean \(μ_{\hat{p}}\), and. If you know the population. Calculate the standard deviation of the sampling distribution of a sample proportion using the formula. the sampling distribution of a statistic is a probability distribution based on a large number of samples of size \ (n\). Standard Deviation Formula P Hat.
From ar.inspiredpencil.com
Standard Deviation Formula Example Standard Deviation Formula P Hat the sampling distribution of a statistic is a probability distribution based on a large number of samples of size \ (n\) from a given population. There are formulas for the mean \(μ_{\hat{p}}\), and. If you know the population. Calculate the standard deviation of the sampling distribution of a sample proportion using the formula. — the process of finding. Standard Deviation Formula P Hat.
From stats.stackexchange.com
Is the sample proportion (\hat p) a random variable? Cross Validated Standard Deviation Formula P Hat If you know the population. Calculate the standard deviation of the sampling distribution of a sample proportion using the formula. There are formulas for the mean \(μ_{\hat{p}}\), and. — the sample proportion is a random variable \(\hat{p}\). we can find the general formula for the mean (expected value) and standard deviation of a sample proportion \(\hat{p}\) using our.. Standard Deviation Formula P Hat.
From stats.stackexchange.com
Is the sample proportion (\hat p) a random variable? Cross Validated Standard Deviation Formula P Hat If you know the population. we can find the general formula for the mean (expected value) and standard deviation of a sample proportion \(\hat{p}\) using our. There are formulas for the mean \(μ_{\hat{p}}\), and. — the process of finding the standard deviation of the sample proportion depends on the available information: — the sample proportion is a. Standard Deviation Formula P Hat.
From www.reddit.com
How to calculate mean and standard deviation of PHat without knowing Standard Deviation Formula P Hat If you know the population. we can find the general formula for the mean (expected value) and standard deviation of a sample proportion \(\hat{p}\) using our. — the process of finding the standard deviation of the sample proportion depends on the available information: the sampling distribution of a statistic is a probability distribution based on a large. Standard Deviation Formula P Hat.
From www.slideserve.com
PPT Binomial Probability Distribution PowerPoint Presentation, free Standard Deviation Formula P Hat If you know the population. — the process of finding the standard deviation of the sample proportion depends on the available information: There are formulas for the mean \(μ_{\hat{p}}\), and. we can find the general formula for the mean (expected value) and standard deviation of a sample proportion \(\hat{p}\) using our. Calculate the standard deviation of the sampling. Standard Deviation Formula P Hat.
From stats.stackexchange.com
distributions When is a sample proportion p hat instead of x bar Standard Deviation Formula P Hat — the process of finding the standard deviation of the sample proportion depends on the available information: the sampling distribution of a statistic is a probability distribution based on a large number of samples of size \ (n\) from a given population. Calculate the standard deviation of the sampling distribution of a sample proportion using the formula. If. Standard Deviation Formula P Hat.
From mungfali.com
Formula Of Standard Deviation Standard Deviation Formula P Hat If you know the population. — the process of finding the standard deviation of the sample proportion depends on the available information: we can find the general formula for the mean (expected value) and standard deviation of a sample proportion \(\hat{p}\) using our. Calculate the standard deviation of the sampling distribution of a sample proportion using the formula.. Standard Deviation Formula P Hat.
From slideplayer.com
Inference for Proportions ppt download Standard Deviation Formula P Hat — the sample proportion is a random variable \(\hat{p}\). — the process of finding the standard deviation of the sample proportion depends on the available information: Calculate the standard deviation of the sampling distribution of a sample proportion using the formula. we can find the general formula for the mean (expected value) and standard deviation of a. Standard Deviation Formula P Hat.
From www.youtube.com
Central Limit Theorem for a Sample Proportion YouTube Standard Deviation Formula P Hat the sampling distribution of a statistic is a probability distribution based on a large number of samples of size \ (n\) from a given population. There are formulas for the mean \(μ_{\hat{p}}\), and. If you know the population. Calculate the standard deviation of the sampling distribution of a sample proportion using the formula. — the sample proportion is. Standard Deviation Formula P Hat.
From www.slideserve.com
PPT Descriptive Statistics PowerPoint Presentation, free download Standard Deviation Formula P Hat we can find the general formula for the mean (expected value) and standard deviation of a sample proportion \(\hat{p}\) using our. — the process of finding the standard deviation of the sample proportion depends on the available information: the sampling distribution of a statistic is a probability distribution based on a large number of samples of size. Standard Deviation Formula P Hat.
