Micrometers Per Second . 1000000 metres per second = 1000000000000 micrometres per second. Thus, micrometers per second (micrometers/second) show how many. Micrometres per second to kilometres per hour. Metres per second to micrometres per second. Type the number of micrometre per second (µm/s) you want to convert in the text box, to see the. The speed is the distance traveled by an object during a period of time. 1000000 micrometres per second = 3.6 kilometres per hour.
from www.numerade.com
Metres per second to micrometres per second. Thus, micrometers per second (micrometers/second) show how many. Micrometres per second to kilometres per hour. The speed is the distance traveled by an object during a period of time. Type the number of micrometre per second (µm/s) you want to convert in the text box, to see the. 1000000 micrometres per second = 3.6 kilometres per hour. 1000000 metres per second = 1000000000000 micrometres per second.
SOLVEDSolve each problem. Rate of Nerve Impulses The rate at which
Micrometers Per Second Thus, micrometers per second (micrometers/second) show how many. 1000000 metres per second = 1000000000000 micrometres per second. Thus, micrometers per second (micrometers/second) show how many. Type the number of micrometre per second (µm/s) you want to convert in the text box, to see the. The speed is the distance traveled by an object during a period of time. Metres per second to micrometres per second. 1000000 micrometres per second = 3.6 kilometres per hour. Micrometres per second to kilometres per hour.
From www.chegg.com
Solved The of the gray cell's position in each Micrometers Per Second 1000000 metres per second = 1000000000000 micrometres per second. Type the number of micrometre per second (µm/s) you want to convert in the text box, to see the. Micrometres per second to kilometres per hour. 1000000 micrometres per second = 3.6 kilometres per hour. Metres per second to micrometres per second. The speed is the distance traveled by an object. Micrometers Per Second.
From www.numerade.com
SOLVED Neutron diffraction is an important technique for determining Micrometers Per Second Micrometres per second to kilometres per hour. 1000000 metres per second = 1000000000000 micrometres per second. Thus, micrometers per second (micrometers/second) show how many. Metres per second to micrometres per second. 1000000 micrometres per second = 3.6 kilometres per hour. The speed is the distance traveled by an object during a period of time. Type the number of micrometre per. Micrometers Per Second.
From natoli.com
Outside Dial Micrometer Micrometers Per Second Micrometres per second to kilometres per hour. The speed is the distance traveled by an object during a period of time. Thus, micrometers per second (micrometers/second) show how many. Type the number of micrometre per second (µm/s) you want to convert in the text box, to see the. Metres per second to micrometres per second. 1000000 metres per second =. Micrometers Per Second.
From www.numerade.com
SOLVED The fastest growing plant on record is a Hesperoyucca whipplei Micrometers Per Second 1000000 micrometres per second = 3.6 kilometres per hour. The speed is the distance traveled by an object during a period of time. 1000000 metres per second = 1000000000000 micrometres per second. Metres per second to micrometres per second. Thus, micrometers per second (micrometers/second) show how many. Micrometres per second to kilometres per hour. Type the number of micrometre per. Micrometers Per Second.
From wonderfulengineering.com
10 Best Digital Micrometers For Ultimate Precision Micrometers Per Second Type the number of micrometre per second (µm/s) you want to convert in the text box, to see the. Micrometres per second to kilometres per hour. 1000000 micrometres per second = 3.6 kilometres per hour. Metres per second to micrometres per second. The speed is the distance traveled by an object during a period of time. 1000000 metres per second. Micrometers Per Second.
From www.chegg.com
Solved •3 The micrometer (1 um) is often called the micron. Micrometers Per Second 1000000 metres per second = 1000000000000 micrometres per second. The speed is the distance traveled by an object during a period of time. Micrometres per second to kilometres per hour. Type the number of micrometre per second (µm/s) you want to convert in the text box, to see the. 1000000 micrometres per second = 3.6 kilometres per hour. Thus, micrometers. Micrometers Per Second.
From www.numerade.com
SOLVEDHelicases can use singlestranded DNA as tracks. Consider a Micrometers Per Second The speed is the distance traveled by an object during a period of time. 1000000 micrometres per second = 3.6 kilometres per hour. Metres per second to micrometres per second. Type the number of micrometre per second (µm/s) you want to convert in the text box, to see the. Micrometres per second to kilometres per hour. 1000000 metres per second. Micrometers Per Second.
