Is A Holographic Will Valid In Virginia . Holographic wills do not have to be witnessed, but at least two people need to be able to say that the will and your signature are. A will wholly in the testator's handwriting is valid without further requirements, provided that the fact that a will is wholly in the. This type of will is valid. In virginia, there are specific legal requirements for a holographic will to be considered valid: A will wholly in the testator's handwriting is valid without further requirements, provided that the fact that a will is wholly in the. In order for it to be valid it has to have been written completely in the. Thankfully in virginia a holographic will is allowed, under certain conditions. In virginia, the person drafting a will is referred to as the “testator,” and he or she must meet all of the following requirements in order to execute a valid will: Virginia permits a “holographic will,” one that is handwritten in the testator’s handwriting. When creating the will, the testator must be at least.
from www.epgdlaw.com
A will wholly in the testator's handwriting is valid without further requirements, provided that the fact that a will is wholly in the. A will wholly in the testator's handwriting is valid without further requirements, provided that the fact that a will is wholly in the. When creating the will, the testator must be at least. Holographic wills do not have to be witnessed, but at least two people need to be able to say that the will and your signature are. Thankfully in virginia a holographic will is allowed, under certain conditions. Virginia permits a “holographic will,” one that is handwritten in the testator’s handwriting. In virginia, there are specific legal requirements for a holographic will to be considered valid: In virginia, the person drafting a will is referred to as the “testator,” and he or she must meet all of the following requirements in order to execute a valid will: This type of will is valid. In order for it to be valid it has to have been written completely in the.
What is a Holographic Will? EPGD Business Law
Is A Holographic Will Valid In Virginia When creating the will, the testator must be at least. Virginia permits a “holographic will,” one that is handwritten in the testator’s handwriting. A will wholly in the testator's handwriting is valid without further requirements, provided that the fact that a will is wholly in the. When creating the will, the testator must be at least. In virginia, the person drafting a will is referred to as the “testator,” and he or she must meet all of the following requirements in order to execute a valid will: In order for it to be valid it has to have been written completely in the. In virginia, there are specific legal requirements for a holographic will to be considered valid: Thankfully in virginia a holographic will is allowed, under certain conditions. A will wholly in the testator's handwriting is valid without further requirements, provided that the fact that a will is wholly in the. This type of will is valid. Holographic wills do not have to be witnessed, but at least two people need to be able to say that the will and your signature are.
From clocr.com
What Is A Holographic Will? Clocr Is A Holographic Will Valid In Virginia In virginia, there are specific legal requirements for a holographic will to be considered valid: A will wholly in the testator's handwriting is valid without further requirements, provided that the fact that a will is wholly in the. Thankfully in virginia a holographic will is allowed, under certain conditions. In virginia, the person drafting a will is referred to as. Is A Holographic Will Valid In Virginia.
From attorneysre.com
"What Is A Holographic Will' Legal Guide" Is A Holographic Will Valid In Virginia Holographic wills do not have to be witnessed, but at least two people need to be able to say that the will and your signature are. In virginia, there are specific legal requirements for a holographic will to be considered valid: Thankfully in virginia a holographic will is allowed, under certain conditions. In virginia, the person drafting a will is. Is A Holographic Will Valid In Virginia.
From schromenlaw.com
Holographic Wills Schromen Law LLC Is A Holographic Will Valid In Virginia A will wholly in the testator's handwriting is valid without further requirements, provided that the fact that a will is wholly in the. A will wholly in the testator's handwriting is valid without further requirements, provided that the fact that a will is wholly in the. Virginia permits a “holographic will,” one that is handwritten in the testator’s handwriting. Thankfully. Is A Holographic Will Valid In Virginia.
From probateattorneyvegas.com
Holographic Wills The Giuliani Law Firm Is A Holographic Will Valid In Virginia Virginia permits a “holographic will,” one that is handwritten in the testator’s handwriting. In order for it to be valid it has to have been written completely in the. Holographic wills do not have to be witnessed, but at least two people need to be able to say that the will and your signature are. This type of will is. Is A Holographic Will Valid In Virginia.
From www.alburolaw.com
NOTARIAL WILL VS. HOLOGRAPHIC WILL (Part II) ALBURO LAW Is A Holographic Will Valid In Virginia In virginia, there are specific legal requirements for a holographic will to be considered valid: In order for it to be valid it has to have been written completely in the. In virginia, the person drafting a will is referred to as the “testator,” and he or she must meet all of the following requirements in order to execute a. Is A Holographic Will Valid In Virginia.
