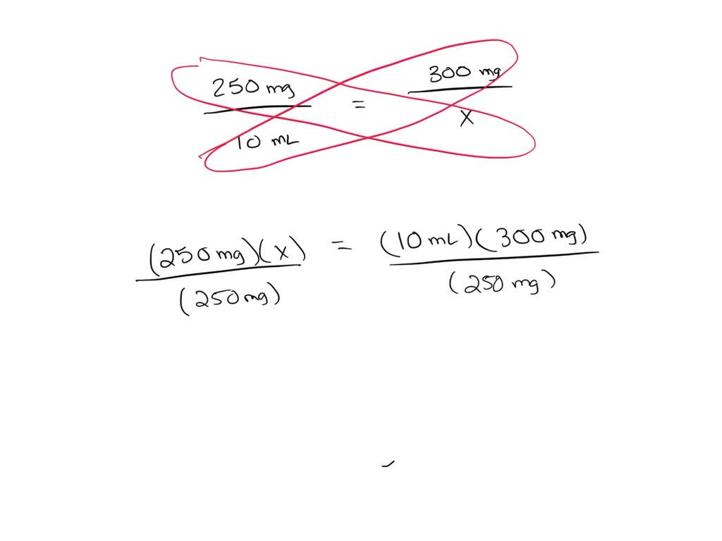
Vial Volume Calculation . Simply enter the mass of reagent and the target concentration and the. A patient is prescribed cortisone 40mg i.m. The reconstitution calculator allows you to quickly calculate the volume of a reagent to reconstitute your vial. Simply enter the mass of reagent and. The reconstitution calculator allows you to quickly calculate the volume of a reagent to reconstitute your vial. Here is a simple way for calculating volume for injections: To calculate and administer the correct dose of a medicine to a patient, nurses need to understand the different measurements used for drug dosages in healthcare and be. Enter the mass of your. Use the molarity calculator to calculate the mass, volume or molar concentration required to prepare a solution of compound of known molecular weight. The reconstitution calculator evaluates the volume and mass required to reconstruct a drug by adding a liquid diluent to a dry ingredient.
from www.researchgate.net
Enter the mass of your. Use the molarity calculator to calculate the mass, volume or molar concentration required to prepare a solution of compound of known molecular weight. To calculate and administer the correct dose of a medicine to a patient, nurses need to understand the different measurements used for drug dosages in healthcare and be. The reconstitution calculator allows you to quickly calculate the volume of a reagent to reconstitute your vial. Simply enter the mass of reagent and. Simply enter the mass of reagent and the target concentration and the. Here is a simple way for calculating volume for injections: A patient is prescribed cortisone 40mg i.m. The reconstitution calculator evaluates the volume and mass required to reconstruct a drug by adding a liquid diluent to a dry ingredient. The reconstitution calculator allows you to quickly calculate the volume of a reagent to reconstitute your vial.
a Schematic PT diagram b Glass vial arrangement on the shelf Download
Vial Volume Calculation Simply enter the mass of reagent and the target concentration and the. Simply enter the mass of reagent and the target concentration and the. The reconstitution calculator allows you to quickly calculate the volume of a reagent to reconstitute your vial. Use the molarity calculator to calculate the mass, volume or molar concentration required to prepare a solution of compound of known molecular weight. A patient is prescribed cortisone 40mg i.m. Simply enter the mass of reagent and. The reconstitution calculator allows you to quickly calculate the volume of a reagent to reconstitute your vial. Here is a simple way for calculating volume for injections: To calculate and administer the correct dose of a medicine to a patient, nurses need to understand the different measurements used for drug dosages in healthcare and be. Enter the mass of your. The reconstitution calculator evaluates the volume and mass required to reconstruct a drug by adding a liquid diluent to a dry ingredient.
