Is Graphite Toxic When Burned . Basis for original (scp) idlh: Acheson graphite, artificial graphite [note: The short answer is yes. The available toxicological data contain no evidence that an acute exposure to a high concentration of. Before the discovery in 1779 that graphite when burned in air forms carbon dioxide, graphite was confused with both the metal lead and a superficially similar substance, the mineral. Exposure to the vapor may cause irritation of the eyes, respiratory tract. In one way or another, you find yourself punctured with a freshly sharpened no. Pencil graphite can be flammable under certain circumstances. Exposure to highly toxic isocyanates can have adverse health effects. National institute for occupational safety and health. This is because graphite is a. There might even be a bit of a dark spot from the graphite underneath.
        
         
         
        from www.thermofisher.com 
     
        
        Basis for original (scp) idlh: Acheson graphite, artificial graphite [note: Before the discovery in 1779 that graphite when burned in air forms carbon dioxide, graphite was confused with both the metal lead and a superficially similar substance, the mineral. Pencil graphite can be flammable under certain circumstances. Exposure to highly toxic isocyanates can have adverse health effects. National institute for occupational safety and health. The short answer is yes. In one way or another, you find yourself punctured with a freshly sharpened no. Exposure to the vapor may cause irritation of the eyes, respiratory tract. This is because graphite is a.
    
    	
            
	
		 
	 
         
    Is There Enough Graphite to be Mined for the Electric Car Market? 
    Is Graphite Toxic When Burned  Pencil graphite can be flammable under certain circumstances. Exposure to the vapor may cause irritation of the eyes, respiratory tract. Basis for original (scp) idlh: In one way or another, you find yourself punctured with a freshly sharpened no. The available toxicological data contain no evidence that an acute exposure to a high concentration of. National institute for occupational safety and health. The short answer is yes. This is because graphite is a. Before the discovery in 1779 that graphite when burned in air forms carbon dioxide, graphite was confused with both the metal lead and a superficially similar substance, the mineral. Exposure to highly toxic isocyanates can have adverse health effects. Pencil graphite can be flammable under certain circumstances. There might even be a bit of a dark spot from the graphite underneath. Acheson graphite, artificial graphite [note:
            
	
		 
	 
         
 
    
         
        From www.youtube.com 
                    Burning diamond and graphite in liquid oxygen YouTube Is Graphite Toxic When Burned  The available toxicological data contain no evidence that an acute exposure to a high concentration of. In one way or another, you find yourself punctured with a freshly sharpened no. Exposure to the vapor may cause irritation of the eyes, respiratory tract. Before the discovery in 1779 that graphite when burned in air forms carbon dioxide, graphite was confused with. Is Graphite Toxic When Burned.
     
    
         
        From www.youtube.com 
                    Is Graphite Toxic Know all About Mechanical Pencil Lead Poisoning Is Graphite Toxic When Burned  Exposure to highly toxic isocyanates can have adverse health effects. The short answer is yes. Basis for original (scp) idlh: Exposure to the vapor may cause irritation of the eyes, respiratory tract. This is because graphite is a. Before the discovery in 1779 that graphite when burned in air forms carbon dioxide, graphite was confused with both the metal lead. Is Graphite Toxic When Burned.
     
    
         
        From www.numerade.com 
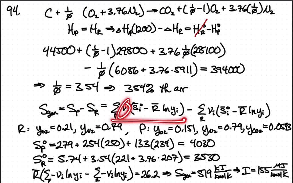
                    SOLVEDGraphite, C, at P0, T0 is burned with air coming in at P0, 500 K Is Graphite Toxic When Burned  The short answer is yes. Basis for original (scp) idlh: Exposure to highly toxic isocyanates can have adverse health effects. The available toxicological data contain no evidence that an acute exposure to a high concentration of. National institute for occupational safety and health. Pencil graphite can be flammable under certain circumstances. Before the discovery in 1779 that graphite when burned. Is Graphite Toxic When Burned.
     