From mccarthyakers.com
How to Create a Valid Virginia Holographic Will? McCarthy & Akers Is A Holographic Will Valid In Virginia Virginia permits a “holographic will,” one that is handwritten in the testator’s handwriting. In virginia, the person drafting a will is referred to as the “testator,” and he or she must meet all of the following requirements in order to execute a valid will: In order for it to be valid it has to have been written completely in the.. Is A Holographic Will Valid In Virginia.
From www.scribd.com
Last Holographic Will Is A Holographic Will Valid In Virginia Holographic wills do not have to be witnessed, but at least two people need to be able to say that the will and your signature are. In virginia, the person drafting a will is referred to as the “testator,” and he or she must meet all of the following requirements in order to execute a valid will: In virginia, there. Is A Holographic Will Valid In Virginia.
From www.obenshainlaw.com
Are Holographic Wills Allowed in Virginia? Is A Holographic Will Valid In Virginia In order for it to be valid it has to have been written completely in the. Holographic wills do not have to be witnessed, but at least two people need to be able to say that the will and your signature are. Virginia permits a “holographic will,” one that is handwritten in the testator’s handwriting. When creating the will, the. Is A Holographic Will Valid In Virginia.
From www.heritage.law
What Makes a Will Valid? St. Johns FL Estate Lawyer FL, NC, SC LAW FIRM Is A Holographic Will Valid In Virginia When creating the will, the testator must be at least. Holographic wills do not have to be witnessed, but at least two people need to be able to say that the will and your signature are. In virginia, the person drafting a will is referred to as the “testator,” and he or she must meet all of the following requirements. Is A Holographic Will Valid In Virginia.
From www.templateroller.com
Form CC1602 Fill Out, Sign Online and Download Fillable PDF Is A Holographic Will Valid In Virginia This type of will is valid. A will wholly in the testator's handwriting is valid without further requirements, provided that the fact that a will is wholly in the. A will wholly in the testator's handwriting is valid without further requirements, provided that the fact that a will is wholly in the. Holographic wills do not have to be witnessed,. Is A Holographic Will Valid In Virginia.
From www.scribd.com
Sample HOLOGRAPHIC WILL PDF Is A Holographic Will Valid In Virginia A will wholly in the testator's handwriting is valid without further requirements, provided that the fact that a will is wholly in the. A will wholly in the testator's handwriting is valid without further requirements, provided that the fact that a will is wholly in the. This type of will is valid. When creating the will, the testator must be. Is A Holographic Will Valid In Virginia.
From www.withevident.com
What is a holographic will? Is A Holographic Will Valid In Virginia In order for it to be valid it has to have been written completely in the. When creating the will, the testator must be at least. A will wholly in the testator's handwriting is valid without further requirements, provided that the fact that a will is wholly in the. In virginia, there are specific legal requirements for a holographic will. Is A Holographic Will Valid In Virginia.
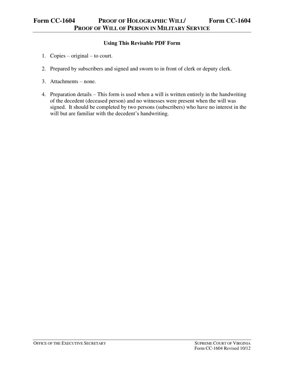
From www.templateroller.com
Form CC1604 Fill Out, Sign Online and Download Fillable PDF Is A Holographic Will Valid In Virginia A will wholly in the testator's handwriting is valid without further requirements, provided that the fact that a will is wholly in the. A will wholly in the testator's handwriting is valid without further requirements, provided that the fact that a will is wholly in the. Thankfully in virginia a holographic will is allowed, under certain conditions. In virginia, there. Is A Holographic Will Valid In Virginia.
From www.nerdwallet.com
Holographic Will How to Create a Legally Valid One NerdWallet Is A Holographic Will Valid In Virginia Virginia permits a “holographic will,” one that is handwritten in the testator’s handwriting. A will wholly in the testator's handwriting is valid without further requirements, provided that the fact that a will is wholly in the. In virginia, there are specific legal requirements for a holographic will to be considered valid: This type of will is valid. In order for. Is A Holographic Will Valid In Virginia.