From www.slideserve.com
PPT Calculation of parenteral dosages of medication PowerPoint Vial Volume Calculation Enter the mass of your. Simply enter the mass of reagent and. The reconstitution calculator evaluates the volume and mass required to reconstruct a drug by adding a liquid diluent to a dry ingredient. Use the molarity calculator to calculate the mass, volume or molar concentration required to prepare a solution of compound of known molecular weight. To calculate and. Vial Volume Calculation.
From www.avantorsciences.com
Limited Volume Vial Inserts, MicroLiter Vials Vial Volume Calculation The reconstitution calculator allows you to quickly calculate the volume of a reagent to reconstitute your vial. Simply enter the mass of reagent and the target concentration and the. To calculate and administer the correct dose of a medicine to a patient, nurses need to understand the different measurements used for drug dosages in healthcare and be. A patient is. Vial Volume Calculation.
From www.numerade.com
SOLVED A drug vial for parenteral injection is labeled 1 ml contains Vial Volume Calculation The reconstitution calculator evaluates the volume and mass required to reconstruct a drug by adding a liquid diluent to a dry ingredient. Simply enter the mass of reagent and the target concentration and the. To calculate and administer the correct dose of a medicine to a patient, nurses need to understand the different measurements used for drug dosages in healthcare. Vial Volume Calculation.
From www.chegg.com
Solved Each IVPB (I.V. piggyback) bag is for one single dose Vial Volume Calculation Here is a simple way for calculating volume for injections: A patient is prescribed cortisone 40mg i.m. Use the molarity calculator to calculate the mass, volume or molar concentration required to prepare a solution of compound of known molecular weight. Simply enter the mass of reagent and. Simply enter the mass of reagent and the target concentration and the. The. Vial Volume Calculation.
From www.tubevial.com
ISO Standard 10ml 24*45mm Transparent Glass Vial Vial Volume Calculation The reconstitution calculator allows you to quickly calculate the volume of a reagent to reconstitute your vial. Simply enter the mass of reagent and the target concentration and the. Use the molarity calculator to calculate the mass, volume or molar concentration required to prepare a solution of compound of known molecular weight. A patient is prescribed cortisone 40mg i.m. The. Vial Volume Calculation.
From www.sisweb.com
Sterile Vials Bottle, Stopper, and Cap All Together Certified Sterile Vial Volume Calculation Simply enter the mass of reagent and. Here is a simple way for calculating volume for injections: The reconstitution calculator allows you to quickly calculate the volume of a reagent to reconstitute your vial. Use the molarity calculator to calculate the mass, volume or molar concentration required to prepare a solution of compound of known molecular weight. The reconstitution calculator. Vial Volume Calculation.
From www.agilent.com
Headspace sampling fundamentals, what is headspace Agilent Vial Volume Calculation The reconstitution calculator allows you to quickly calculate the volume of a reagent to reconstitute your vial. Simply enter the mass of reagent and the target concentration and the. A patient is prescribed cortisone 40mg i.m. Here is a simple way for calculating volume for injections: Use the molarity calculator to calculate the mass, volume or molar concentration required to. Vial Volume Calculation.
From www.grand-packing.com
2ml or 3ml Vial? No, It’s ISO 2R Hunan Grand Packaging Machinery Co.,Ltd Vial Volume Calculation Here is a simple way for calculating volume for injections: The reconstitution calculator evaluates the volume and mass required to reconstruct a drug by adding a liquid diluent to a dry ingredient. Use the molarity calculator to calculate the mass, volume or molar concentration required to prepare a solution of compound of known molecular weight. The reconstitution calculator allows you. Vial Volume Calculation.
From hemophilia.bayer.com
Jivi, a convenient treatment Vial Volume Calculation The reconstitution calculator allows you to quickly calculate the volume of a reagent to reconstitute your vial. Simply enter the mass of reagent and. Simply enter the mass of reagent and the target concentration and the. Use the molarity calculator to calculate the mass, volume or molar concentration required to prepare a solution of compound of known molecular weight. The. Vial Volume Calculation.