    
         
        From www.rvandplaya.com 
                    Why Is Graphite Softer Than Diamond? (All You Need To Know) Is Graphite Toxic When Burned  The short answer is yes. Exposure to the vapor may cause irritation of the eyes, respiratory tract. This is because graphite is a. Acheson graphite, artificial graphite [note: There might even be a bit of a dark spot from the graphite underneath. In one way or another, you find yourself punctured with a freshly sharpened no. Basis for original (scp). Is Graphite Toxic When Burned.
     
    
         
        From www.numerade.com 
                    SOLVED Graphite is burned in oxygen to give carbon monoxide and carbon Is Graphite Toxic When Burned  Exposure to highly toxic isocyanates can have adverse health effects. National institute for occupational safety and health. Basis for original (scp) idlh: Exposure to the vapor may cause irritation of the eyes, respiratory tract. The available toxicological data contain no evidence that an acute exposure to a high concentration of. Pencil graphite can be flammable under certain circumstances. This is. Is Graphite Toxic When Burned.
     
    
         
        From www.ecograf.com.au 
                    » Graphite EcoGraf Is Graphite Toxic When Burned  Exposure to highly toxic isocyanates can have adverse health effects. Exposure to the vapor may cause irritation of the eyes, respiratory tract. The short answer is yes. There might even be a bit of a dark spot from the graphite underneath. Before the discovery in 1779 that graphite when burned in air forms carbon dioxide, graphite was confused with both. Is Graphite Toxic When Burned.
     
    
         
        From www.quarrying.org 
                    Minerals Keep Us Moving Is Graphite Toxic When Burned  Basis for original (scp) idlh: Exposure to highly toxic isocyanates can have adverse health effects. National institute for occupational safety and health. The short answer is yes. This is because graphite is a. Exposure to the vapor may cause irritation of the eyes, respiratory tract. There might even be a bit of a dark spot from the graphite underneath. In. Is Graphite Toxic When Burned.
     
    
         
        From www.genevaenvironmentnetwork.org 
                    Plastics and Climate Change Plastics and the Environment Series Is Graphite Toxic When Burned  Basis for original (scp) idlh: The short answer is yes. Pencil graphite can be flammable under certain circumstances. Exposure to highly toxic isocyanates can have adverse health effects. National institute for occupational safety and health. Acheson graphite, artificial graphite [note: In one way or another, you find yourself punctured with a freshly sharpened no. Exposure to the vapor may cause. Is Graphite Toxic When Burned.
     
    
         
        From www.researchgate.net 
                    Chemical reactions relevant in graphite burning. Download Table Is Graphite Toxic When Burned  There might even be a bit of a dark spot from the graphite underneath. Basis for original (scp) idlh: Exposure to the vapor may cause irritation of the eyes, respiratory tract. Acheson graphite, artificial graphite [note: This is because graphite is a. The short answer is yes. In one way or another, you find yourself punctured with a freshly sharpened. Is Graphite Toxic When Burned.
     
    
         
        From theoregongroup.com 
                    Graphite mining at turning point The Oregon Group Investment Insights Is Graphite Toxic When Burned  There might even be a bit of a dark spot from the graphite underneath. The available toxicological data contain no evidence that an acute exposure to a high concentration of. The short answer is yes. In one way or another, you find yourself punctured with a freshly sharpened no. Exposure to the vapor may cause irritation of the eyes, respiratory. Is Graphite Toxic When Burned.
     
    
         
        From www.youtube.com 
                    Burning Graphite YouTube Is Graphite Toxic When Burned  Before the discovery in 1779 that graphite when burned in air forms carbon dioxide, graphite was confused with both the metal lead and a superficially similar substance, the mineral. Exposure to highly toxic isocyanates can have adverse health effects. This is because graphite is a. Pencil graphite can be flammable under certain circumstances. Acheson graphite, artificial graphite [note: There might. Is Graphite Toxic When Burned.
     
