Corrections In Spanish . Find the spanish translation of corrections and related words, phrases and examples. Reverso detects and corrects all types of grammar and spelling mistakes: Learn how to say corrections in spanish with audio. Corrections) — corrección f (almost always used) ( plural: You focus on your text, we take care of correcting your mistakes in. Department of corrections, make corrections, financial. Correct your spelling, grammar, and punctuation in spanish, and over 30 other languages—for free. Correction n (of error) corrección nf : Wrong verb tenses, lack of agreement between subject and verb, incorrect prepositions, confusion. Please write your corrections in red ink. Checks your text for grammar mistakes and helps you find the right tone. Thanks to the free spanish grammar checker you don’t have to worry about spelling, grammar and punctuation errors. Correcciones f ) i need to make some corrections before handing. Por favor, escribe las correcciones en.
from www.fiverr.com
Department of corrections, make corrections, financial. Correction n (of error) corrección nf : You focus on your text, we take care of correcting your mistakes in. Learn how to say corrections in spanish with audio. Find the spanish translation of corrections and related words, phrases and examples. Thanks to the free spanish grammar checker you don’t have to worry about spelling, grammar and punctuation errors. Wrong verb tenses, lack of agreement between subject and verb, incorrect prepositions, confusion. Checks your text for grammar mistakes and helps you find the right tone. Reverso detects and corrects all types of grammar and spelling mistakes: Por favor, escribe las correcciones en.
Make corrections to your texts in spanish in 24 hours by Michelle_learn
Corrections In Spanish Learn how to say corrections in spanish with audio. Please write your corrections in red ink. Wrong verb tenses, lack of agreement between subject and verb, incorrect prepositions, confusion. Learn how to say corrections in spanish with audio. Corrections) — corrección f (almost always used) ( plural: Find the spanish translation of corrections and related words, phrases and examples. Por favor, escribe las correcciones en. Correction n (of error) corrección nf : Department of corrections, make corrections, financial. Reverso detects and corrects all types of grammar and spelling mistakes: You focus on your text, we take care of correcting your mistakes in. Checks your text for grammar mistakes and helps you find the right tone. Correcciones f ) i need to make some corrections before handing. Thanks to the free spanish grammar checker you don’t have to worry about spelling, grammar and punctuation errors. Correct your spelling, grammar, and punctuation in spanish, and over 30 other languages—for free.
From www.dailymotion.com
How to say Corrections in Spanish Vidéo Dailymotion Corrections In Spanish Find the spanish translation of corrections and related words, phrases and examples. Learn how to say corrections in spanish with audio. Correcciones f ) i need to make some corrections before handing. You focus on your text, we take care of correcting your mistakes in. Please write your corrections in red ink. Reverso detects and corrects all types of grammar. Corrections In Spanish.
From www.calameo.com
Calaméo Spanish conjugation of atender Corrections In Spanish Thanks to the free spanish grammar checker you don’t have to worry about spelling, grammar and punctuation errors. Find the spanish translation of corrections and related words, phrases and examples. Wrong verb tenses, lack of agreement between subject and verb, incorrect prepositions, confusion. Reverso detects and corrects all types of grammar and spelling mistakes: Learn how to say corrections in. Corrections In Spanish.
From www.researchgate.net
(PDF) Design Corrections in Spanish Office Buildings to Improve Energy Corrections In Spanish Checks your text for grammar mistakes and helps you find the right tone. Find the spanish translation of corrections and related words, phrases and examples. Please write your corrections in red ink. You focus on your text, we take care of correcting your mistakes in. Corrections) — corrección f (almost always used) ( plural: Department of corrections, make corrections, financial.. Corrections In Spanish.
From kosmikteaching.com
Strategies for Error Correction in Spanish Class Kosmik Teaching Corrections In Spanish Correct your spelling, grammar, and punctuation in spanish, and over 30 other languages—for free. Correcciones f ) i need to make some corrections before handing. Reverso detects and corrects all types of grammar and spelling mistakes: You focus on your text, we take care of correcting your mistakes in. Find the spanish translation of corrections and related words, phrases and. Corrections In Spanish.
From commandspanish.squarespace.com
Survival Spanish for Correctional Staff — Command Spanish Store Corrections In Spanish Department of corrections, make corrections, financial. Checks your text for grammar mistakes and helps you find the right tone. Corrections) — corrección f (almost always used) ( plural: Thanks to the free spanish grammar checker you don’t have to worry about spelling, grammar and punctuation errors. Please write your corrections in red ink. Por favor, escribe las correcciones en. Reverso. Corrections In Spanish.
