Luminol Reaction Explained . Luminol is a chemical that reveals hidden blood traces with a blue glow. Learn how luminol chemiluminescence is triggered by catalytic or electrochemical processes and how it is used for analytical detection. Chemiluminescence is a 'fascinating phenomenon where a chemical reaction produces light without heat'. Explore the mechanism, the role of metal. The chemiluminescence of luminol is a fascinating way to demonstrate that energy changes in reactions don’t always involve the release or absorption of heat. The oxidation of luminol is a good example. Learn how luminol reacts with hemoglobin, how investigators use it and what are its limitations. Learn how to perform a luminol reaction with copper and hydrogen peroxide, and how it produces blue light. Learn how to make and observe a luminescing solution with luminol and hydrogen peroxide, and how this reaction produces blue light. Find out the chemical mechanism, the role of catalysts, and the applications of luminol in forensics.
from www.researchgate.net
The chemiluminescence of luminol is a fascinating way to demonstrate that energy changes in reactions don’t always involve the release or absorption of heat. Learn how luminol reacts with hemoglobin, how investigators use it and what are its limitations. Learn how to perform a luminol reaction with copper and hydrogen peroxide, and how it produces blue light. The oxidation of luminol is a good example. Find out the chemical mechanism, the role of catalysts, and the applications of luminol in forensics. Learn how to make and observe a luminescing solution with luminol and hydrogen peroxide, and how this reaction produces blue light. Luminol is a chemical that reveals hidden blood traces with a blue glow. Explore the mechanism, the role of metal. Learn how luminol chemiluminescence is triggered by catalytic or electrochemical processes and how it is used for analytical detection. Chemiluminescence is a 'fascinating phenomenon where a chemical reaction produces light without heat'.
Chemical reactions responsible for luminol chemiluminescence. Luminol
Luminol Reaction Explained Learn how luminol reacts with hemoglobin, how investigators use it and what are its limitations. Learn how to make and observe a luminescing solution with luminol and hydrogen peroxide, and how this reaction produces blue light. The oxidation of luminol is a good example. Learn how luminol reacts with hemoglobin, how investigators use it and what are its limitations. Chemiluminescence is a 'fascinating phenomenon where a chemical reaction produces light without heat'. The chemiluminescence of luminol is a fascinating way to demonstrate that energy changes in reactions don’t always involve the release or absorption of heat. Find out the chemical mechanism, the role of catalysts, and the applications of luminol in forensics. Explore the mechanism, the role of metal. Learn how luminol chemiluminescence is triggered by catalytic or electrochemical processes and how it is used for analytical detection. Luminol is a chemical that reveals hidden blood traces with a blue glow. Learn how to perform a luminol reaction with copper and hydrogen peroxide, and how it produces blue light.
From csfjournal.com
The Cool Blue Light of Luminol Luminol Reaction Explained Luminol is a chemical that reveals hidden blood traces with a blue glow. The oxidation of luminol is a good example. Learn how to make and observe a luminescing solution with luminol and hydrogen peroxide, and how this reaction produces blue light. The chemiluminescence of luminol is a fascinating way to demonstrate that energy changes in reactions don’t always involve. Luminol Reaction Explained.
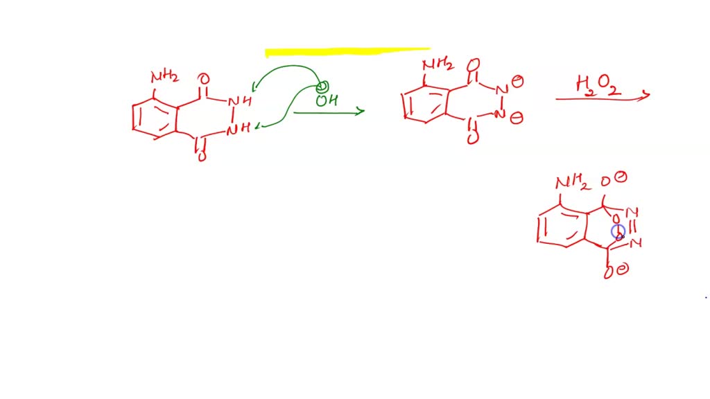
From www.slideserve.com
PPT Luminol Structure, Synthesis, chemical reaction, and its Luminol Reaction Explained The chemiluminescence of luminol is a fascinating way to demonstrate that energy changes in reactions don’t always involve the release or absorption of heat. Learn how to perform a luminol reaction with copper and hydrogen peroxide, and how it produces blue light. Learn how luminol chemiluminescence is triggered by catalytic or electrochemical processes and how it is used for analytical. Luminol Reaction Explained.
