Biomolecules Are Inorganic Molecules . biological macromolecules are organic, meaning they contain carbon and are bound to hydrogen, and may contain oxygen, nitrogen, and additional minor. Part of our biomolecules and the chemistry of life. carbon compounds that we get from living tissues can be called ‘biomolecules’. However, living organisms have also got. biomolecule, any of numerous substances that are produced by cells and living organisms. definition and examples. shmoop biology explains organic vs. A biomolecule is any molecule produced by living organisms. However, there are a few specific classes of organic.
from www.slideshare.net
definition and examples. biological macromolecules are organic, meaning they contain carbon and are bound to hydrogen, and may contain oxygen, nitrogen, and additional minor. However, living organisms have also got. However, there are a few specific classes of organic. A biomolecule is any molecule produced by living organisms. shmoop biology explains organic vs. carbon compounds that we get from living tissues can be called ‘biomolecules’. Part of our biomolecules and the chemistry of life. biomolecule, any of numerous substances that are produced by cells and living organisms.
BIOMOLECULES ( CHEMISTRY)
Biomolecules Are Inorganic Molecules However, living organisms have also got. carbon compounds that we get from living tissues can be called ‘biomolecules’. shmoop biology explains organic vs. biological macromolecules are organic, meaning they contain carbon and are bound to hydrogen, and may contain oxygen, nitrogen, and additional minor. definition and examples. However, living organisms have also got. However, there are a few specific classes of organic. Part of our biomolecules and the chemistry of life. biomolecule, any of numerous substances that are produced by cells and living organisms. A biomolecule is any molecule produced by living organisms.
From sciencenotes.org
Difference Between Organic and Biomolecules Are Inorganic Molecules shmoop biology explains organic vs. carbon compounds that we get from living tissues can be called ‘biomolecules’. biological macromolecules are organic, meaning they contain carbon and are bound to hydrogen, and may contain oxygen, nitrogen, and additional minor. Part of our biomolecules and the chemistry of life. However, there are a few specific classes of organic. . Biomolecules Are Inorganic Molecules.
From conductscience.com
Biomolecules Types and Functions Conduct Science Biomolecules Are Inorganic Molecules shmoop biology explains organic vs. biological macromolecules are organic, meaning they contain carbon and are bound to hydrogen, and may contain oxygen, nitrogen, and additional minor. A biomolecule is any molecule produced by living organisms. Part of our biomolecules and the chemistry of life. carbon compounds that we get from living tissues can be called ‘biomolecules’. However,. Biomolecules Are Inorganic Molecules.
From www.slideshare.net
BIOMOLECULES ( CHEMISTRY) Biomolecules Are Inorganic Molecules biological macromolecules are organic, meaning they contain carbon and are bound to hydrogen, and may contain oxygen, nitrogen, and additional minor. carbon compounds that we get from living tissues can be called ‘biomolecules’. However, living organisms have also got. However, there are a few specific classes of organic. biomolecule, any of numerous substances that are produced by. Biomolecules Are Inorganic Molecules.
From www.studocu.com
Module 1 Study Guide 1 Biomolecules Distinguish organic molecules Biomolecules Are Inorganic Molecules carbon compounds that we get from living tissues can be called ‘biomolecules’. definition and examples. However, living organisms have also got. However, there are a few specific classes of organic. Part of our biomolecules and the chemistry of life. biological macromolecules are organic, meaning they contain carbon and are bound to hydrogen, and may contain oxygen, nitrogen,. Biomolecules Are Inorganic Molecules.
From www.slideserve.com
PPT Molecules of Life Biomolecules PowerPoint Presentation ID2143076 Biomolecules Are Inorganic Molecules carbon compounds that we get from living tissues can be called ‘biomolecules’. biomolecule, any of numerous substances that are produced by cells and living organisms. A biomolecule is any molecule produced by living organisms. However, living organisms have also got. However, there are a few specific classes of organic. shmoop biology explains organic vs. definition and. Biomolecules Are Inorganic Molecules.
