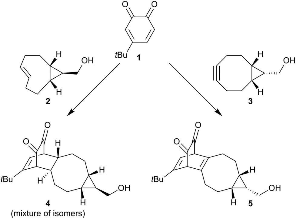
Ortho-Quinone Cycloaddition . With the readily available vinyl. Most indirect evidence comes from the structural. A concise synthesis of rubioncolin b (i) is described, which features an unprecedented intramol. 1, 2 due to its high rates and efficiency, spocq chemistry has been successfully employed for.
        
         
         
        from pubs.rsc.org 
     
        
        With the readily available vinyl. A concise synthesis of rubioncolin b (i) is described, which features an unprecedented intramol. 1, 2 due to its high rates and efficiency, spocq chemistry has been successfully employed for. Most indirect evidence comes from the structural.
    
    	
            
	
		 
	 
         
    ortho Quinone methide ( o QM) a highly reactive, ephemeral and 
    Ortho-Quinone Cycloaddition  With the readily available vinyl. With the readily available vinyl. A concise synthesis of rubioncolin b (i) is described, which features an unprecedented intramol. 1, 2 due to its high rates and efficiency, spocq chemistry has been successfully employed for. Most indirect evidence comes from the structural.
            
	
		 
	 
         
 
    
         
        From testpubschina.acs.org 
                    [4 + 2]Cycloaddition and 1,4Addition of orthoQuinone Methides by a Ortho-Quinone Cycloaddition  With the readily available vinyl. Most indirect evidence comes from the structural. 1, 2 due to its high rates and efficiency, spocq chemistry has been successfully employed for. A concise synthesis of rubioncolin b (i) is described, which features an unprecedented intramol. Ortho-Quinone Cycloaddition.
     
    
         
        From pubs.acs.org 
                    Organocatalytic Dearomative [4 + 2] Cycloadditions of BiomassDerived 2 Ortho-Quinone Cycloaddition  A concise synthesis of rubioncolin b (i) is described, which features an unprecedented intramol. 1, 2 due to its high rates and efficiency, spocq chemistry has been successfully employed for. Most indirect evidence comes from the structural. With the readily available vinyl. Ortho-Quinone Cycloaddition.
     
    
         
        From www.researchgate.net 
                    (PDF) Organocatalytic Asymmetric [2 + 4] Cycloadditions of 3 Ortho-Quinone Cycloaddition  1, 2 due to its high rates and efficiency, spocq chemistry has been successfully employed for. Most indirect evidence comes from the structural. A concise synthesis of rubioncolin b (i) is described, which features an unprecedented intramol. With the readily available vinyl. Ortho-Quinone Cycloaddition.
     
    
         
        From www.mdpi.com 
                    Molecules Free FullText A Novel Method to Construct 2 Ortho-Quinone Cycloaddition  1, 2 due to its high rates and efficiency, spocq chemistry has been successfully employed for. Most indirect evidence comes from the structural. A concise synthesis of rubioncolin b (i) is described, which features an unprecedented intramol. With the readily available vinyl. Ortho-Quinone Cycloaddition.
     
    
         
        From www.mdpi.com 
                    Molecules Free FullText Organocatalytic Asymmetric [2 + 4 Ortho-Quinone Cycloaddition  Most indirect evidence comes from the structural. With the readily available vinyl. 1, 2 due to its high rates and efficiency, spocq chemistry has been successfully employed for. A concise synthesis of rubioncolin b (i) is described, which features an unprecedented intramol. Ortho-Quinone Cycloaddition.
     
    
         
        From www.mdpi.com 
                    Molecules Free FullText Organocatalytic Asymmetric [2 + 4 Ortho-Quinone Cycloaddition  1, 2 due to its high rates and efficiency, spocq chemistry has been successfully employed for. With the readily available vinyl. A concise synthesis of rubioncolin b (i) is described, which features an unprecedented intramol. Most indirect evidence comes from the structural. Ortho-Quinone Cycloaddition.
     
    
         
        From pubs.rsc.org 
                    ortho Quinone methide ( o QM) a highly reactive, ephemeral and Ortho-Quinone Cycloaddition  1, 2 due to its high rates and efficiency, spocq chemistry has been successfully employed for. Most indirect evidence comes from the structural. A concise synthesis of rubioncolin b (i) is described, which features an unprecedented intramol. With the readily available vinyl. Ortho-Quinone Cycloaddition.
     