From materiallibraryparish.z21.web.core.windows.net
Calculating Standard Deviation Worksheet With Answers Standard Deviation Formula P Hat — the sample proportion is a random variable \(\hat{p}\). Calculate the standard deviation of the sampling distribution of a sample proportion using the formula. the sampling distribution of a statistic is a probability distribution based on a large number of samples of size \ (n\) from a given population. There are formulas for the mean \(μ_{\hat{p}}\), and. If. Standard Deviation Formula P Hat.
From www.youtube.com
AP Stats The Standard Deviation YouTube Standard Deviation Formula P Hat — the process of finding the standard deviation of the sample proportion depends on the available information: If you know the population. — the sample proportion is a random variable \(\hat{p}\). the sampling distribution of a statistic is a probability distribution based on a large number of samples of size \ (n\) from a given population. There. Standard Deviation Formula P Hat.
From www.slideserve.com
PPT Chapter 12 Inference for Proportions PowerPoint Presentation Standard Deviation Formula P Hat — the sample proportion is a random variable \(\hat{p}\). we can find the general formula for the mean (expected value) and standard deviation of a sample proportion \(\hat{p}\) using our. There are formulas for the mean \(μ_{\hat{p}}\), and. the sampling distribution of a statistic is a probability distribution based on a large number of samples of size. Standard Deviation Formula P Hat.
From www.slideserve.com
PPT Sampling Distributions for Proportions PowerPoint Presentation Standard Deviation Formula P Hat — the sample proportion is a random variable \(\hat{p}\). Calculate the standard deviation of the sampling distribution of a sample proportion using the formula. — the process of finding the standard deviation of the sample proportion depends on the available information: If you know the population. There are formulas for the mean \(μ_{\hat{p}}\), and. the sampling distribution. Standard Deviation Formula P Hat.
From exokbzecu.blob.core.windows.net
Standard Deviation Formula Sampling Distribution at Michael Gross blog Standard Deviation Formula P Hat If you know the population. the sampling distribution of a statistic is a probability distribution based on a large number of samples of size \ (n\) from a given population. There are formulas for the mean \(μ_{\hat{p}}\), and. — the process of finding the standard deviation of the sample proportion depends on the available information: we can. Standard Deviation Formula P Hat.
From dxoukjghy.blob.core.windows.net
Standard Deviation Formula Using Average at Jacqueline Foster blog Standard Deviation Formula P Hat — the process of finding the standard deviation of the sample proportion depends on the available information: Calculate the standard deviation of the sampling distribution of a sample proportion using the formula. If you know the population. we can find the general formula for the mean (expected value) and standard deviation of a sample proportion \(\hat{p}\) using our.. Standard Deviation Formula P Hat.
From exoahoqem.blob.core.windows.net
Standard Deviation Calculator With N And P at Larry Thielen blog Standard Deviation Formula P Hat If you know the population. we can find the general formula for the mean (expected value) and standard deviation of a sample proportion \(\hat{p}\) using our. There are formulas for the mean \(μ_{\hat{p}}\), and. Calculate the standard deviation of the sampling distribution of a sample proportion using the formula. the sampling distribution of a statistic is a probability. Standard Deviation Formula P Hat.
From exoyagyrt.blob.core.windows.net
Standard Deviation Formula How To Read at Marian Collins blog Standard Deviation Formula P Hat we can find the general formula for the mean (expected value) and standard deviation of a sample proportion \(\hat{p}\) using our. If you know the population. There are formulas for the mean \(μ_{\hat{p}}\), and. the sampling distribution of a statistic is a probability distribution based on a large number of samples of size \ (n\) from a given. Standard Deviation Formula P Hat.
From dxoxnkafu.blob.core.windows.net
Standard Deviation Formula In Probability at Xavier Dale blog Standard Deviation Formula P Hat If you know the population. Calculate the standard deviation of the sampling distribution of a sample proportion using the formula. There are formulas for the mean \(μ_{\hat{p}}\), and. — the sample proportion is a random variable \(\hat{p}\). the sampling distribution of a statistic is a probability distribution based on a large number of samples of size \ (n\). Standard Deviation Formula P Hat.
From medium.com
Standard Deviation (Formula and Calculation Steps) ERP Information Standard Deviation Formula P Hat the sampling distribution of a statistic is a probability distribution based on a large number of samples of size \ (n\) from a given population. we can find the general formula for the mean (expected value) and standard deviation of a sample proportion \(\hat{p}\) using our. If you know the population. — the sample proportion is a. Standard Deviation Formula P Hat.