From www.slideserve.com
PPT Luminol Structure, Synthesis, chemical reaction, and its Luminol Reaction Explained Learn how luminol reacts with hemoglobin, how investigators use it and what are its limitations. Explore the mechanism, the role of metal. Learn how to perform a luminol reaction with copper and hydrogen peroxide, and how it produces blue light. The oxidation of luminol is a good example. Chemiluminescence is a 'fascinating phenomenon where a chemical reaction produces light without. Luminol Reaction Explained.
From www.futura-sciences.com
Les incroyables expériences de chimie le luminol Luminol Reaction Explained Learn how to perform a luminol reaction with copper and hydrogen peroxide, and how it produces blue light. Learn how luminol reacts with hemoglobin, how investigators use it and what are its limitations. The chemiluminescence of luminol is a fascinating way to demonstrate that energy changes in reactions don’t always involve the release or absorption of heat. Learn how luminol. Luminol Reaction Explained.
From www.mdpi.com
Chemosensors Free FullText A Novel Highly Sensitive Luminol Reaction Explained Find out the chemical mechanism, the role of catalysts, and the applications of luminol in forensics. Luminol is a chemical that reveals hidden blood traces with a blue glow. The chemiluminescence of luminol is a fascinating way to demonstrate that energy changes in reactions don’t always involve the release or absorption of heat. Learn how luminol chemiluminescence is triggered by. Luminol Reaction Explained.
From www.numerade.com
SOLVED Mechanism. The key event in the chemiluminescence of luminol is Luminol Reaction Explained Find out the chemical mechanism, the role of catalysts, and the applications of luminol in forensics. Learn how luminol chemiluminescence is triggered by catalytic or electrochemical processes and how it is used for analytical detection. Chemiluminescence is a 'fascinating phenomenon where a chemical reaction produces light without heat'. Learn how to make and observe a luminescing solution with luminol and. Luminol Reaction Explained.
From www.researchgate.net
Proposed mechanism for the ECL reaction of luminol [36]. Reproduced Luminol Reaction Explained Learn how to make and observe a luminescing solution with luminol and hydrogen peroxide, and how this reaction produces blue light. Learn how luminol chemiluminescence is triggered by catalytic or electrochemical processes and how it is used for analytical detection. The oxidation of luminol is a good example. The chemiluminescence of luminol is a fascinating way to demonstrate that energy. Luminol Reaction Explained.
From www.youtube.com
The Luminol Reaction YouTube Luminol Reaction Explained Learn how luminol chemiluminescence is triggered by catalytic or electrochemical processes and how it is used for analytical detection. The oxidation of luminol is a good example. Explore the mechanism, the role of metal. The chemiluminescence of luminol is a fascinating way to demonstrate that energy changes in reactions don’t always involve the release or absorption of heat. Find out. Luminol Reaction Explained.
From www.slideserve.com
PPT Luminol Structure, Synthesis, chemical reaction, and its Luminol Reaction Explained Learn how to perform a luminol reaction with copper and hydrogen peroxide, and how it produces blue light. Learn how luminol reacts with hemoglobin, how investigators use it and what are its limitations. Explore the mechanism, the role of metal. Learn how luminol chemiluminescence is triggered by catalytic or electrochemical processes and how it is used for analytical detection. Luminol. Luminol Reaction Explained.
From sciencenotes.org
Two Color Chemiluminescent Reaction Luminol Reaction Explained Luminol is a chemical that reveals hidden blood traces with a blue glow. Learn how to make and observe a luminescing solution with luminol and hydrogen peroxide, and how this reaction produces blue light. The chemiluminescence of luminol is a fascinating way to demonstrate that energy changes in reactions don’t always involve the release or absorption of heat. Find out. Luminol Reaction Explained.