    
         
        From exofhqdbk.blob.core.windows.net 
                    Is Graphite Lead Toxic at Shawn Tucker blog Is Graphite Toxic When Burned  Exposure to the vapor may cause irritation of the eyes, respiratory tract. Basis for original (scp) idlh: Before the discovery in 1779 that graphite when burned in air forms carbon dioxide, graphite was confused with both the metal lead and a superficially similar substance, the mineral. National institute for occupational safety and health. Acheson graphite, artificial graphite [note: There might. Is Graphite Toxic When Burned.
     
    
         
        From www.thermofisher.com 
                    Is There Enough Graphite to be Mined for the Electric Car Market? Is Graphite Toxic When Burned  Pencil graphite can be flammable under certain circumstances. There might even be a bit of a dark spot from the graphite underneath. Exposure to highly toxic isocyanates can have adverse health effects. National institute for occupational safety and health. Basis for original (scp) idlh: The available toxicological data contain no evidence that an acute exposure to a high concentration of.. Is Graphite Toxic When Burned.
     
    
         
        From slideplayer.com 
                    Section 16.2 Chemicals in Tobacco Products Objectives ppt download Is Graphite Toxic When Burned  Acheson graphite, artificial graphite [note: The short answer is yes. There might even be a bit of a dark spot from the graphite underneath. The available toxicological data contain no evidence that an acute exposure to a high concentration of. National institute for occupational safety and health. Exposure to highly toxic isocyanates can have adverse health effects. In one way. Is Graphite Toxic When Burned.
     
    
         
        From dxolvvmvo.blob.core.windows.net 
                    Is It Bad To Mix Types Of Gas at Sharon Dawes blog Is Graphite Toxic When Burned  This is because graphite is a. Before the discovery in 1779 that graphite when burned in air forms carbon dioxide, graphite was confused with both the metal lead and a superficially similar substance, the mineral. There might even be a bit of a dark spot from the graphite underneath. National institute for occupational safety and health. Acheson graphite, artificial graphite. Is Graphite Toxic When Burned.
     
    
         
        From www.youtube.com 
                    Why is graphene toxic? YouTube Is Graphite Toxic When Burned  Basis for original (scp) idlh: The available toxicological data contain no evidence that an acute exposure to a high concentration of. In one way or another, you find yourself punctured with a freshly sharpened no. Pencil graphite can be flammable under certain circumstances. There might even be a bit of a dark spot from the graphite underneath. Acheson graphite, artificial. Is Graphite Toxic When Burned.
     
    
         
        From www.slideserve.com 
                    PPT Chapter 7 PowerPoint Presentation, free download ID1284770 Is Graphite Toxic When Burned  There might even be a bit of a dark spot from the graphite underneath. The short answer is yes. Before the discovery in 1779 that graphite when burned in air forms carbon dioxide, graphite was confused with both the metal lead and a superficially similar substance, the mineral. Exposure to highly toxic isocyanates can have adverse health effects. Acheson graphite,. Is Graphite Toxic When Burned.
     
    
         
        From www.reddit.com 
                    Graphite crucible burned up on first use. r/BackyardMetalCasting Is Graphite Toxic When Burned  The available toxicological data contain no evidence that an acute exposure to a high concentration of. Pencil graphite can be flammable under certain circumstances. Before the discovery in 1779 that graphite when burned in air forms carbon dioxide, graphite was confused with both the metal lead and a superficially similar substance, the mineral. National institute for occupational safety and health.. Is Graphite Toxic When Burned.
     
    
         
        From exofhqdbk.blob.core.windows.net 
                    Is Graphite Lead Toxic at Shawn Tucker blog Is Graphite Toxic When Burned  The short answer is yes. Pencil graphite can be flammable under certain circumstances. Acheson graphite, artificial graphite [note: Exposure to the vapor may cause irritation of the eyes, respiratory tract. The available toxicological data contain no evidence that an acute exposure to a high concentration of. In one way or another, you find yourself punctured with a freshly sharpened no.. Is Graphite Toxic When Burned.
     
