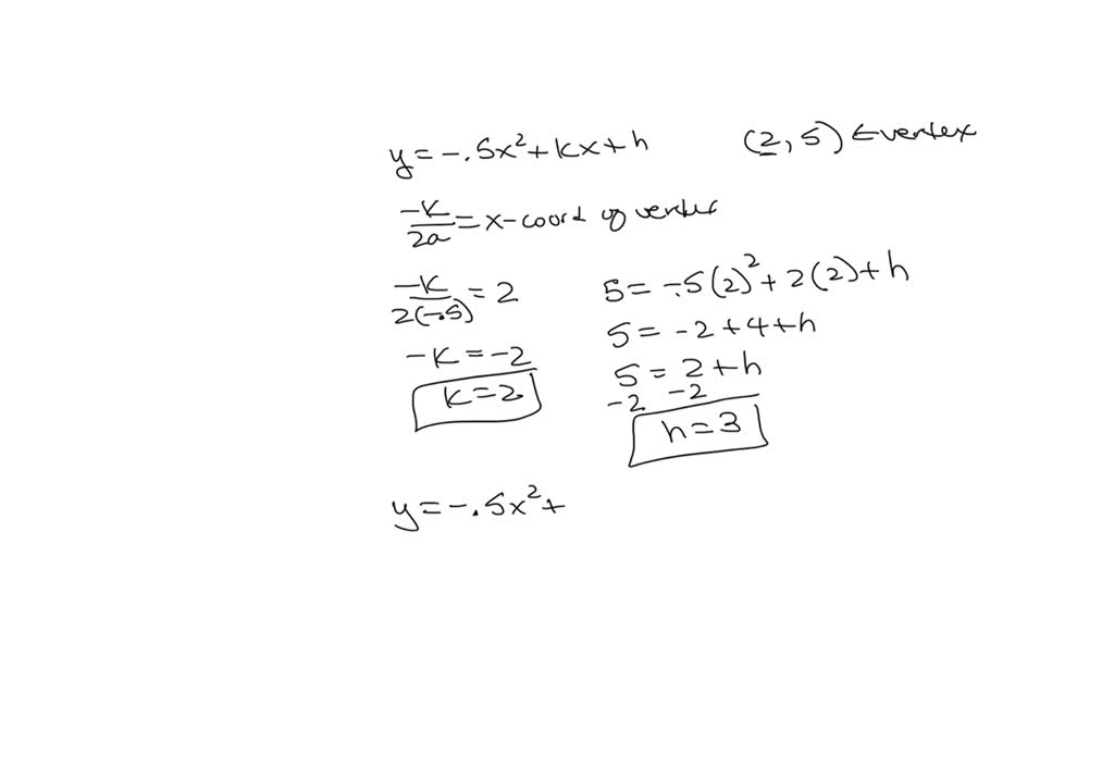
Amy Throws A Ball So That When It Is At Its Highest . Amy throws a ball so that when it is at its highest point, it passes through a hoop. The path of the ball is as it passes through a hoop, modeled by the. Amy throws a ball so that when it is at its highest point, it passes through the. Click here 👆 to get an answer to your question [3] [3] x=2 and y=5. Solution for amy throws ball so that when it is at its highest point, it passes through the centre of a hoop. I have a path of a ball that i'm going to rewrite in standard form, and i'm told that 25 is my point. The path of the ball is modelled by the equation 1 2. Amy throws a ball so that when it is at its highest point, it passes through a hoop. The path of the ball is modelled by the equation. The path of the ball is. The path of the ball is modelled by the equation y =h. Solution for amy throws a ball so high when it is at its highest point. Amy throws a ball so that when it is at its highest point, it passes through a hoop. I'm going to use the fact that i.
from www.gauthmath.com
Amy throws a ball so that when it is at its highest point, it passes through the. I have a path of a ball that i'm going to rewrite in standard form, and i'm told that 25 is my point. The path of the ball is modelled by the equation y =h. I'm going to use the fact that i. Amy throws a ball so that when it is at its highest point, it passes through a hoop. Solution for amy throws ball so that when it is at its highest point, it passes through the centre of a hoop. Solution for amy throws a ball so high when it is at its highest point. The path of the ball is modelled by the equation. The path of the ball is as it passes through a hoop, modeled by the. Amy throws a ball so that when it is at its highest point, it passes through a hoop.