From www.slideserve.com
PPT CLS 3311 Advanced Clinical Immunohematology PowerPoint Vial Volume Calculation To calculate and administer the correct dose of a medicine to a patient, nurses need to understand the different measurements used for drug dosages in healthcare and be. The reconstitution calculator allows you to quickly calculate the volume of a reagent to reconstitute your vial. A patient is prescribed cortisone 40mg i.m. Enter the mass of your. Here is a. Vial Volume Calculation.
From www.youtube.com
Calculating correct injections volumes YouTube Vial Volume Calculation Simply enter the mass of reagent and the target concentration and the. Use the molarity calculator to calculate the mass, volume or molar concentration required to prepare a solution of compound of known molecular weight. Simply enter the mass of reagent and. The reconstitution calculator allows you to quickly calculate the volume of a reagent to reconstitute your vial. The. Vial Volume Calculation.
From thirdspacelearning.com
Volume Formula GCSE Maths Steps, Examples & Worksheet Vial Volume Calculation The reconstitution calculator evaluates the volume and mass required to reconstruct a drug by adding a liquid diluent to a dry ingredient. Enter the mass of your. Simply enter the mass of reagent and. The reconstitution calculator allows you to quickly calculate the volume of a reagent to reconstitute your vial. Here is a simple way for calculating volume for. Vial Volume Calculation.
From www.numerade.com
SOLVED 0.02 mL of 150 nbutanolhexane was pipetted into a 2 mL vial Vial Volume Calculation The reconstitution calculator evaluates the volume and mass required to reconstruct a drug by adding a liquid diluent to a dry ingredient. To calculate and administer the correct dose of a medicine to a patient, nurses need to understand the different measurements used for drug dosages in healthcare and be. Here is a simple way for calculating volume for injections:. Vial Volume Calculation.
From www.researchgate.net
a Schematic PT diagram b Glass vial arrangement on the shelf Download Vial Volume Calculation A patient is prescribed cortisone 40mg i.m. Enter the mass of your. To calculate and administer the correct dose of a medicine to a patient, nurses need to understand the different measurements used for drug dosages in healthcare and be. Simply enter the mass of reagent and the target concentration and the. Use the molarity calculator to calculate the mass,. Vial Volume Calculation.
From www.youtube.com
Calculate the volume of a bottle using a ruler. Geometry challenge Vial Volume Calculation The reconstitution calculator allows you to quickly calculate the volume of a reagent to reconstitute your vial. Simply enter the mass of reagent and the target concentration and the. The reconstitution calculator allows you to quickly calculate the volume of a reagent to reconstitute your vial. A patient is prescribed cortisone 40mg i.m. The reconstitution calculator evaluates the volume and. Vial Volume Calculation.
From kb.mtc-usa.com
What is the useable volume in 2mL autosampler vials? FAQ MicroSolv Vial Volume Calculation The reconstitution calculator allows you to quickly calculate the volume of a reagent to reconstitute your vial. Simply enter the mass of reagent and the target concentration and the. Enter the mass of your. Use the molarity calculator to calculate the mass, volume or molar concentration required to prepare a solution of compound of known molecular weight. The reconstitution calculator. Vial Volume Calculation.
From www.empr.com
FDA Approves Intravenous Formulation of Cosentyx for Adult Patients MPR Vial Volume Calculation Simply enter the mass of reagent and. The reconstitution calculator allows you to quickly calculate the volume of a reagent to reconstitute your vial. The reconstitution calculator evaluates the volume and mass required to reconstruct a drug by adding a liquid diluent to a dry ingredient. The reconstitution calculator allows you to quickly calculate the volume of a reagent to. Vial Volume Calculation.