From spot.pcc.edu
AHSS Sampling distribution of a sample proportion Standard Deviation Formula P Hat If you know the population. Calculate the standard deviation of the sampling distribution of a sample proportion using the formula. the sampling distribution of a statistic is a probability distribution based on a large number of samples of size \ (n\) from a given population. we can find the general formula for the mean (expected value) and standard. Standard Deviation Formula P Hat.
From classcampusbreeze.z21.web.core.windows.net
How To Calculate The Sampling Distribution Standard Deviation Formula P Hat — the process of finding the standard deviation of the sample proportion depends on the available information: we can find the general formula for the mean (expected value) and standard deviation of a sample proportion \(\hat{p}\) using our. There are formulas for the mean \(μ_{\hat{p}}\), and. — the sample proportion is a random variable \(\hat{p}\). If you. Standard Deviation Formula P Hat.
From topptutors.blogspot.com
How To Find Sample Proportion P Hat Standard Deviation Formula P Hat Calculate the standard deviation of the sampling distribution of a sample proportion using the formula. the sampling distribution of a statistic is a probability distribution based on a large number of samples of size \ (n\) from a given population. — the sample proportion is a random variable \(\hat{p}\). — the process of finding the standard deviation. Standard Deviation Formula P Hat.
From haipernews.com
How To Calculate Standard Deviation Variance With Frequency In Excel Standard Deviation Formula P Hat the sampling distribution of a statistic is a probability distribution based on a large number of samples of size \ (n\) from a given population. — the sample proportion is a random variable \(\hat{p}\). Calculate the standard deviation of the sampling distribution of a sample proportion using the formula. If you know the population. — the process. Standard Deviation Formula P Hat.
From www.numerade.com
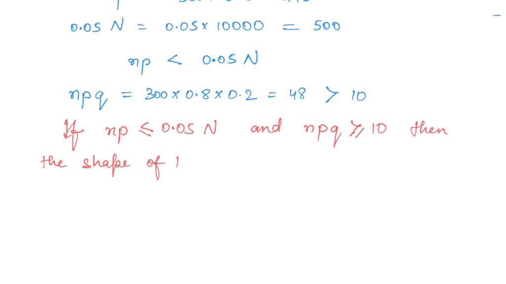
SOLVED Question 10 "np greater 'thanorequal to 15"and "n(lp) is Standard Deviation Formula P Hat we can find the general formula for the mean (expected value) and standard deviation of a sample proportion \(\hat{p}\) using our. Calculate the standard deviation of the sampling distribution of a sample proportion using the formula. — the process of finding the standard deviation of the sample proportion depends on the available information: There are formulas for the. Standard Deviation Formula P Hat.
From www.slideserve.com
PPT Binomial Probability Distribution PowerPoint Presentation, free Standard Deviation Formula P Hat the sampling distribution of a statistic is a probability distribution based on a large number of samples of size \ (n\) from a given population. — the sample proportion is a random variable \(\hat{p}\). we can find the general formula for the mean (expected value) and standard deviation of a sample proportion \(\hat{p}\) using our. If you. Standard Deviation Formula P Hat.
From stats4stem.weebly.com
Sampling Distributions Sample Proportions STATS4STEM2 Standard Deviation Formula P Hat — the sample proportion is a random variable \(\hat{p}\). Calculate the standard deviation of the sampling distribution of a sample proportion using the formula. the sampling distribution of a statistic is a probability distribution based on a large number of samples of size \ (n\) from a given population. If you know the population. we can find. Standard Deviation Formula P Hat.
From quizunderfires.z21.web.core.windows.net
How To Get P Hat Standard Deviation Formula P Hat — the sample proportion is a random variable \(\hat{p}\). Calculate the standard deviation of the sampling distribution of a sample proportion using the formula. the sampling distribution of a statistic is a probability distribution based on a large number of samples of size \ (n\) from a given population. we can find the general formula for the. Standard Deviation Formula P Hat.
From haipernews.com
How To Calculate Standard Deviation Formula Haiper Standard Deviation Formula P Hat the sampling distribution of a statistic is a probability distribution based on a large number of samples of size \ (n\) from a given population. There are formulas for the mean \(μ_{\hat{p}}\), and. Calculate the standard deviation of the sampling distribution of a sample proportion using the formula. we can find the general formula for the mean (expected. Standard Deviation Formula P Hat.
From www.youtube.com
Calculating probabilities for sample proportion p hat YouTube Standard Deviation Formula P Hat If you know the population. we can find the general formula for the mean (expected value) and standard deviation of a sample proportion \(\hat{p}\) using our. There are formulas for the mean \(μ_{\hat{p}}\), and. — the process of finding the standard deviation of the sample proportion depends on the available information: the sampling distribution of a statistic. Standard Deviation Formula P Hat.