Rita throws a ball from a window. The relationship between x, the ball's distance in feet [Physics]
Amy Throws A Ball So That When It Is At Its Highest Amy throws a ball so that when it is at its highest point, it passes through a hoop. Solution for amy throws a ball so high when it is at its highest point. I'm going to use the fact that i. The path of the ball is as it passes through a hoop, modeled by the. Amy throws a ball so that when it is at its highest point, it passes through a hoop. The path of the ball is modelled by the equation y =h. Amy throws a ball so that when it is at its highest point, it passes through the. The path of the ball is modelled by the equation 1 2. Amy throws a ball so that when it is at its highest point, it passes through a hoop. I have a path of a ball that i'm going to rewrite in standard form, and i'm told that 25 is my point. The path of the ball is modelled by the equation. Solution for amy throws ball so that when it is at its highest point, it passes through the centre of a hoop. Amy throws a ball so that when it is at its highest point, it passes through a hoop. The path of the ball is. Click here 👆 to get an answer to your question [3] [3] x=2 and y=5.
From www.chegg.com
Solved A ball is thrown upward. What is its maximum height? Amy Throws A Ball So That When It Is At Its Highest The path of the ball is as it passes through a hoop, modeled by the. Amy throws a ball so that when it is at its highest point, it passes through the. The path of the ball is modelled by the equation. Solution for amy throws a ball so high when it is at its highest point. Click here 👆. Amy Throws A Ball So That When It Is At Its Highest.
From clonduffgac.net
AMY THROWS THE PUNCHES FOR PI Clonduff GAC Amy Throws A Ball So That When It Is At Its Highest Amy throws a ball so that when it is at its highest point, it passes through a hoop. The path of the ball is modelled by the equation y =h. The path of the ball is modelled by the equation 1 2. I have a path of a ball that i'm going to rewrite in standard form, and i'm told. Amy Throws A Ball So That When It Is At Its Highest.
From www.numerade.com
SOLVED Amy throws a ball so that when it is at its highest point, it passes through a hoop. The Amy Throws A Ball So That When It Is At Its Highest The path of the ball is. Solution for amy throws ball so that when it is at its highest point, it passes through the centre of a hoop. The path of the ball is modelled by the equation. Amy throws a ball so that when it is at its highest point, it passes through a hoop. The path of the. Amy Throws A Ball So That When It Is At Its Highest.
From www.numerade.com
SOLVED A player throws a ball upwards with an initial speed of 29.4 m/s. What are the velocity Amy Throws A Ball So That When It Is At Its Highest The path of the ball is modelled by the equation. I have a path of a ball that i'm going to rewrite in standard form, and i'm told that 25 is my point. Amy throws a ball so that when it is at its highest point, it passes through the. I'm going to use the fact that i. The path. Amy Throws A Ball So That When It Is At Its Highest.
From byjus.com
A juggler throws ball into air. He throws one whenever the previous one is at its highest point Amy Throws A Ball So That When It Is At Its Highest Amy throws a ball so that when it is at its highest point, it passes through the. Amy throws a ball so that when it is at its highest point, it passes through a hoop. Amy throws a ball so that when it is at its highest point, it passes through a hoop. Amy throws a ball so that when. Amy Throws A Ball So That When It Is At Its Highest.
From www.chegg.com
Solved 4) At a given instant the football player at A throws Amy Throws A Ball So That When It Is At Its Highest I'm going to use the fact that i. Amy throws a ball so that when it is at its highest point, it passes through a hoop. The path of the ball is. Amy throws a ball so that when it is at its highest point, it passes through a hoop. The path of the ball is modelled by the equation. Amy Throws A Ball So That When It Is At Its Highest.
From www.gauthmath.com
Rita throws a ball from a window. The relationship between x, the ball's distance in feet [Physics] Amy Throws A Ball So That When It Is At Its Highest Amy throws a ball so that when it is at its highest point, it passes through the. The path of the ball is modelled by the equation y =h. The path of the ball is modelled by the equation. The path of the ball is as it passes through a hoop, modeled by the. I have a path of a. Amy Throws A Ball So That When It Is At Its Highest.