From www.youtube.com
4 Biological Molecules Structure and Their Function A quick guide Biomolecules Are Inorganic Molecules biological macromolecules are organic, meaning they contain carbon and are bound to hydrogen, and may contain oxygen, nitrogen, and additional minor. Part of our biomolecules and the chemistry of life. A biomolecule is any molecule produced by living organisms. However, there are a few specific classes of organic. definition and examples. carbon compounds that we get from. Biomolecules Are Inorganic Molecules.
From www.majordifferences.com
Four Biomolecules Structure and Function Comparison Chart Biomolecules Are Inorganic Molecules biological macromolecules are organic, meaning they contain carbon and are bound to hydrogen, and may contain oxygen, nitrogen, and additional minor. biomolecule, any of numerous substances that are produced by cells and living organisms. shmoop biology explains organic vs. However, there are a few specific classes of organic. However, living organisms have also got. Part of our. Biomolecules Are Inorganic Molecules.
From www.scribd.com
Biomolecules PDF Acid Taste Biomolecules Are Inorganic Molecules Part of our biomolecules and the chemistry of life. However, living organisms have also got. carbon compounds that we get from living tissues can be called ‘biomolecules’. definition and examples. A biomolecule is any molecule produced by living organisms. biological macromolecules are organic, meaning they contain carbon and are bound to hydrogen, and may contain oxygen, nitrogen,. Biomolecules Are Inorganic Molecules.
From www.slideserve.com
PPT CH 3 Biological Molecules (Biomolecules) PowerPoint Presentation Biomolecules Are Inorganic Molecules Part of our biomolecules and the chemistry of life. biomolecule, any of numerous substances that are produced by cells and living organisms. A biomolecule is any molecule produced by living organisms. definition and examples. shmoop biology explains organic vs. carbon compounds that we get from living tissues can be called ‘biomolecules’. However, living organisms have also. Biomolecules Are Inorganic Molecules.
From www.slideshare.net
BIOMOLECULES ( CHEMISTRY) Biomolecules Are Inorganic Molecules However, there are a few specific classes of organic. biomolecule, any of numerous substances that are produced by cells and living organisms. carbon compounds that we get from living tissues can be called ‘biomolecules’. biological macromolecules are organic, meaning they contain carbon and are bound to hydrogen, and may contain oxygen, nitrogen, and additional minor. Part of. Biomolecules Are Inorganic Molecules.
From www.slideserve.com
PPT Biomolecules & the Origin of cells PowerPoint Presentation ID Biomolecules Are Inorganic Molecules shmoop biology explains organic vs. biomolecule, any of numerous substances that are produced by cells and living organisms. A biomolecule is any molecule produced by living organisms. biological macromolecules are organic, meaning they contain carbon and are bound to hydrogen, and may contain oxygen, nitrogen, and additional minor. definition and examples. carbon compounds that we. Biomolecules Are Inorganic Molecules.
From slideplayer.com
Biochemistry Ms Caldarola. ppt download Biomolecules Are Inorganic Molecules However, living organisms have also got. biological macromolecules are organic, meaning they contain carbon and are bound to hydrogen, and may contain oxygen, nitrogen, and additional minor. Part of our biomolecules and the chemistry of life. definition and examples. biomolecule, any of numerous substances that are produced by cells and living organisms. However, there are a few. Biomolecules Are Inorganic Molecules.
From www.slideshare.net
BIOMOLECULES ( CHEMISTRY) Biomolecules Are Inorganic Molecules A biomolecule is any molecule produced by living organisms. biomolecule, any of numerous substances that are produced by cells and living organisms. However, there are a few specific classes of organic. carbon compounds that we get from living tissues can be called ‘biomolecules’. However, living organisms have also got. shmoop biology explains organic vs. biological macromolecules. Biomolecules Are Inorganic Molecules.