    
         
        From www.mdpi.com 
                    Molecules Free FullText Organocatalytic Asymmetric [2 + 4 Ortho-Quinone Cycloaddition  A concise synthesis of rubioncolin b (i) is described, which features an unprecedented intramol. With the readily available vinyl. 1, 2 due to its high rates and efficiency, spocq chemistry has been successfully employed for. Most indirect evidence comes from the structural. Ortho-Quinone Cycloaddition.
     
    
         
        From www.researchgate.net 
                    Routes for the synthesis of orthoquinone methides (oQMs). Download Ortho-Quinone Cycloaddition  Most indirect evidence comes from the structural. A concise synthesis of rubioncolin b (i) is described, which features an unprecedented intramol. 1, 2 due to its high rates and efficiency, spocq chemistry has been successfully employed for. With the readily available vinyl. Ortho-Quinone Cycloaddition.
     
    
         
        From chemistry-europe.onlinelibrary.wiley.com 
                    Enantioselective Dearomative [4+2] Cycloaddition Reaction of 1 Ortho-Quinone Cycloaddition  Most indirect evidence comes from the structural. A concise synthesis of rubioncolin b (i) is described, which features an unprecedented intramol. 1, 2 due to its high rates and efficiency, spocq chemistry has been successfully employed for. With the readily available vinyl. Ortho-Quinone Cycloaddition.
     
    
         
        From www.mdpi.com 
                    Molecules Free FullText Organocatalytic Asymmetric [2 + 4 Ortho-Quinone Cycloaddition  Most indirect evidence comes from the structural. A concise synthesis of rubioncolin b (i) is described, which features an unprecedented intramol. With the readily available vinyl. 1, 2 due to its high rates and efficiency, spocq chemistry has been successfully employed for. Ortho-Quinone Cycloaddition.
     
    
         
        From chemistrycommunity.nature.com 
                    Masking and targeted release of redoxcycling orthoquinones via a CC Ortho-Quinone Cycloaddition  With the readily available vinyl. Most indirect evidence comes from the structural. 1, 2 due to its high rates and efficiency, spocq chemistry has been successfully employed for. A concise synthesis of rubioncolin b (i) is described, which features an unprecedented intramol. Ortho-Quinone Cycloaddition.
     
    
         
        From pubs.rsc.org 
                    ortho Quinone methide ( o QM) a highly reactive, ephemeral and Ortho-Quinone Cycloaddition  With the readily available vinyl. A concise synthesis of rubioncolin b (i) is described, which features an unprecedented intramol. Most indirect evidence comes from the structural. 1, 2 due to its high rates and efficiency, spocq chemistry has been successfully employed for. Ortho-Quinone Cycloaddition.
     
    
         
        From www.mdpi.com 
                    Molecules Free FullText Organocatalytic Asymmetric [2 + 4 Ortho-Quinone Cycloaddition  Most indirect evidence comes from the structural. With the readily available vinyl. 1, 2 due to its high rates and efficiency, spocq chemistry has been successfully employed for. A concise synthesis of rubioncolin b (i) is described, which features an unprecedented intramol. Ortho-Quinone Cycloaddition.
     
    
         
        From pubs.acs.org 
                    ComputationGuided Development of the “Click” orthoQuinone Methide Ortho-Quinone Cycloaddition  1, 2 due to its high rates and efficiency, spocq chemistry has been successfully employed for. With the readily available vinyl. A concise synthesis of rubioncolin b (i) is described, which features an unprecedented intramol. Most indirect evidence comes from the structural. Ortho-Quinone Cycloaddition.
     
    
         
        From www.mdpi.com 
                    Molecules Free FullText Organocatalytic Asymmetric [2 + 4 Ortho-Quinone Cycloaddition  With the readily available vinyl. A concise synthesis of rubioncolin b (i) is described, which features an unprecedented intramol. Most indirect evidence comes from the structural. 1, 2 due to its high rates and efficiency, spocq chemistry has been successfully employed for. Ortho-Quinone Cycloaddition.
     