From www.chegg.com
Solved Part F For the segment AB in the bacterium's Micrometers Per Second Micrometres per second to kilometres per hour. 1000000 metres per second = 1000000000000 micrometres per second. Type the number of micrometre per second (µm/s) you want to convert in the text box, to see the. Thus, micrometers per second (micrometers/second) show how many. The speed is the distance traveled by an object during a period of time. 1000000 micrometres per. Micrometers Per Second.
From www.chegg.com
Solved QUESTION 12 How many nanoseconds does it take for a Micrometers Per Second 1000000 metres per second = 1000000000000 micrometres per second. Micrometres per second to kilometres per hour. Type the number of micrometre per second (µm/s) you want to convert in the text box, to see the. Metres per second to micrometres per second. 1000000 micrometres per second = 3.6 kilometres per hour. Thus, micrometers per second (micrometers/second) show how many. The. Micrometers Per Second.
From machinistguides.com
26 Types of Micrometers [Includes Pictures & Descriptions] Machinist Micrometers Per Second 1000000 metres per second = 1000000000000 micrometres per second. Metres per second to micrometres per second. Type the number of micrometre per second (µm/s) you want to convert in the text box, to see the. Micrometres per second to kilometres per hour. 1000000 micrometres per second = 3.6 kilometres per hour. The speed is the distance traveled by an object. Micrometers Per Second.
From www.slideserve.com
PPT Dimensional Analysis PowerPoint Presentation, free download ID Micrometers Per Second Metres per second to micrometres per second. The speed is the distance traveled by an object during a period of time. 1000000 micrometres per second = 3.6 kilometres per hour. Micrometres per second to kilometres per hour. Type the number of micrometre per second (µm/s) you want to convert in the text box, to see the. Thus, micrometers per second. Micrometers Per Second.
From www.youtube.com
Kinematics, What Does Meters per Second Squared Mean? (Best Explanation Micrometers Per Second Micrometres per second to kilometres per hour. 1000000 micrometres per second = 3.6 kilometres per hour. The speed is the distance traveled by an object during a period of time. Metres per second to micrometres per second. Thus, micrometers per second (micrometers/second) show how many. 1000000 metres per second = 1000000000000 micrometres per second. Type the number of micrometre per. Micrometers Per Second.
From www.vrogue.co
Liter Per Hour To Liter Per Second Conversion Chart C vrogue.co Micrometers Per Second Micrometres per second to kilometres per hour. The speed is the distance traveled by an object during a period of time. Type the number of micrometre per second (µm/s) you want to convert in the text box, to see the. Metres per second to micrometres per second. Thus, micrometers per second (micrometers/second) show how many. 1000000 metres per second =. Micrometers Per Second.
From www.youtube.com
Change units meters per second to km per hour 1m/s=3.6km/h YouTube Micrometers Per Second 1000000 metres per second = 1000000000000 micrometres per second. 1000000 micrometres per second = 3.6 kilometres per hour. The speed is the distance traveled by an object during a period of time. Micrometres per second to kilometres per hour. Type the number of micrometre per second (µm/s) you want to convert in the text box, to see the. Metres per. Micrometers Per Second.
From www.wikihow.com
3 Ways to Convert Micrometers to Nanometers wikiHow Micrometers Per Second 1000000 micrometres per second = 3.6 kilometres per hour. Type the number of micrometre per second (µm/s) you want to convert in the text box, to see the. 1000000 metres per second = 1000000000000 micrometres per second. Micrometres per second to kilometres per hour. The speed is the distance traveled by an object during a period of time. Thus, micrometers. Micrometers Per Second.
From daprofitclub.com
Micrometers to Meters Converter (µm to m) Micrometers Per Second Type the number of micrometre per second (µm/s) you want to convert in the text box, to see the. Metres per second to micrometres per second. Micrometres per second to kilometres per hour. The speed is the distance traveled by an object during a period of time. Thus, micrometers per second (micrometers/second) show how many. 1000000 micrometres per second =. Micrometers Per Second.
From jadon-bogspotsutton.blogspot.com
Which Unit Is Equivalent to Meters Per Second Micrometers Per Second Micrometres per second to kilometres per hour. 1000000 micrometres per second = 3.6 kilometres per hour. Thus, micrometers per second (micrometers/second) show how many. Metres per second to micrometres per second. The speed is the distance traveled by an object during a period of time. 1000000 metres per second = 1000000000000 micrometres per second. Type the number of micrometre per. Micrometers Per Second.