From exycstkku.blob.core.windows.net
Biomolecules Are The Building Blocks Of Life at Salvador Buck blog Biomolecules Are Inorganic Molecules carbon compounds that we get from living tissues can be called ‘biomolecules’. definition and examples. Part of our biomolecules and the chemistry of life. A biomolecule is any molecule produced by living organisms. biological macromolecules are organic, meaning they contain carbon and are bound to hydrogen, and may contain oxygen, nitrogen, and additional minor. biomolecule, any. Biomolecules Are Inorganic Molecules.
From es.scribd.com
Biomolecules PDF Sal (química) Átomos Biomolecules Are Inorganic Molecules biomolecule, any of numerous substances that are produced by cells and living organisms. However, living organisms have also got. definition and examples. carbon compounds that we get from living tissues can be called ‘biomolecules’. Part of our biomolecules and the chemistry of life. biological macromolecules are organic, meaning they contain carbon and are bound to hydrogen,. Biomolecules Are Inorganic Molecules.
From www.slideshare.net
BIOMOLECULES ( CHEMISTRY) Biomolecules Are Inorganic Molecules biological macromolecules are organic, meaning they contain carbon and are bound to hydrogen, and may contain oxygen, nitrogen, and additional minor. definition and examples. carbon compounds that we get from living tissues can be called ‘biomolecules’. However, living organisms have also got. A biomolecule is any molecule produced by living organisms. biomolecule, any of numerous substances. Biomolecules Are Inorganic Molecules.
From www.studocu.com
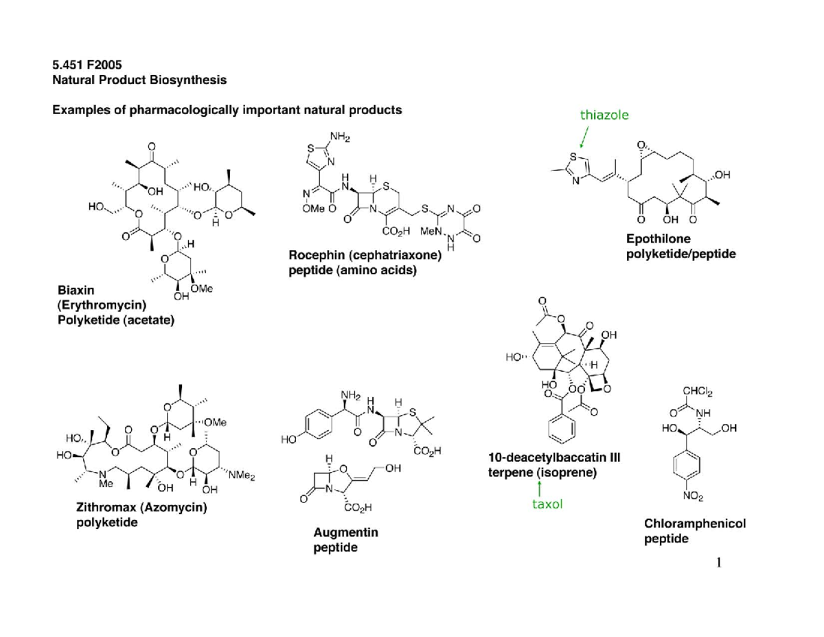
Biomolecules Natural product biosynthesis Chemistry II Biomolecules Are Inorganic Molecules biomolecule, any of numerous substances that are produced by cells and living organisms. Part of our biomolecules and the chemistry of life. biological macromolecules are organic, meaning they contain carbon and are bound to hydrogen, and may contain oxygen, nitrogen, and additional minor. A biomolecule is any molecule produced by living organisms. shmoop biology explains organic vs.. Biomolecules Are Inorganic Molecules.
From www.youtube.com
Biomolecules are (A) organic compounds (B) compounds (C Biomolecules Are Inorganic Molecules However, there are a few specific classes of organic. However, living organisms have also got. A biomolecule is any molecule produced by living organisms. Part of our biomolecules and the chemistry of life. biological macromolecules are organic, meaning they contain carbon and are bound to hydrogen, and may contain oxygen, nitrogen, and additional minor. definition and examples. . Biomolecules Are Inorganic Molecules.