    
         
        From pubs.acs.org 
                    Organocatalytic Asymmetric Formal [4 + 2] Cycloaddition of in Situ Ortho-Quinone Cycloaddition  A concise synthesis of rubioncolin b (i) is described, which features an unprecedented intramol. 1, 2 due to its high rates and efficiency, spocq chemistry has been successfully employed for. With the readily available vinyl. Most indirect evidence comes from the structural. Ortho-Quinone Cycloaddition.
     
    
         
        From www.semanticscholar.org 
                    Figure 2 from Orthoquinone methides as reactive intermediates in Ortho-Quinone Cycloaddition  A concise synthesis of rubioncolin b (i) is described, which features an unprecedented intramol. Most indirect evidence comes from the structural. 1, 2 due to its high rates and efficiency, spocq chemistry has been successfully employed for. With the readily available vinyl. Ortho-Quinone Cycloaddition.
     
    
         
        From www.researchgate.net 
                    Basic reaction pattern of the orthoquinone methides (oQMs) depending Ortho-Quinone Cycloaddition  With the readily available vinyl. 1, 2 due to its high rates and efficiency, spocq chemistry has been successfully employed for. A concise synthesis of rubioncolin b (i) is described, which features an unprecedented intramol. Most indirect evidence comes from the structural. Ortho-Quinone Cycloaddition.
     
    
         
        From pubs.rsc.org 
                    Orthogonal, dual protein labelling by tandem cycloaddition of strained Ortho-Quinone Cycloaddition  1, 2 due to its high rates and efficiency, spocq chemistry has been successfully employed for. With the readily available vinyl. Most indirect evidence comes from the structural. A concise synthesis of rubioncolin b (i) is described, which features an unprecedented intramol. Ortho-Quinone Cycloaddition.
     
    
         
        From pubs-rsc-org-443.vpnm.ccmu.edu.cn 
                    A new cycloaddition profile for ortho quinone methides photoredox Ortho-Quinone Cycloaddition  A concise synthesis of rubioncolin b (i) is described, which features an unprecedented intramol. Most indirect evidence comes from the structural. 1, 2 due to its high rates and efficiency, spocq chemistry has been successfully employed for. With the readily available vinyl. Ortho-Quinone Cycloaddition.
     
    
         
        From pubs.acs.org 
                    Catalytic Asymmetric [4 + 2] Cycloaddition of orthoAlkenyl Naphthols Ortho-Quinone Cycloaddition  Most indirect evidence comes from the structural. 1, 2 due to its high rates and efficiency, spocq chemistry has been successfully employed for. With the readily available vinyl. A concise synthesis of rubioncolin b (i) is described, which features an unprecedented intramol. Ortho-Quinone Cycloaddition.
     
    
         
        From www.mdpi.com 
                    Molecules Free FullText Organocatalytic Asymmetric [2 + 4 Ortho-Quinone Cycloaddition  With the readily available vinyl. A concise synthesis of rubioncolin b (i) is described, which features an unprecedented intramol. Most indirect evidence comes from the structural. 1, 2 due to its high rates and efficiency, spocq chemistry has been successfully employed for. Ortho-Quinone Cycloaddition.
     
    
         
        From pubs.acs.org 
                    Cooperative Photoinduced/Brønsted Acid Catalyzed Cycloaddition of Ortho-Quinone Cycloaddition  With the readily available vinyl. 1, 2 due to its high rates and efficiency, spocq chemistry has been successfully employed for. A concise synthesis of rubioncolin b (i) is described, which features an unprecedented intramol. Most indirect evidence comes from the structural. Ortho-Quinone Cycloaddition.
     
    
         
        From pubs.acs.org 
                    Diastereodivergent Asymmetric [4 + 2] Cycloaddition of In Situ Ortho-Quinone Cycloaddition  A concise synthesis of rubioncolin b (i) is described, which features an unprecedented intramol. With the readily available vinyl. 1, 2 due to its high rates and efficiency, spocq chemistry has been successfully employed for. Most indirect evidence comes from the structural. Ortho-Quinone Cycloaddition.
     
    
         
        From www.researchgate.net 
                    Synthetic approaches to unsymmetrical triarylmethanes. o‐QM Ortho-Quinone Cycloaddition  A concise synthesis of rubioncolin b (i) is described, which features an unprecedented intramol. Most indirect evidence comes from the structural. 1, 2 due to its high rates and efficiency, spocq chemistry has been successfully employed for. With the readily available vinyl. Ortho-Quinone Cycloaddition.
     