From gbu-presnenskij.ru
Luminol And Hydrogen Peroxide Reaction Buying Store gbupresnenskij.ru Luminol Reaction Explained The chemiluminescence of luminol is a fascinating way to demonstrate that energy changes in reactions don’t always involve the release or absorption of heat. Chemiluminescence is a 'fascinating phenomenon where a chemical reaction produces light without heat'. Learn how luminol reacts with hemoglobin, how investigators use it and what are its limitations. Learn how to make and observe a luminescing. Luminol Reaction Explained.
From www.semanticscholar.org
Figure 9 from Forensic application of the luminol reaction as a Luminol Reaction Explained Find out the chemical mechanism, the role of catalysts, and the applications of luminol in forensics. The oxidation of luminol is a good example. Luminol is a chemical that reveals hidden blood traces with a blue glow. Learn how to make and observe a luminescing solution with luminol and hydrogen peroxide, and how this reaction produces blue light. Learn how. Luminol Reaction Explained.
From www.slideserve.com
PPT Forensic Analysis of Blood using Luminol PowerPoint Presentation Luminol Reaction Explained Find out the chemical mechanism, the role of catalysts, and the applications of luminol in forensics. Explore the mechanism, the role of metal. The chemiluminescence of luminol is a fascinating way to demonstrate that energy changes in reactions don’t always involve the release or absorption of heat. Chemiluminescence is a 'fascinating phenomenon where a chemical reaction produces light without heat'.. Luminol Reaction Explained.
From slidetodoc.com
Luminol Reaction Fluorescence 2 Phosphoresence Photoluminescence Luminol Reaction Explained Luminol is a chemical that reveals hidden blood traces with a blue glow. Explore the mechanism, the role of metal. Learn how to perform a luminol reaction with copper and hydrogen peroxide, and how it produces blue light. Learn how luminol chemiluminescence is triggered by catalytic or electrochemical processes and how it is used for analytical detection. Learn how luminol. Luminol Reaction Explained.
From www.researchgate.net
A CL curves of luminolH2O2K2S2O8 (red curve), luminolH2O2 Luminol Reaction Explained The oxidation of luminol is a good example. Luminol is a chemical that reveals hidden blood traces with a blue glow. Chemiluminescence is a 'fascinating phenomenon where a chemical reaction produces light without heat'. Learn how luminol chemiluminescence is triggered by catalytic or electrochemical processes and how it is used for analytical detection. Learn how luminol reacts with hemoglobin, how. Luminol Reaction Explained.
From www.slideserve.com
PPT Luminol Structure, Synthesis, chemical reaction, and its Luminol Reaction Explained The chemiluminescence of luminol is a fascinating way to demonstrate that energy changes in reactions don’t always involve the release or absorption of heat. Find out the chemical mechanism, the role of catalysts, and the applications of luminol in forensics. Learn how to perform a luminol reaction with copper and hydrogen peroxide, and how it produces blue light. Learn how. Luminol Reaction Explained.
From www.slideserve.com
PPT Luminol Structure, Synthesis, chemical reaction, and its Luminol Reaction Explained Learn how luminol chemiluminescence is triggered by catalytic or electrochemical processes and how it is used for analytical detection. Find out the chemical mechanism, the role of catalysts, and the applications of luminol in forensics. Chemiluminescence is a 'fascinating phenomenon where a chemical reaction produces light without heat'. Luminol is a chemical that reveals hidden blood traces with a blue. Luminol Reaction Explained.
From www.slideserve.com
PPT Luminol Structure, Synthesis, chemical reaction, and its Luminol Reaction Explained The chemiluminescence of luminol is a fascinating way to demonstrate that energy changes in reactions don’t always involve the release or absorption of heat. Find out the chemical mechanism, the role of catalysts, and the applications of luminol in forensics. Learn how luminol reacts with hemoglobin, how investigators use it and what are its limitations. Explore the mechanism, the role. Luminol Reaction Explained.