From slidetodoc.com
INTRODUCTION OF BIOMOLECULES CARBOHYDRATES Biomolecule is the molecule Biomolecules Are Inorganic Molecules However, there are a few specific classes of organic. A biomolecule is any molecule produced by living organisms. carbon compounds that we get from living tissues can be called ‘biomolecules’. shmoop biology explains organic vs. biomolecule, any of numerous substances that are produced by cells and living organisms. definition and examples. biological macromolecules are organic,. Biomolecules Are Inorganic Molecules.
From www.slideserve.com
PPT CH 3 Biological Molecules (Biomolecules) PowerPoint Presentation Biomolecules Are Inorganic Molecules biomolecule, any of numerous substances that are produced by cells and living organisms. However, there are a few specific classes of organic. Part of our biomolecules and the chemistry of life. A biomolecule is any molecule produced by living organisms. definition and examples. carbon compounds that we get from living tissues can be called ‘biomolecules’. biological. Biomolecules Are Inorganic Molecules.
From www.slideshare.net
BIOMOLECULES ( CHEMISTRY) Biomolecules Are Inorganic Molecules carbon compounds that we get from living tissues can be called ‘biomolecules’. Part of our biomolecules and the chemistry of life. biomolecule, any of numerous substances that are produced by cells and living organisms. However, living organisms have also got. However, there are a few specific classes of organic. shmoop biology explains organic vs. definition and. Biomolecules Are Inorganic Molecules.
From dokumen.tips
(PPT) 1 Unit 2 BIOMOLECULES, Part 1 CHEMISTRY Atomic Biomolecules Are Inorganic Molecules shmoop biology explains organic vs. However, there are a few specific classes of organic. However, living organisms have also got. biological macromolecules are organic, meaning they contain carbon and are bound to hydrogen, and may contain oxygen, nitrogen, and additional minor. carbon compounds that we get from living tissues can be called ‘biomolecules’. definition and examples.. Biomolecules Are Inorganic Molecules.
From wordwall.net
Lesson 1 Organic and Compounds, and Biomolecules Match up Biomolecules Are Inorganic Molecules biomolecule, any of numerous substances that are produced by cells and living organisms. biological macromolecules are organic, meaning they contain carbon and are bound to hydrogen, and may contain oxygen, nitrogen, and additional minor. shmoop biology explains organic vs. However, there are a few specific classes of organic. A biomolecule is any molecule produced by living organisms.. Biomolecules Are Inorganic Molecules.
From www.slideshare.net
BIOMOLECULES ( CHEMISTRY) Biomolecules Are Inorganic Molecules definition and examples. shmoop biology explains organic vs. A biomolecule is any molecule produced by living organisms. biomolecule, any of numerous substances that are produced by cells and living organisms. carbon compounds that we get from living tissues can be called ‘biomolecules’. However, there are a few specific classes of organic. However, living organisms have also. Biomolecules Are Inorganic Molecules.
From www.slideshare.net
BIOMOLECULES ( CHEMISTRY) Biomolecules Are Inorganic Molecules biomolecule, any of numerous substances that are produced by cells and living organisms. A biomolecule is any molecule produced by living organisms. biological macromolecules are organic, meaning they contain carbon and are bound to hydrogen, and may contain oxygen, nitrogen, and additional minor. However, living organisms have also got. Part of our biomolecules and the chemistry of life.. Biomolecules Are Inorganic Molecules.
From mavink.com
Four Types Of Biomolecules Biomolecules Are Inorganic Molecules Part of our biomolecules and the chemistry of life. carbon compounds that we get from living tissues can be called ‘biomolecules’. definition and examples. However, there are a few specific classes of organic. However, living organisms have also got. biological macromolecules are organic, meaning they contain carbon and are bound to hydrogen, and may contain oxygen, nitrogen,. Biomolecules Are Inorganic Molecules.