From www.toppr.com
T A Juggler throws balls into air. He throws one ball whenever the previous one is its highest Amy Throws A Ball So That When It Is At Its Highest The path of the ball is modelled by the equation y =h. Amy throws a ball so that when it is at its highest point, it passes through the. I'm going to use the fact that i. The path of the ball is modelled by the equation. Solution for amy throws a ball so high when it is at its. Amy Throws A Ball So That When It Is At Its Highest.
From www.chegg.com
Solved Amy throws a tennis ball straight up in the air at Amy Throws A Ball So That When It Is At Its Highest The path of the ball is as it passes through a hoop, modeled by the. The path of the ball is modelled by the equation y =h. Amy throws a ball so that when it is at its highest point, it passes through a hoop. Amy throws a ball so that when it is at its highest point, it passes. Amy Throws A Ball So That When It Is At Its Highest.
From www.chegg.com
Solved A girl throws a ball upward with a velocity of 15 Amy Throws A Ball So That When It Is At Its Highest I'm going to use the fact that i. Click here 👆 to get an answer to your question [3] [3] x=2 and y=5. Amy throws a ball so that when it is at its highest point, it passes through the. The path of the ball is modelled by the equation. I have a path of a ball that i'm going. Amy Throws A Ball So That When It Is At Its Highest.
From www.chegg.com
Solved A basketball player throws a ball with an initial Amy Throws A Ball So That When It Is At Its Highest The path of the ball is modelled by the equation 1 2. Click here 👆 to get an answer to your question [3] [3] x=2 and y=5. The path of the ball is. Amy throws a ball so that when it is at its highest point, it passes through a hoop. The path of the ball is modelled by the. Amy Throws A Ball So That When It Is At Its Highest.
From www.theglobeandmail.com
Heating Oil and Palladium are at its lowest hedge fund position level over the past 52 week Amy Throws A Ball So That When It Is At Its Highest Amy throws a ball so that when it is at its highest point, it passes through a hoop. The path of the ball is as it passes through a hoop, modeled by the. I have a path of a ball that i'm going to rewrite in standard form, and i'm told that 25 is my point. The path of the. Amy Throws A Ball So That When It Is At Its Highest.
From www.johnsonreed.co.uk
Business confidence at its highest in January for nearly a decade! Johnson Reed Amy Throws A Ball So That When It Is At Its Highest The path of the ball is modelled by the equation. Solution for amy throws ball so that when it is at its highest point, it passes through the centre of a hoop. I have a path of a ball that i'm going to rewrite in standard form, and i'm told that 25 is my point. The path of the ball. Amy Throws A Ball So That When It Is At Its Highest.
From www.chegg.com
Solved A girl throws a ball at an inclined wall from a Amy Throws A Ball So That When It Is At Its Highest Solution for amy throws a ball so high when it is at its highest point. Amy throws a ball so that when it is at its highest point, it passes through a hoop. Amy throws a ball so that when it is at its highest point, it passes through a hoop. I'm going to use the fact that i. The. Amy Throws A Ball So That When It Is At Its Highest.
From www.teachoo.com
NCERT Q18 A ball thrown up vertically returns to the thrower after 6 Amy Throws A Ball So That When It Is At Its Highest Solution for amy throws a ball so high when it is at its highest point. I have a path of a ball that i'm going to rewrite in standard form, and i'm told that 25 is my point. I'm going to use the fact that i. The path of the ball is. The path of the ball is modelled by. Amy Throws A Ball So That When It Is At Its Highest.
From www.toppr.com
A particle is thrown vertically up with speed u so that distance covered in last second of Amy Throws A Ball So That When It Is At Its Highest The path of the ball is modelled by the equation. The path of the ball is modelled by the equation 1 2. Click here 👆 to get an answer to your question [3] [3] x=2 and y=5. Solution for amy throws a ball so high when it is at its highest point. Amy throws a ball so that when it. Amy Throws A Ball So That When It Is At Its Highest.