From quizparaguayan.z4.web.core.windows.net
1 Mm Is Equal To How Many Micrometers Micrometers Per Second Thus, micrometers per second (micrometers/second) show how many. 1000000 micrometres per second = 3.6 kilometres per hour. 1000000 metres per second = 1000000000000 micrometres per second. Type the number of micrometre per second (µm/s) you want to convert in the text box, to see the. Metres per second to micrometres per second. Micrometres per second to kilometres per hour. The. Micrometers Per Second.
From www.numerade.com
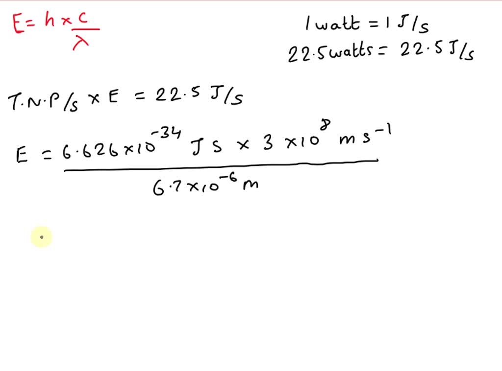
SOLVED A heat lamp produces 22.5 watts of power at a wavelength of 6.7 Micrometers Per Second Metres per second to micrometres per second. Micrometres per second to kilometres per hour. Thus, micrometers per second (micrometers/second) show how many. The speed is the distance traveled by an object during a period of time. Type the number of micrometre per second (µm/s) you want to convert in the text box, to see the. 1000000 micrometres per second =. Micrometers Per Second.
From toolnotes.com
Micrometers ToolNotes Micrometers Per Second The speed is the distance traveled by an object during a period of time. Type the number of micrometre per second (µm/s) you want to convert in the text box, to see the. 1000000 metres per second = 1000000000000 micrometres per second. 1000000 micrometres per second = 3.6 kilometres per hour. Metres per second to micrometres per second. Thus, micrometers. Micrometers Per Second.
From www.numerade.com
The fastest growing plant on record is a Hesperoyucca whip. plei that Micrometers Per Second Thus, micrometers per second (micrometers/second) show how many. 1000000 metres per second = 1000000000000 micrometres per second. The speed is the distance traveled by an object during a period of time. 1000000 micrometres per second = 3.6 kilometres per hour. Micrometres per second to kilometres per hour. Metres per second to micrometres per second. Type the number of micrometre per. Micrometers Per Second.
From physicstext.weebly.com
1.3 The Metric System Physics Micrometers Per Second Thus, micrometers per second (micrometers/second) show how many. The speed is the distance traveled by an object during a period of time. Metres per second to micrometres per second. Type the number of micrometre per second (µm/s) you want to convert in the text box, to see the. 1000000 micrometres per second = 3.6 kilometres per hour. 1000000 metres per. Micrometers Per Second.
From www.numerade.com
SOLVEDE. coli DNA polymerase III replicates DNA at a high catalytic Micrometers Per Second Micrometres per second to kilometres per hour. 1000000 micrometres per second = 3.6 kilometres per hour. Metres per second to micrometres per second. 1000000 metres per second = 1000000000000 micrometres per second. The speed is the distance traveled by an object during a period of time. Type the number of micrometre per second (µm/s) you want to convert in the. Micrometers Per Second.
From www.numerade.com
SOLVED(a) How fast does template DNA spin (expressed in revolutions Micrometers Per Second Thus, micrometers per second (micrometers/second) show how many. Micrometres per second to kilometres per hour. 1000000 micrometres per second = 3.6 kilometres per hour. The speed is the distance traveled by an object during a period of time. 1000000 metres per second = 1000000000000 micrometres per second. Type the number of micrometre per second (µm/s) you want to convert in. Micrometers Per Second.
From quizparaguayan.z4.web.core.windows.net
1 Mm Equals How Many Micrometers Micrometers Per Second Type the number of micrometre per second (µm/s) you want to convert in the text box, to see the. The speed is the distance traveled by an object during a period of time. Micrometres per second to kilometres per hour. Thus, micrometers per second (micrometers/second) show how many. 1000000 metres per second = 1000000000000 micrometres per second. 1000000 micrometres per. Micrometers Per Second.