From www.templateroller.com
Download Instructions for Form CC1602 Deposition of Witness to Prove Is A Holographic Will Valid In Virginia This type of will is valid. Holographic wills do not have to be witnessed, but at least two people need to be able to say that the will and your signature are. Thankfully in virginia a holographic will is allowed, under certain conditions. In virginia, there are specific legal requirements for a holographic will to be considered valid: A will. Is A Holographic Will Valid In Virginia.
From estateography.ghost.io
Making a Will in Virginia Requirements Is A Holographic Will Valid In Virginia Thankfully in virginia a holographic will is allowed, under certain conditions. This type of will is valid. Virginia permits a “holographic will,” one that is handwritten in the testator’s handwriting. A will wholly in the testator's handwriting is valid without further requirements, provided that the fact that a will is wholly in the. Holographic wills do not have to be. Is A Holographic Will Valid In Virginia.
From mccarthyakers.com
How to Create a Valid Virginia Holographic Will Is A Holographic Will Valid In Virginia In order for it to be valid it has to have been written completely in the. A will wholly in the testator's handwriting is valid without further requirements, provided that the fact that a will is wholly in the. Holographic wills do not have to be witnessed, but at least two people need to be able to say that the. Is A Holographic Will Valid In Virginia.
From www.scribd.com
Holographic Will Sample Is A Holographic Will Valid In Virginia A will wholly in the testator's handwriting is valid without further requirements, provided that the fact that a will is wholly in the. A will wholly in the testator's handwriting is valid without further requirements, provided that the fact that a will is wholly in the. Virginia permits a “holographic will,” one that is handwritten in the testator’s handwriting. In. Is A Holographic Will Valid In Virginia.
From www.youtube.com
How To Quickly Check If A Handwritten Will Is Valid (Holographic Will Is A Holographic Will Valid In Virginia A will wholly in the testator's handwriting is valid without further requirements, provided that the fact that a will is wholly in the. Thankfully in virginia a holographic will is allowed, under certain conditions. This type of will is valid. A will wholly in the testator's handwriting is valid without further requirements, provided that the fact that a will is. Is A Holographic Will Valid In Virginia.
From www.epgdlaw.com
What is a Holographic Will? EPGD Business Law Is A Holographic Will Valid In Virginia A will wholly in the testator's handwriting is valid without further requirements, provided that the fact that a will is wholly in the. In virginia, there are specific legal requirements for a holographic will to be considered valid: In virginia, the person drafting a will is referred to as the “testator,” and he or she must meet all of the. Is A Holographic Will Valid In Virginia.
From www.carboncollective.co
Holographic Will What It Is & States That Recognize It Is A Holographic Will Valid In Virginia This type of will is valid. Virginia permits a “holographic will,” one that is handwritten in the testator’s handwriting. In order for it to be valid it has to have been written completely in the. Holographic wills do not have to be witnessed, but at least two people need to be able to say that the will and your signature. Is A Holographic Will Valid In Virginia.
From www.uslegalforms.com
Virginia Deposition of Witness to Prove Holographic Will Holographic Is A Holographic Will Valid In Virginia Thankfully in virginia a holographic will is allowed, under certain conditions. A will wholly in the testator's handwriting is valid without further requirements, provided that the fact that a will is wholly in the. Virginia permits a “holographic will,” one that is handwritten in the testator’s handwriting. In virginia, the person drafting a will is referred to as the “testator,”. Is A Holographic Will Valid In Virginia.
From www.carboncollective.co
Holographic Will What It Is & States That Recognize It Is A Holographic Will Valid In Virginia Virginia permits a “holographic will,” one that is handwritten in the testator’s handwriting. A will wholly in the testator's handwriting is valid without further requirements, provided that the fact that a will is wholly in the. This type of will is valid. In virginia, there are specific legal requirements for a holographic will to be considered valid: In order for. Is A Holographic Will Valid In Virginia.
From rohstoff-etf.com
What Is a Holographic Will? Is A Holographic Will Valid In Virginia In virginia, the person drafting a will is referred to as the “testator,” and he or she must meet all of the following requirements in order to execute a valid will: A will wholly in the testator's handwriting is valid without further requirements, provided that the fact that a will is wholly in the. Thankfully in virginia a holographic will. Is A Holographic Will Valid In Virginia.
From www.uslegalwills.com
The holographic Will Is A Holographic Will Valid In Virginia A will wholly in the testator's handwriting is valid without further requirements, provided that the fact that a will is wholly in the. A will wholly in the testator's handwriting is valid without further requirements, provided that the fact that a will is wholly in the. In virginia, the person drafting a will is referred to as the “testator,” and. Is A Holographic Will Valid In Virginia.