From www.dreamstime.com
Professional Asian Handball Player in a Red Shirt Throws a Ball Jumping Stock Vector Amy Throws A Ball So That When It Is At Its Highest Amy throws a ball so that when it is at its highest point, it passes through a hoop. Amy throws a ball so that when it is at its highest point, it passes through a hoop. Solution for amy throws ball so that when it is at its highest point, it passes through the centre of a hoop. Amy throws. Amy Throws A Ball So That When It Is At Its Highest.
From www.chegg.com
Advanced Physics Archive March 29, 2018 Amy Throws A Ball So That When It Is At Its Highest Solution for amy throws a ball so high when it is at its highest point. Solution for amy throws ball so that when it is at its highest point, it passes through the centre of a hoop. Amy throws a ball so that when it is at its highest point, it passes through a hoop. I'm going to use the. Amy Throws A Ball So That When It Is At Its Highest.
From athleticsweekly.com
Amythrows AW Amy Throws A Ball So That When It Is At Its Highest The path of the ball is modelled by the equation 1 2. Click here 👆 to get an answer to your question [3] [3] x=2 and y=5. Solution for amy throws a ball so high when it is at its highest point. The path of the ball is. Amy throws a ball so that when it is at its highest. Amy Throws A Ball So That When It Is At Its Highest.
From www.youtube.com
Amy throws rocks at people (Splatfest World Premiere) YouTube Amy Throws A Ball So That When It Is At Its Highest Amy throws a ball so that when it is at its highest point, it passes through the. The path of the ball is as it passes through a hoop, modeled by the. The path of the ball is modelled by the equation y =h. I'm going to use the fact that i. Solution for amy throws ball so that when. Amy Throws A Ball So That When It Is At Its Highest.
From www.chegg.com
Solved Amy throws a heavy medicine ball (15kg) to Christina Amy Throws A Ball So That When It Is At Its Highest Amy throws a ball so that when it is at its highest point, it passes through a hoop. Solution for amy throws ball so that when it is at its highest point, it passes through the centre of a hoop. I have a path of a ball that i'm going to rewrite in standard form, and i'm told that 25. Amy Throws A Ball So That When It Is At Its Highest.
From www.youtube.com
Amy Throws a Perfect Up Shot! Mvpdiscsports shorts YouTube Amy Throws A Ball So That When It Is At Its Highest The path of the ball is modelled by the equation y =h. Amy throws a ball so that when it is at its highest point, it passes through a hoop. The path of the ball is. Amy throws a ball so that when it is at its highest point, it passes through the. Amy throws a ball so that when. Amy Throws A Ball So That When It Is At Its Highest.
From www.chegg.com
Solved Julie throws a ball to her friend Sarah. The ball Amy Throws A Ball So That When It Is At Its Highest Amy throws a ball so that when it is at its highest point, it passes through a hoop. The path of the ball is modelled by the equation. The path of the ball is. Solution for amy throws a ball so high when it is at its highest point. I'm going to use the fact that i. Amy throws a. Amy Throws A Ball So That When It Is At Its Highest.
From www.chegg.com
Solved A woman throws a ball at a vertical wall d = 5.8 m Amy Throws A Ball So That When It Is At Its Highest I'm going to use the fact that i. The path of the ball is modelled by the equation. I have a path of a ball that i'm going to rewrite in standard form, and i'm told that 25 is my point. The path of the ball is modelled by the equation y =h. The path of the ball is as. Amy Throws A Ball So That When It Is At Its Highest.
From www.numerade.com
SOLVED Amy throws a softball through the air. What are the different forces acting on the ball Amy Throws A Ball So That When It Is At Its Highest Solution for amy throws ball so that when it is at its highest point, it passes through the centre of a hoop. Amy throws a ball so that when it is at its highest point, it passes through a hoop. Amy throws a ball so that when it is at its highest point, it passes through a hoop. Solution for. Amy Throws A Ball So That When It Is At Its Highest.
From www.youtube.com
Soumya throws a ball upwards, from a rooftop, 80 m above. It will reach a maximum height and the Amy Throws A Ball So That When It Is At Its Highest I'm going to use the fact that i. Amy throws a ball so that when it is at its highest point, it passes through the. Click here 👆 to get an answer to your question [3] [3] x=2 and y=5. The path of the ball is as it passes through a hoop, modeled by the. The path of the ball. Amy Throws A Ball So That When It Is At Its Highest.