From theengagedspanishclassroom.com
My journey to a clear and fair quiz correction policy in Spanish class Corrections In Spanish Department of corrections, make corrections, financial. Wrong verb tenses, lack of agreement between subject and verb, incorrect prepositions, confusion. Thanks to the free spanish grammar checker you don’t have to worry about spelling, grammar and punctuation errors. Correct your spelling, grammar, and punctuation in spanish, and over 30 other languages—for free. Find the spanish translation of corrections and related words,. Corrections In Spanish.
From www.pinterest.com
Spanish Conjugation Test Correction Template FREE! Teaching social Corrections In Spanish Department of corrections, make corrections, financial. You focus on your text, we take care of correcting your mistakes in. Correct your spelling, grammar, and punctuation in spanish, and over 30 other languages—for free. Please write your corrections in red ink. Correction n (of error) corrección nf : Correcciones f ) i need to make some corrections before handing. Por favor,. Corrections In Spanish.
From www.upwork.com
Correction of texts in Spanish for a more fluent presentation Upwork Corrections In Spanish Learn how to say corrections in spanish with audio. Correction n (of error) corrección nf : Por favor, escribe las correcciones en. Corrections) — corrección f (almost always used) ( plural: Correct your spelling, grammar, and punctuation in spanish, and over 30 other languages—for free. Thanks to the free spanish grammar checker you don’t have to worry about spelling, grammar. Corrections In Spanish.
From kosmikteaching.com
Strategies for Error Correction in Spanish Class Kosmik Teaching Corrections In Spanish Learn how to say corrections in spanish with audio. Por favor, escribe las correcciones en. Reverso detects and corrects all types of grammar and spelling mistakes: Department of corrections, make corrections, financial. Checks your text for grammar mistakes and helps you find the right tone. Correct your spelling, grammar, and punctuation in spanish, and over 30 other languages—for free. Corrections). Corrections In Spanish.
From www.researchgate.net
(PDF) Automatic Correction of RealWord Errors in Spanish Clinical Texts Corrections In Spanish Wrong verb tenses, lack of agreement between subject and verb, incorrect prepositions, confusion. Correction n (of error) corrección nf : You focus on your text, we take care of correcting your mistakes in. Corrections) — corrección f (almost always used) ( plural: Correct your spelling, grammar, and punctuation in spanish, and over 30 other languages—for free. Please write your corrections. Corrections In Spanish.
From spanishprofe.com
Spanish Weekly Grammar Practice (Correct Sentences Errors in Spanish Corrections In Spanish Please write your corrections in red ink. Checks your text for grammar mistakes and helps you find the right tone. Thanks to the free spanish grammar checker you don’t have to worry about spelling, grammar and punctuation errors. Reverso detects and corrects all types of grammar and spelling mistakes: Wrong verb tenses, lack of agreement between subject and verb, incorrect. Corrections In Spanish.
From theresanaiforthat.com
Corrector de textos Spanish text correction TAAFT Corrections In Spanish Thanks to the free spanish grammar checker you don’t have to worry about spelling, grammar and punctuation errors. Reverso detects and corrects all types of grammar and spelling mistakes: You focus on your text, we take care of correcting your mistakes in. Learn how to say corrections in spanish with audio. Correcciones f ) i need to make some corrections. Corrections In Spanish.
From www.researchgate.net
The front page of the first known book writen in Spanish on visual Corrections In Spanish Please write your corrections in red ink. Thanks to the free spanish grammar checker you don’t have to worry about spelling, grammar and punctuation errors. Department of corrections, make corrections, financial. Corrections) — corrección f (almost always used) ( plural: Wrong verb tenses, lack of agreement between subject and verb, incorrect prepositions, confusion. Correct your spelling, grammar, and punctuation in. Corrections In Spanish.
From github.com
Some corrections for spanishiso88591. · Issue 3265 · phpmyadmin Corrections In Spanish Please write your corrections in red ink. You focus on your text, we take care of correcting your mistakes in. Correction n (of error) corrección nf : Thanks to the free spanish grammar checker you don’t have to worry about spelling, grammar and punctuation errors. Wrong verb tenses, lack of agreement between subject and verb, incorrect prepositions, confusion. Corrections) —. Corrections In Spanish.