From www.scribd.com
10 Formal Requirements for Holographic Will Will And Testament Mandamus Is A Holographic Will Valid In Virginia Thankfully in virginia a holographic will is allowed, under certain conditions. A will wholly in the testator's handwriting is valid without further requirements, provided that the fact that a will is wholly in the. In virginia, there are specific legal requirements for a holographic will to be considered valid: This type of will is valid. When creating the will, the. Is A Holographic Will Valid In Virginia.
From onlinewillmakers.com
What is a Holographic Will? Definitions and Samples. Is A Holographic Will Valid In Virginia In order for it to be valid it has to have been written completely in the. A will wholly in the testator's handwriting is valid without further requirements, provided that the fact that a will is wholly in the. In virginia, there are specific legal requirements for a holographic will to be considered valid: This type of will is valid.. Is A Holographic Will Valid In Virginia.
From hub.estate.studio
Holographic Will Secure Your Legacy Efficiently Is A Holographic Will Valid In Virginia In virginia, the person drafting a will is referred to as the “testator,” and he or she must meet all of the following requirements in order to execute a valid will: Holographic wills do not have to be witnessed, but at least two people need to be able to say that the will and your signature are. In order for. Is A Holographic Will Valid In Virginia.
From www.obenshainlaw.com
Are Holographic Wills Allowed in Virginia? Is A Holographic Will Valid In Virginia In virginia, the person drafting a will is referred to as the “testator,” and he or she must meet all of the following requirements in order to execute a valid will: In order for it to be valid it has to have been written completely in the. When creating the will, the testator must be at least. A will wholly. Is A Holographic Will Valid In Virginia.
From www.templateroller.com
Download Instructions for Form CC1604 Proof of Holographic Will/Proof Is A Holographic Will Valid In Virginia This type of will is valid. Holographic wills do not have to be witnessed, but at least two people need to be able to say that the will and your signature are. Virginia permits a “holographic will,” one that is handwritten in the testator’s handwriting. In order for it to be valid it has to have been written completely in. Is A Holographic Will Valid In Virginia.
From www.templateroller.com
Download Instructions for Form CC1604 Proof of Holographic Will/Proof Is A Holographic Will Valid In Virginia A will wholly in the testator's handwriting is valid without further requirements, provided that the fact that a will is wholly in the. Virginia permits a “holographic will,” one that is handwritten in the testator’s handwriting. Holographic wills do not have to be witnessed, but at least two people need to be able to say that the will and your. Is A Holographic Will Valid In Virginia.
From digitalwealthmedia.com
What is a Holographic Will? DigitalWealthMedia Is A Holographic Will Valid In Virginia Virginia permits a “holographic will,” one that is handwritten in the testator’s handwriting. A will wholly in the testator's handwriting is valid without further requirements, provided that the fact that a will is wholly in the. Holographic wills do not have to be witnessed, but at least two people need to be able to say that the will and your. Is A Holographic Will Valid In Virginia.
From www.youtube.com
Holographic Wills Are handwritten wills valid? YouTube Is A Holographic Will Valid In Virginia In virginia, the person drafting a will is referred to as the “testator,” and he or she must meet all of the following requirements in order to execute a valid will: In virginia, there are specific legal requirements for a holographic will to be considered valid: In order for it to be valid it has to have been written completely. Is A Holographic Will Valid In Virginia.
From probateattorneyvegas.com
Holographic Wills The Giuliani Law Firm Is A Holographic Will Valid In Virginia Thankfully in virginia a holographic will is allowed, under certain conditions. In virginia, the person drafting a will is referred to as the “testator,” and he or she must meet all of the following requirements in order to execute a valid will: In virginia, there are specific legal requirements for a holographic will to be considered valid: In order for. Is A Holographic Will Valid In Virginia.
From www.uslegalforms.com
Virginia Deposition of Witness to Prove Holographic Will Holographic Is A Holographic Will Valid In Virginia Thankfully in virginia a holographic will is allowed, under certain conditions. In order for it to be valid it has to have been written completely in the. Virginia permits a “holographic will,” one that is handwritten in the testator’s handwriting. When creating the will, the testator must be at least. Holographic wills do not have to be witnessed, but at. Is A Holographic Will Valid In Virginia.