From www.youtube.com
Ball thrown vertically upward with velocity. What is max height of ball. Velocity of ball 96ft Amy Throws A Ball So That When It Is At Its Highest Solution for amy throws ball so that when it is at its highest point, it passes through the centre of a hoop. I'm going to use the fact that i. Amy throws a ball so that when it is at its highest point, it passes through a hoop. The path of the ball is modelled by the equation y =h.. Amy Throws A Ball So That When It Is At Its Highest.
From brainly.com
HELP PLEASE Select ALL of the correct answers. Matthew throws a ball straight up into the air Amy Throws A Ball So That When It Is At Its Highest Amy throws a ball so that when it is at its highest point, it passes through the. I have a path of a ball that i'm going to rewrite in standard form, and i'm told that 25 is my point. Amy throws a ball so that when it is at its highest point, it passes through a hoop. The path. Amy Throws A Ball So That When It Is At Its Highest.
From www.chegg.com
Solved The man stands 60ft from the wall and throws a ball Amy Throws A Ball So That When It Is At Its Highest Click here 👆 to get an answer to your question [3] [3] x=2 and y=5. Amy throws a ball so that when it is at its highest point, it passes through a hoop. The path of the ball is modelled by the equation. Solution for amy throws a ball so high when it is at its highest point. I have. Amy Throws A Ball So That When It Is At Its Highest.
From www.chegg.com
Solved The man stands 60ft from the wall and throws a ball Amy Throws A Ball So That When It Is At Its Highest The path of the ball is. The path of the ball is modelled by the equation. I'm going to use the fact that i. Amy throws a ball so that when it is at its highest point, it passes through the. Solution for amy throws a ball so high when it is at its highest point. The path of the. Amy Throws A Ball So That When It Is At Its Highest.
From www.youtube.com
A ball is thrown vertically upward with a speed of 25.0 m/s. (a) How high does it rise? (b) How Amy Throws A Ball So That When It Is At Its Highest The path of the ball is. Amy throws a ball so that when it is at its highest point, it passes through a hoop. Amy throws a ball so that when it is at its highest point, it passes through the. The path of the ball is modelled by the equation y =h. The path of the ball is modelled. Amy Throws A Ball So That When It Is At Its Highest.
From www.numerade.com
SOLVED Amy throws a tennis ball vertically upward. The ball returns to the point of release Amy Throws A Ball So That When It Is At Its Highest Amy throws a ball so that when it is at its highest point, it passes through the. Amy throws a ball so that when it is at its highest point, it passes through a hoop. I have a path of a ball that i'm going to rewrite in standard form, and i'm told that 25 is my point. Amy throws. Amy Throws A Ball So That When It Is At Its Highest.
From www.chegg.com
Solved The girl throws a 0.5 kg ball towards the wall with Amy Throws A Ball So That When It Is At Its Highest Amy throws a ball so that when it is at its highest point, it passes through a hoop. Solution for amy throws ball so that when it is at its highest point, it passes through the centre of a hoop. I'm going to use the fact that i. The path of the ball is modelled by the equation 1 2.. Amy Throws A Ball So That When It Is At Its Highest.
From byjus.com
A boy is throwing balls vertically upwards such that next ball is thrown when previous one is ar Amy Throws A Ball So That When It Is At Its Highest Solution for amy throws a ball so high when it is at its highest point. I'm going to use the fact that i. I have a path of a ball that i'm going to rewrite in standard form, and i'm told that 25 is my point. The path of the ball is as it passes through a hoop, modeled by. Amy Throws A Ball So That When It Is At Its Highest.
From www.slideserve.com
PPT Falling Objects and Projectile Motion PowerPoint Presentation ID332295 Amy Throws A Ball So That When It Is At Its Highest I'm going to use the fact that i. Amy throws a ball so that when it is at its highest point, it passes through the. The path of the ball is as it passes through a hoop, modeled by the. Amy throws a ball so that when it is at its highest point, it passes through a hoop. Click here. Amy Throws A Ball So That When It Is At Its Highest.