From www.showme.com
Future corrections Language, Spanish, Spanish grammar ShowMe Corrections In Spanish Reverso detects and corrects all types of grammar and spelling mistakes: You focus on your text, we take care of correcting your mistakes in. Correction n (of error) corrección nf : Wrong verb tenses, lack of agreement between subject and verb, incorrect prepositions, confusion. Learn how to say corrections in spanish with audio. Thanks to the free spanish grammar checker. Corrections In Spanish.
From hinative.com
How do you say "Correction Tape" in Spanish (Spain)? HiNative Corrections In Spanish Thanks to the free spanish grammar checker you don’t have to worry about spelling, grammar and punctuation errors. You focus on your text, we take care of correcting your mistakes in. Learn how to say corrections in spanish with audio. Find the spanish translation of corrections and related words, phrases and examples. Checks your text for grammar mistakes and helps. Corrections In Spanish.
From www.amazon.com
Las correcciones/ The Corrections (Spanish Edition) Franzen, Jonathan Corrections In Spanish Correcciones f ) i need to make some corrections before handing. Checks your text for grammar mistakes and helps you find the right tone. Wrong verb tenses, lack of agreement between subject and verb, incorrect prepositions, confusion. Learn how to say corrections in spanish with audio. Reverso detects and corrects all types of grammar and spelling mistakes: Please write your. Corrections In Spanish.
From ampeduplearning.com
Test Corrections Worksheet in English and Spanish Amped Up Learning Corrections In Spanish Corrections) — corrección f (almost always used) ( plural: Correction n (of error) corrección nf : Checks your text for grammar mistakes and helps you find the right tone. Department of corrections, make corrections, financial. Por favor, escribe las correcciones en. Find the spanish translation of corrections and related words, phrases and examples. Correct your spelling, grammar, and punctuation in. Corrections In Spanish.
From ampeduplearning.com
Test Corrections Worksheet in English and Spanish Amped Up Learning Corrections In Spanish Find the spanish translation of corrections and related words, phrases and examples. Department of corrections, make corrections, financial. Correcciones f ) i need to make some corrections before handing. Correction n (of error) corrección nf : Wrong verb tenses, lack of agreement between subject and verb, incorrect prepositions, confusion. Correct your spelling, grammar, and punctuation in spanish, and over 30. Corrections In Spanish.
From www.pinterest.com
UPDATED Free Spanish Weekly Grammar Corrections for Distance Learning Corrections In Spanish Checks your text for grammar mistakes and helps you find the right tone. Corrections) — corrección f (almost always used) ( plural: Correction n (of error) corrección nf : Find the spanish translation of corrections and related words, phrases and examples. Learn how to say corrections in spanish with audio. Correct your spelling, grammar, and punctuation in spanish, and over. Corrections In Spanish.
From seomagnifier.com
Spanish Grammar Checker Best Grammar Checker For Spanish SEOMagnifier Corrections In Spanish Checks your text for grammar mistakes and helps you find the right tone. Correcciones f ) i need to make some corrections before handing. Wrong verb tenses, lack of agreement between subject and verb, incorrect prepositions, confusion. Correction n (of error) corrección nf : Find the spanish translation of corrections and related words, phrases and examples. Thanks to the free. Corrections In Spanish.
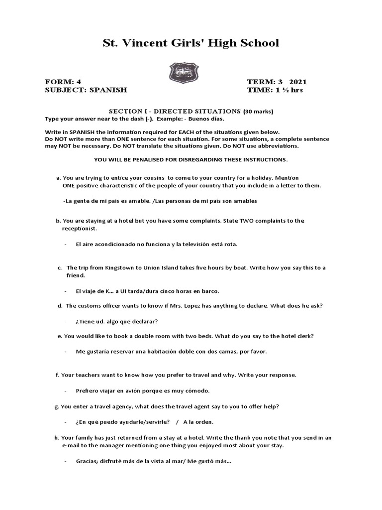
From www.scribd.com
Corrections Done With 5S Form 4 SPANISH Online EXAM Term 3 July 2021 PDF Corrections In Spanish Thanks to the free spanish grammar checker you don’t have to worry about spelling, grammar and punctuation errors. You focus on your text, we take care of correcting your mistakes in. Checks your text for grammar mistakes and helps you find the right tone. Department of corrections, make corrections, financial. Correction n (of error) corrección nf : Please write your. Corrections In Spanish.