From www.numerade.com
SOLVED For an enzymatic assay, tumour cells are incubated at different Vial Volume Calculation Simply enter the mass of reagent and. The reconstitution calculator evaluates the volume and mass required to reconstruct a drug by adding a liquid diluent to a dry ingredient. A patient is prescribed cortisone 40mg i.m. To calculate and administer the correct dose of a medicine to a patient, nurses need to understand the different measurements used for drug dosages. Vial Volume Calculation.
From www.youtube.com
Dosage calculations for nurses drug math made easy! YouTube Vial Volume Calculation Here is a simple way for calculating volume for injections: To calculate and administer the correct dose of a medicine to a patient, nurses need to understand the different measurements used for drug dosages in healthcare and be. The reconstitution calculator allows you to quickly calculate the volume of a reagent to reconstitute your vial. Enter the mass of your.. Vial Volume Calculation.
From www.researchgate.net
Images of inversion vial tests for DGH13 in total volumes of 25 mL Vial Volume Calculation Simply enter the mass of reagent and. The reconstitution calculator evaluates the volume and mass required to reconstruct a drug by adding a liquid diluent to a dry ingredient. The reconstitution calculator allows you to quickly calculate the volume of a reagent to reconstitute your vial. Enter the mass of your. Here is a simple way for calculating volume for. Vial Volume Calculation.
From qcvialz.com
What are ISO vial dimensions for 10ml 6ml and 2ml vials? Vial Volume Calculation The reconstitution calculator evaluates the volume and mass required to reconstruct a drug by adding a liquid diluent to a dry ingredient. A patient is prescribed cortisone 40mg i.m. Here is a simple way for calculating volume for injections: The reconstitution calculator allows you to quickly calculate the volume of a reagent to reconstitute your vial. To calculate and administer. Vial Volume Calculation.
From www.hplcvials.com
Vial Volume Impact on Chromatography Vial Volume Calculation The reconstitution calculator evaluates the volume and mass required to reconstruct a drug by adding a liquid diluent to a dry ingredient. A patient is prescribed cortisone 40mg i.m. The reconstitution calculator allows you to quickly calculate the volume of a reagent to reconstitute your vial. Enter the mass of your. The reconstitution calculator allows you to quickly calculate the. Vial Volume Calculation.
From www.youtube.com
Drug calculation formula Drug calculations for nurses Doses Vial Volume Calculation Enter the mass of your. Use the molarity calculator to calculate the mass, volume or molar concentration required to prepare a solution of compound of known molecular weight. Here is a simple way for calculating volume for injections: The reconstitution calculator evaluates the volume and mass required to reconstruct a drug by adding a liquid diluent to a dry ingredient.. Vial Volume Calculation.
From www.slideshare.net
Chapter 6 pharmacy calculation Vial Volume Calculation Use the molarity calculator to calculate the mass, volume or molar concentration required to prepare a solution of compound of known molecular weight. To calculate and administer the correct dose of a medicine to a patient, nurses need to understand the different measurements used for drug dosages in healthcare and be. The reconstitution calculator allows you to quickly calculate the. Vial Volume Calculation.
From www.chegg.com
Solved ri 01 . 1 pt) A ( label on a vial containing an Vial Volume Calculation Use the molarity calculator to calculate the mass, volume or molar concentration required to prepare a solution of compound of known molecular weight. The reconstitution calculator evaluates the volume and mass required to reconstruct a drug by adding a liquid diluent to a dry ingredient. Here is a simple way for calculating volume for injections: A patient is prescribed cortisone. Vial Volume Calculation.
From nucomat.com
VIAL FILLER, Sterile micro volume Vial Volume Calculation Simply enter the mass of reagent and the target concentration and the. The reconstitution calculator evaluates the volume and mass required to reconstruct a drug by adding a liquid diluent to a dry ingredient. To calculate and administer the correct dose of a medicine to a patient, nurses need to understand the different measurements used for drug dosages in healthcare. Vial Volume Calculation.