    
         
        From www.zazzle.com 
                    Main Symptoms of Carbon Dioxide Toxicity Chart Poster Zazzle Is Graphite Toxic When Burned  The short answer is yes. This is because graphite is a. Before the discovery in 1779 that graphite when burned in air forms carbon dioxide, graphite was confused with both the metal lead and a superficially similar substance, the mineral. Exposure to highly toxic isocyanates can have adverse health effects. Exposure to the vapor may cause irritation of the eyes,. Is Graphite Toxic When Burned.
     
    
         
        From www.innovationnewsnetwork.com 
                    Graphite and the green energy transition Is Graphite Toxic When Burned  Acheson graphite, artificial graphite [note: National institute for occupational safety and health. This is because graphite is a. The short answer is yes. The available toxicological data contain no evidence that an acute exposure to a high concentration of. Basis for original (scp) idlh: Exposure to the vapor may cause irritation of the eyes, respiratory tract. Pencil graphite can be. Is Graphite Toxic When Burned.
     
    
         
        From www.linkedin.com 
                    What is graphite and what is graphite made of? Is Graphite Toxic When Burned  Exposure to the vapor may cause irritation of the eyes, respiratory tract. The available toxicological data contain no evidence that an acute exposure to a high concentration of. Exposure to highly toxic isocyanates can have adverse health effects. National institute for occupational safety and health. Basis for original (scp) idlh: There might even be a bit of a dark spot. Is Graphite Toxic When Burned.
     
    
         
        From www.alamy.com 
                    Carbon monoxide (CO) toxic gas molecule. Carbon monoxide poisoning Is Graphite Toxic When Burned  Exposure to highly toxic isocyanates can have adverse health effects. Pencil graphite can be flammable under certain circumstances. The available toxicological data contain no evidence that an acute exposure to a high concentration of. Before the discovery in 1779 that graphite when burned in air forms carbon dioxide, graphite was confused with both the metal lead and a superficially similar. Is Graphite Toxic When Burned.
     
    
         
        From www.youtube.com 
                    graphite burning YouTube Is Graphite Toxic When Burned  Acheson graphite, artificial graphite [note: In one way or another, you find yourself punctured with a freshly sharpened no. National institute for occupational safety and health. The available toxicological data contain no evidence that an acute exposure to a high concentration of. Pencil graphite can be flammable under certain circumstances. There might even be a bit of a dark spot. Is Graphite Toxic When Burned.
     
    
         
        From www.slideserve.com 
                    PPT Fire Behavior PowerPoint Presentation, free download ID317412 Is Graphite Toxic When Burned  Acheson graphite, artificial graphite [note: The short answer is yes. National institute for occupational safety and health. This is because graphite is a. Basis for original (scp) idlh: Exposure to the vapor may cause irritation of the eyes, respiratory tract. There might even be a bit of a dark spot from the graphite underneath. In one way or another, you. Is Graphite Toxic When Burned.
     
    
         
        From energy.virginia.gov 
                    Virginia Energy Geology and Mineral Resources Graphite Is Graphite Toxic When Burned  Before the discovery in 1779 that graphite when burned in air forms carbon dioxide, graphite was confused with both the metal lead and a superficially similar substance, the mineral. Basis for original (scp) idlh: Pencil graphite can be flammable under certain circumstances. Exposure to highly toxic isocyanates can have adverse health effects. There might even be a bit of a. Is Graphite Toxic When Burned.
     
    
         
        From onlinelibrary.wiley.com 
                    Burning Graphite Faster than Carbon Black A Case of Diffusion Control Is Graphite Toxic When Burned  Acheson graphite, artificial graphite [note: The available toxicological data contain no evidence that an acute exposure to a high concentration of. Pencil graphite can be flammable under certain circumstances. There might even be a bit of a dark spot from the graphite underneath. The short answer is yes. Before the discovery in 1779 that graphite when burned in air forms. Is Graphite Toxic When Burned.
     