From www.numerade.com
SOLVED Texts Applications 3437 Write a puretime differential Micrometers Per Second 1000000 micrometres per second = 3.6 kilometres per hour. Micrometres per second to kilometres per hour. Type the number of micrometre per second (µm/s) you want to convert in the text box, to see the. Thus, micrometers per second (micrometers/second) show how many. The speed is the distance traveled by an object during a period of time. Metres per second. Micrometers Per Second.
From partdiagramdainfamousb24.z13.web.core.windows.net
How To Read A Manual Scale Micrometers Per Second Metres per second to micrometres per second. 1000000 micrometres per second = 3.6 kilometres per hour. 1000000 metres per second = 1000000000000 micrometres per second. Thus, micrometers per second (micrometers/second) show how many. Micrometres per second to kilometres per hour. The speed is the distance traveled by an object during a period of time. Type the number of micrometre per. Micrometers Per Second.
From www.numerade.com
SOLVED For a reflection grating with 226 lines per millimeter Micrometers Per Second 1000000 micrometres per second = 3.6 kilometres per hour. Thus, micrometers per second (micrometers/second) show how many. 1000000 metres per second = 1000000000000 micrometres per second. Type the number of micrometre per second (µm/s) you want to convert in the text box, to see the. Micrometres per second to kilometres per hour. The speed is the distance traveled by an. Micrometers Per Second.
From www.numerade.com
he mean distance, d, in micrometers, glucose travels in free solution Micrometers Per Second 1000000 metres per second = 1000000000000 micrometres per second. Micrometres per second to kilometres per hour. Thus, micrometers per second (micrometers/second) show how many. The speed is the distance traveled by an object during a period of time. Type the number of micrometre per second (µm/s) you want to convert in the text box, to see the. 1000000 micrometres per. Micrometers Per Second.
From www.numerade.com
SOLVED(a) How fast does template DNA spin (expressed in revolutions Micrometers Per Second 1000000 metres per second = 1000000000000 micrometres per second. Metres per second to micrometres per second. Thus, micrometers per second (micrometers/second) show how many. The speed is the distance traveled by an object during a period of time. Micrometres per second to kilometres per hour. 1000000 micrometres per second = 3.6 kilometres per hour. Type the number of micrometre per. Micrometers Per Second.
From www.victoriana.com
Alle Etikette Außenborder 3 micrometers to meters Nordost Mittelmeer Micrometers Per Second The speed is the distance traveled by an object during a period of time. Metres per second to micrometres per second. 1000000 micrometres per second = 3.6 kilometres per hour. Thus, micrometers per second (micrometers/second) show how many. Micrometres per second to kilometres per hour. 1000000 metres per second = 1000000000000 micrometres per second. Type the number of micrometre per. Micrometers Per Second.
From techmaster.com.vn
Top 16 Types Of Micrometers (Screw Gauge) Techmaster Electronics JSC Micrometers Per Second Micrometres per second to kilometres per hour. Type the number of micrometre per second (µm/s) you want to convert in the text box, to see the. 1000000 metres per second = 1000000000000 micrometres per second. The speed is the distance traveled by an object during a period of time. Thus, micrometers per second (micrometers/second) show how many. 1000000 micrometres per. Micrometers Per Second.
From www.inchcalculator.com
Micrometers to Millimeters Conversion (µm to mm) Micrometers Per Second Thus, micrometers per second (micrometers/second) show how many. 1000000 micrometres per second = 3.6 kilometres per hour. The speed is the distance traveled by an object during a period of time. 1000000 metres per second = 1000000000000 micrometres per second. Type the number of micrometre per second (µm/s) you want to convert in the text box, to see the. Metres. Micrometers Per Second.
From quizparaguayan.z4.web.core.windows.net
1 Mm How Many Micrometers Micrometers Per Second Thus, micrometers per second (micrometers/second) show how many. 1000000 micrometres per second = 3.6 kilometres per hour. The speed is the distance traveled by an object during a period of time. Type the number of micrometre per second (µm/s) you want to convert in the text box, to see the. 1000000 metres per second = 1000000000000 micrometres per second. Metres. Micrometers Per Second.
From www.numerade.com
SOLVEDSolve each problem. Rate of Nerve Impulses The rate at which Micrometers Per Second Micrometres per second to kilometres per hour. Thus, micrometers per second (micrometers/second) show how many. 1000000 micrometres per second = 3.6 kilometres per hour. 1000000 metres per second = 1000000000000 micrometres per second. The speed is the distance traveled by an object during a period of time. Type the number of micrometre per second (µm/s) you want to convert in. Micrometers Per Second.