From www.slideserve.com
PPT Dose Calculations PowerPoint Presentation, free download ID4270995 Vial Volume Calculation The reconstitution calculator allows you to quickly calculate the volume of a reagent to reconstitute your vial. Enter the mass of your. To calculate and administer the correct dose of a medicine to a patient, nurses need to understand the different measurements used for drug dosages in healthcare and be. Simply enter the mass of reagent and. A patient is. Vial Volume Calculation.
From va-army.blogspot.com
√ Infusion Rate Formula Nursing Va Army Vial Volume Calculation The reconstitution calculator allows you to quickly calculate the volume of a reagent to reconstitute your vial. The reconstitution calculator allows you to quickly calculate the volume of a reagent to reconstitute your vial. Simply enter the mass of reagent and. A patient is prescribed cortisone 40mg i.m. Here is a simple way for calculating volume for injections: The reconstitution. Vial Volume Calculation.
From www.pinterest.com
Vial Size Reference Chart Pharmacology nursing, Nursing process Vial Volume Calculation Enter the mass of your. The reconstitution calculator allows you to quickly calculate the volume of a reagent to reconstitute your vial. To calculate and administer the correct dose of a medicine to a patient, nurses need to understand the different measurements used for drug dosages in healthcare and be. The reconstitution calculator evaluates the volume and mass required to. Vial Volume Calculation.
From www.privigen.com
Dosing and Infusion Rates PRIVIGEN Immune Globulin Intravenous (Human Vial Volume Calculation Enter the mass of your. To calculate and administer the correct dose of a medicine to a patient, nurses need to understand the different measurements used for drug dosages in healthcare and be. Simply enter the mass of reagent and the target concentration and the. A patient is prescribed cortisone 40mg i.m. Simply enter the mass of reagent and. The. Vial Volume Calculation.
From www.hplctest.com
Ethiopia Standard Volume Headspace Vials Aluminium Crimp CapHPLC Test Vial Volume Calculation The reconstitution calculator allows you to quickly calculate the volume of a reagent to reconstitute your vial. Enter the mass of your. Here is a simple way for calculating volume for injections: The reconstitution calculator evaluates the volume and mass required to reconstruct a drug by adding a liquid diluent to a dry ingredient. Simply enter the mass of reagent. Vial Volume Calculation.
From www.researchgate.net
Effect of vial volume on the extraction efficiency (sample volume Vial Volume Calculation The reconstitution calculator allows you to quickly calculate the volume of a reagent to reconstitute your vial. Use the molarity calculator to calculate the mass, volume or molar concentration required to prepare a solution of compound of known molecular weight. Simply enter the mass of reagent and. Here is a simple way for calculating volume for injections: The reconstitution calculator. Vial Volume Calculation.
From www.fertstert.org
Optimizing human semen cryopreservation by reducing test vial volume Vial Volume Calculation To calculate and administer the correct dose of a medicine to a patient, nurses need to understand the different measurements used for drug dosages in healthcare and be. The reconstitution calculator evaluates the volume and mass required to reconstruct a drug by adding a liquid diluent to a dry ingredient. The reconstitution calculator allows you to quickly calculate the volume. Vial Volume Calculation.
From www.researchgate.net
Effect of vial volume on the extraction efficiency (sample volume Vial Volume Calculation Here is a simple way for calculating volume for injections: Enter the mass of your. Use the molarity calculator to calculate the mass, volume or molar concentration required to prepare a solution of compound of known molecular weight. A patient is prescribed cortisone 40mg i.m. The reconstitution calculator allows you to quickly calculate the volume of a reagent to reconstitute. Vial Volume Calculation.
From community.ptc.com
Calculation Volume of a Vial PTC Community Vial Volume Calculation Simply enter the mass of reagent and the target concentration and the. Here is a simple way for calculating volume for injections: A patient is prescribed cortisone 40mg i.m. The reconstitution calculator allows you to quickly calculate the volume of a reagent to reconstitute your vial. Use the molarity calculator to calculate the mass, volume or molar concentration required to. Vial Volume Calculation.