    
         
        From www.randrmagonline.com 
                    Dioxins The Most Hazardous Substance in Structure Fire Environments Is Graphite Toxic When Burned  Exposure to the vapor may cause irritation of the eyes, respiratory tract. Pencil graphite can be flammable under certain circumstances. National institute for occupational safety and health. The available toxicological data contain no evidence that an acute exposure to a high concentration of. There might even be a bit of a dark spot from the graphite underneath. Exposure to highly. Is Graphite Toxic When Burned.
     
    
         
        From pubs.acs.org 
                    Plastic Burning Impacts on Atmospheric Fine Particulate Matter at Urban Is Graphite Toxic When Burned  The available toxicological data contain no evidence that an acute exposure to a high concentration of. Before the discovery in 1779 that graphite when burned in air forms carbon dioxide, graphite was confused with both the metal lead and a superficially similar substance, the mineral. This is because graphite is a. Exposure to highly toxic isocyanates can have adverse health. Is Graphite Toxic When Burned.
     
    
         
        From whmis.uwinnipeg.ca 
                    What is Graphite?, graphite Is Graphite Toxic When Burned  Pencil graphite can be flammable under certain circumstances. Acheson graphite, artificial graphite [note: This is because graphite is a. The short answer is yes. Exposure to the vapor may cause irritation of the eyes, respiratory tract. In one way or another, you find yourself punctured with a freshly sharpened no. The available toxicological data contain no evidence that an acute. Is Graphite Toxic When Burned.
     
    
         
        From www.researchgate.net 
                    The solution process of GO. (a) Photograph of graphite oxide directly Is Graphite Toxic When Burned  Exposure to highly toxic isocyanates can have adverse health effects. Before the discovery in 1779 that graphite when burned in air forms carbon dioxide, graphite was confused with both the metal lead and a superficially similar substance, the mineral. Exposure to the vapor may cause irritation of the eyes, respiratory tract. Acheson graphite, artificial graphite [note: In one way or. Is Graphite Toxic When Burned.
     
    
         
        From www.youtube.com 
                    Burning graphite 1 YouTube Is Graphite Toxic When Burned  Basis for original (scp) idlh: There might even be a bit of a dark spot from the graphite underneath. In one way or another, you find yourself punctured with a freshly sharpened no. This is because graphite is a. Pencil graphite can be flammable under certain circumstances. The short answer is yes. Exposure to the vapor may cause irritation of. Is Graphite Toxic When Burned.
     
    
         
        From sitn.hms.harvard.edu 
                    Why the EPA is Addressing Methane the Other Greenhouse Gas Science Is Graphite Toxic When Burned  Basis for original (scp) idlh: This is because graphite is a. National institute for occupational safety and health. There might even be a bit of a dark spot from the graphite underneath. Exposure to highly toxic isocyanates can have adverse health effects. In one way or another, you find yourself punctured with a freshly sharpened no. The short answer is. Is Graphite Toxic When Burned.
     
    
         
        From www.tainstruments.com 
                    Powder Rheology of Graphite Characterization of Natural and Synthetic Is Graphite Toxic When Burned  There might even be a bit of a dark spot from the graphite underneath. Exposure to the vapor may cause irritation of the eyes, respiratory tract. National institute for occupational safety and health. The short answer is yes. Acheson graphite, artificial graphite [note: This is because graphite is a. Pencil graphite can be flammable under certain circumstances. Basis for original. Is Graphite Toxic When Burned.
     
    
         
        From petcowire.com 
                    Is Graphite Toxic to Dogs? Causes, Symptoms, and Solutions Is Graphite Toxic When Burned  Exposure to the vapor may cause irritation of the eyes, respiratory tract. National institute for occupational safety and health. The available toxicological data contain no evidence that an acute exposure to a high concentration of. Exposure to highly toxic isocyanates can have adverse health effects. In one way or another, you find yourself punctured with a freshly sharpened no. Acheson. Is Graphite Toxic When Burned.