    
         
        From pubs-rsc-org-443.vpnm.ccmu.edu.cn 
                    A new cycloaddition profile for ortho quinone methides photoredox Ortho-Quinone Cycloaddition  Most indirect evidence comes from the structural. With the readily available vinyl. 1, 2 due to its high rates and efficiency, spocq chemistry has been successfully employed for. A concise synthesis of rubioncolin b (i) is described, which features an unprecedented intramol. Ortho-Quinone Cycloaddition.
     
    
         
        From pubs.acs.org 
                    Lewis Acid Catalyzed [4 + 2] Cycloaddition of NTosylhydrazones with Ortho-Quinone Cycloaddition  With the readily available vinyl. 1, 2 due to its high rates and efficiency, spocq chemistry has been successfully employed for. A concise synthesis of rubioncolin b (i) is described, which features an unprecedented intramol. Most indirect evidence comes from the structural. Ortho-Quinone Cycloaddition.
     
    
         
        From www.mdpi.com 
                    Molecules Free FullText Organocatalytic Asymmetric [2 + 4 Ortho-Quinone Cycloaddition  A concise synthesis of rubioncolin b (i) is described, which features an unprecedented intramol. With the readily available vinyl. Most indirect evidence comes from the structural. 1, 2 due to its high rates and efficiency, spocq chemistry has been successfully employed for. Ortho-Quinone Cycloaddition.
     
    
         
        From pubs-rsc-org-443.vpnm.ccmu.edu.cn 
                    A new cycloaddition profile for ortho quinone methides photoredox Ortho-Quinone Cycloaddition  A concise synthesis of rubioncolin b (i) is described, which features an unprecedented intramol. 1, 2 due to its high rates and efficiency, spocq chemistry has been successfully employed for. With the readily available vinyl. Most indirect evidence comes from the structural. Ortho-Quinone Cycloaddition.
     
    
         
        From pubs.acs.org 
                    Access to ElectronDeficient 2,2Disubstituted Chromanes A Highly Ortho-Quinone Cycloaddition  1, 2 due to its high rates and efficiency, spocq chemistry has been successfully employed for. A concise synthesis of rubioncolin b (i) is described, which features an unprecedented intramol. Most indirect evidence comes from the structural. With the readily available vinyl. Ortho-Quinone Cycloaddition.
     
    
         
        From onlinelibrary.wiley.com 
                    Enantioselective Synthesis of Spiro Chroman‐Isoindolinones via Formal Ortho-Quinone Cycloaddition  With the readily available vinyl. Most indirect evidence comes from the structural. 1, 2 due to its high rates and efficiency, spocq chemistry has been successfully employed for. A concise synthesis of rubioncolin b (i) is described, which features an unprecedented intramol. Ortho-Quinone Cycloaddition.
     
    
         
        From www.semanticscholar.org 
                    Table 1 from Orthoquinone methides as reactive intermediates in Ortho-Quinone Cycloaddition  Most indirect evidence comes from the structural. With the readily available vinyl. 1, 2 due to its high rates and efficiency, spocq chemistry has been successfully employed for. A concise synthesis of rubioncolin b (i) is described, which features an unprecedented intramol. Ortho-Quinone Cycloaddition.
     
    
         
        From www.mdpi.com 
                    Molecules Free FullText A Novel Method to Construct 2 Ortho-Quinone Cycloaddition  A concise synthesis of rubioncolin b (i) is described, which features an unprecedented intramol. With the readily available vinyl. 1, 2 due to its high rates and efficiency, spocq chemistry has been successfully employed for. Most indirect evidence comes from the structural. Ortho-Quinone Cycloaddition.
     
    
         
        From www.semanticscholar.org 
                    [PDF] Organocatalytic Asymmetric [2 + 4] Cycloadditions of 3 Ortho-Quinone Cycloaddition  1, 2 due to its high rates and efficiency, spocq chemistry has been successfully employed for. With the readily available vinyl. A concise synthesis of rubioncolin b (i) is described, which features an unprecedented intramol. Most indirect evidence comes from the structural. Ortho-Quinone Cycloaddition.