From www.slideserve.com
PPT Luminol Structure, Synthesis, chemical reaction, and its Luminol Reaction Explained Learn how luminol reacts with hemoglobin, how investigators use it and what are its limitations. Learn how to make and observe a luminescing solution with luminol and hydrogen peroxide, and how this reaction produces blue light. Learn how luminol chemiluminescence is triggered by catalytic or electrochemical processes and how it is used for analytical detection. Explore the mechanism, the role. Luminol Reaction Explained.
From physicsopenlab.org
Luminol PhysicsOpenLab Luminol Reaction Explained Learn how to perform a luminol reaction with copper and hydrogen peroxide, and how it produces blue light. Learn how luminol chemiluminescence is triggered by catalytic or electrochemical processes and how it is used for analytical detection. Find out the chemical mechanism, the role of catalysts, and the applications of luminol in forensics. Learn how luminol reacts with hemoglobin, how. Luminol Reaction Explained.
From www.pinterest.ca
Chemiluminescence of luminol in action. Chemistry lessons, Chemistry Luminol Reaction Explained The oxidation of luminol is a good example. Learn how luminol chemiluminescence is triggered by catalytic or electrochemical processes and how it is used for analytical detection. Learn how luminol reacts with hemoglobin, how investigators use it and what are its limitations. Find out the chemical mechanism, the role of catalysts, and the applications of luminol in forensics. Learn how. Luminol Reaction Explained.
From www.compoundchem.com
Compound Interest Crime Scene Chemistry Luminol, Blood & Horseradish Luminol Reaction Explained The oxidation of luminol is a good example. Learn how luminol chemiluminescence is triggered by catalytic or electrochemical processes and how it is used for analytical detection. Learn how to perform a luminol reaction with copper and hydrogen peroxide, and how it produces blue light. Chemiluminescence is a 'fascinating phenomenon where a chemical reaction produces light without heat'. Learn how. Luminol Reaction Explained.
From www.slideserve.com
PPT Luminol Structure, Synthesis, chemical reaction, and its Luminol Reaction Explained The chemiluminescence of luminol is a fascinating way to demonstrate that energy changes in reactions don’t always involve the release or absorption of heat. Learn how luminol chemiluminescence is triggered by catalytic or electrochemical processes and how it is used for analytical detection. Chemiluminescence is a 'fascinating phenomenon where a chemical reaction produces light without heat'. Learn how to make. Luminol Reaction Explained.
From www.researchgate.net
Chemical reactions responsible for luminol chemiluminescence. Luminol Luminol Reaction Explained Learn how luminol chemiluminescence is triggered by catalytic or electrochemical processes and how it is used for analytical detection. Learn how to make and observe a luminescing solution with luminol and hydrogen peroxide, and how this reaction produces blue light. The chemiluminescence of luminol is a fascinating way to demonstrate that energy changes in reactions don’t always involve the release. Luminol Reaction Explained.
From www.doccheck.com
LuminolReaktion DocCheck Luminol Reaction Explained Learn how luminol chemiluminescence is triggered by catalytic or electrochemical processes and how it is used for analytical detection. Luminol is a chemical that reveals hidden blood traces with a blue glow. The oxidation of luminol is a good example. Find out the chemical mechanism, the role of catalysts, and the applications of luminol in forensics. Chemiluminescence is a 'fascinating. Luminol Reaction Explained.
From www.slideserve.com
PPT Bloodstain Science PowerPoint Presentation, free download ID Luminol Reaction Explained Luminol is a chemical that reveals hidden blood traces with a blue glow. The oxidation of luminol is a good example. Chemiluminescence is a 'fascinating phenomenon where a chemical reaction produces light without heat'. Learn how luminol reacts with hemoglobin, how investigators use it and what are its limitations. Explore the mechanism, the role of metal. Find out the chemical. Luminol Reaction Explained.