From www.slideshare.net
BIOMOLECULES ( CHEMISTRY) Biomolecules Are Inorganic Molecules Part of our biomolecules and the chemistry of life. shmoop biology explains organic vs. biomolecule, any of numerous substances that are produced by cells and living organisms. biological macromolecules are organic, meaning they contain carbon and are bound to hydrogen, and may contain oxygen, nitrogen, and additional minor. However, living organisms have also got. However, there are. Biomolecules Are Inorganic Molecules.
From www.expii.com
Organic vs. Molecules Expii Biomolecules Are Inorganic Molecules biological macromolecules are organic, meaning they contain carbon and are bound to hydrogen, and may contain oxygen, nitrogen, and additional minor. A biomolecule is any molecule produced by living organisms. shmoop biology explains organic vs. biomolecule, any of numerous substances that are produced by cells and living organisms. Part of our biomolecules and the chemistry of life.. Biomolecules Are Inorganic Molecules.
From www.slideserve.com
PPT Biomolecules PowerPoint Presentation, free download ID2672962 Biomolecules Are Inorganic Molecules Part of our biomolecules and the chemistry of life. However, living organisms have also got. biological macromolecules are organic, meaning they contain carbon and are bound to hydrogen, and may contain oxygen, nitrogen, and additional minor. definition and examples. However, there are a few specific classes of organic. A biomolecule is any molecule produced by living organisms. . Biomolecules Are Inorganic Molecules.
From www.biologyexams4u.com
Biology Exams 4 U Biomolecules Are Inorganic Molecules biomolecule, any of numerous substances that are produced by cells and living organisms. Part of our biomolecules and the chemistry of life. shmoop biology explains organic vs. definition and examples. However, there are a few specific classes of organic. A biomolecule is any molecule produced by living organisms. carbon compounds that we get from living tissues. Biomolecules Are Inorganic Molecules.
From www.slideserve.com
PPT Biomolecules PowerPoint Presentation, free download ID2202352 Biomolecules Are Inorganic Molecules carbon compounds that we get from living tissues can be called ‘biomolecules’. biomolecule, any of numerous substances that are produced by cells and living organisms. However, there are a few specific classes of organic. However, living organisms have also got. Part of our biomolecules and the chemistry of life. shmoop biology explains organic vs. A biomolecule is. Biomolecules Are Inorganic Molecules.
From www.youtube.com
Differences Between Organic and Molecules YouTube Biomolecules Are Inorganic Molecules Part of our biomolecules and the chemistry of life. A biomolecule is any molecule produced by living organisms. definition and examples. carbon compounds that we get from living tissues can be called ‘biomolecules’. biomolecule, any of numerous substances that are produced by cells and living organisms. However, living organisms have also got. biological macromolecules are organic,. Biomolecules Are Inorganic Molecules.
From www.biologyonline.com
Biomolecule Definition and Examples Biology Online Dictionary Biomolecules Are Inorganic Molecules shmoop biology explains organic vs. definition and examples. carbon compounds that we get from living tissues can be called ‘biomolecules’. Part of our biomolecules and the chemistry of life. However, there are a few specific classes of organic. A biomolecule is any molecule produced by living organisms. biological macromolecules are organic, meaning they contain carbon and. Biomolecules Are Inorganic Molecules.
From circuitdiagramtour.z1.web.core.windows.net
Five Simplified Diagrams Of Biological Molecules Biomolecules Are Inorganic Molecules biomolecule, any of numerous substances that are produced by cells and living organisms. shmoop biology explains organic vs. However, living organisms have also got. definition and examples. carbon compounds that we get from living tissues can be called ‘biomolecules’. Part of our biomolecules and the chemistry of life. A biomolecule is any molecule produced by living. Biomolecules Are Inorganic Molecules.
From www.expii.com
Organic vs. Molecules — Definition & Overview Expii Biomolecules Are Inorganic Molecules However, there are a few specific classes of organic. biomolecule, any of numerous substances that are produced by cells and living organisms. A biomolecule is any molecule produced by living organisms. shmoop biology explains organic vs. definition and examples. biological macromolecules are organic, meaning they contain carbon and are bound to hydrogen, and may contain oxygen,. Biomolecules Are Inorganic Molecules.