From www.slideserve.com
PPT Blood Spatter PowerPoint Presentation, free download ID334175 Luminol Reaction Explained Learn how to perform a luminol reaction with copper and hydrogen peroxide, and how it produces blue light. Chemiluminescence is a 'fascinating phenomenon where a chemical reaction produces light without heat'. Find out the chemical mechanism, the role of catalysts, and the applications of luminol in forensics. The oxidation of luminol is a good example. Luminol is a chemical that. Luminol Reaction Explained.
From www.youtube.com
Glowing Reaction Luminol Chemistry Experiment YouTube Luminol Reaction Explained Chemiluminescence is a 'fascinating phenomenon where a chemical reaction produces light without heat'. Luminol is a chemical that reveals hidden blood traces with a blue glow. Explore the mechanism, the role of metal. The oxidation of luminol is a good example. Learn how luminol reacts with hemoglobin, how investigators use it and what are its limitations. Learn how to make. Luminol Reaction Explained.
From www.slideserve.com
PPT Molecular Luminescence Spectroscopy PowerPoint Presentation, free Luminol Reaction Explained Learn how to perform a luminol reaction with copper and hydrogen peroxide, and how it produces blue light. Chemiluminescence is a 'fascinating phenomenon where a chemical reaction produces light without heat'. Find out the chemical mechanism, the role of catalysts, and the applications of luminol in forensics. Luminol is a chemical that reveals hidden blood traces with a blue glow.. Luminol Reaction Explained.
From www.in-the-loop.net.au
Crime Scene Chemistry Luminol, Blood & Horseradish In The Loop Luminol Reaction Explained Learn how to make and observe a luminescing solution with luminol and hydrogen peroxide, and how this reaction produces blue light. Luminol is a chemical that reveals hidden blood traces with a blue glow. Learn how luminol reacts with hemoglobin, how investigators use it and what are its limitations. The oxidation of luminol is a good example. Learn how to. Luminol Reaction Explained.
From www.slideserve.com
PPT Forensic Science Lab Activity PowerPoint Presentation, free Luminol Reaction Explained Luminol is a chemical that reveals hidden blood traces with a blue glow. Learn how to perform a luminol reaction with copper and hydrogen peroxide, and how it produces blue light. Learn how luminol reacts with hemoglobin, how investigators use it and what are its limitations. Learn how luminol chemiluminescence is triggered by catalytic or electrochemical processes and how it. Luminol Reaction Explained.
From www.researchgate.net
Chemical reactions responsible for luminol chemiluminescence. Luminol Luminol Reaction Explained Learn how luminol reacts with hemoglobin, how investigators use it and what are its limitations. Find out the chemical mechanism, the role of catalysts, and the applications of luminol in forensics. Luminol is a chemical that reveals hidden blood traces with a blue glow. Explore the mechanism, the role of metal. Learn how to make and observe a luminescing solution. Luminol Reaction Explained.
From www.slideserve.com
PPT Luminol Structure, Synthesis, chemical reaction, and its Luminol Reaction Explained Learn how to perform a luminol reaction with copper and hydrogen peroxide, and how it produces blue light. Learn how luminol reacts with hemoglobin, how investigators use it and what are its limitations. The oxidation of luminol is a good example. Luminol is a chemical that reveals hidden blood traces with a blue glow. Find out the chemical mechanism, the. Luminol Reaction Explained.
From www.youtube.com
Liquid light chemical reaction with Luminol Chemistry chemical Luminol Reaction Explained Learn how to perform a luminol reaction with copper and hydrogen peroxide, and how it produces blue light. Learn how luminol reacts with hemoglobin, how investigators use it and what are its limitations. Learn how luminol chemiluminescence is triggered by catalytic or electrochemical processes and how it is used for analytical detection. Chemiluminescence is a 'fascinating phenomenon where a chemical. Luminol Reaction Explained.
From www.slideserve.com
PPT Group 5_ Luminol & DNA PowerPoint Presentation, free download Luminol Reaction Explained Learn how to perform a luminol reaction with copper and hydrogen peroxide, and how it produces blue light. The oxidation of luminol is a good example. Learn how to make and observe a luminescing solution with luminol and hydrogen peroxide, and how this reaction produces blue light. Learn how luminol chemiluminescence is triggered by catalytic or electrochemical processes and how. Luminol Reaction Explained.