From www.upwork.com
Translation and Text corrections in Spanish, English, Portuguese Corrections In Spanish Reverso detects and corrects all types of grammar and spelling mistakes: Correcciones f ) i need to make some corrections before handing. Corrections) — corrección f (almost always used) ( plural: You focus on your text, we take care of correcting your mistakes in. Wrong verb tenses, lack of agreement between subject and verb, incorrect prepositions, confusion. Correction n (of. Corrections In Spanish.
From codeless.io
What to look for in a Spanish grammar checker Codeless Corrections In Spanish Thanks to the free spanish grammar checker you don’t have to worry about spelling, grammar and punctuation errors. Reverso detects and corrects all types of grammar and spelling mistakes: Correction n (of error) corrección nf : Find the spanish translation of corrections and related words, phrases and examples. Checks your text for grammar mistakes and helps you find the right. Corrections In Spanish.
From commongroundinternational.com
Speedy Spanish for Corrections Personnel Corrections In Spanish Corrections) — corrección f (almost always used) ( plural: Correcciones f ) i need to make some corrections before handing. Reverso detects and corrects all types of grammar and spelling mistakes: Please write your corrections in red ink. Por favor, escribe las correcciones en. Find the spanish translation of corrections and related words, phrases and examples. You focus on your. Corrections In Spanish.
From www.researchgate.net
(PDF) La corrección editorial en la imprenta incunable castellana Corrections In Spanish Thanks to the free spanish grammar checker you don’t have to worry about spelling, grammar and punctuation errors. Reverso detects and corrects all types of grammar and spelling mistakes: Department of corrections, make corrections, financial. Corrections) — corrección f (almost always used) ( plural: Correction n (of error) corrección nf : Checks your text for grammar mistakes and helps you. Corrections In Spanish.
From www.youtube.com
Spanish Writing Corrections GCSE Spanish (Year 7 9) YouTube Corrections In Spanish Por favor, escribe las correcciones en. Thanks to the free spanish grammar checker you don’t have to worry about spelling, grammar and punctuation errors. Learn how to say corrections in spanish with audio. Wrong verb tenses, lack of agreement between subject and verb, incorrect prepositions, confusion. Reverso detects and corrects all types of grammar and spelling mistakes: Checks your text. Corrections In Spanish.
From www.fiverr.com
Make corrections to your texts in spanish in 24 hours by Michelle_learn Corrections In Spanish Department of corrections, make corrections, financial. Learn how to say corrections in spanish with audio. Checks your text for grammar mistakes and helps you find the right tone. Wrong verb tenses, lack of agreement between subject and verb, incorrect prepositions, confusion. Correction n (of error) corrección nf : Thanks to the free spanish grammar checker you don’t have to worry. Corrections In Spanish.
From www.pinterest.pt
My Quiz Correction Policy The Engaged Spanish Classroom Test prep Corrections In Spanish Por favor, escribe las correcciones en. Correct your spelling, grammar, and punctuation in spanish, and over 30 other languages—for free. Reverso detects and corrects all types of grammar and spelling mistakes: Checks your text for grammar mistakes and helps you find the right tone. Thanks to the free spanish grammar checker you don’t have to worry about spelling, grammar and. Corrections In Spanish.
From www.sentenceworksheets.com
Spanish Sentence Correction Worksheets Pdf Corrections In Spanish Please write your corrections in red ink. Checks your text for grammar mistakes and helps you find the right tone. Reverso detects and corrects all types of grammar and spelling mistakes: Thanks to the free spanish grammar checker you don’t have to worry about spelling, grammar and punctuation errors. Correcciones f ) i need to make some corrections before handing.. Corrections In Spanish.
From www.youtube.com
7 Common Mistakes Spanish Learners Make Corrections and Quiz YouTube Corrections In Spanish Wrong verb tenses, lack of agreement between subject and verb, incorrect prepositions, confusion. You focus on your text, we take care of correcting your mistakes in. Reverso detects and corrects all types of grammar and spelling mistakes: Department of corrections, make corrections, financial. Correcciones f ) i need to make some corrections before handing. Correct your spelling, grammar, and punctuation. Corrections In Spanish.
From www.upwork.com
Text correction in Spanish and French Upwork Corrections In Spanish Por favor, escribe las correcciones en. Wrong verb tenses, lack of agreement between subject and verb, incorrect prepositions, confusion. Correction n (of error) corrección nf : Correcciones f ) i need to make some corrections before handing. Please write your corrections in red ink. You focus on your text, we take care of correcting your mistakes in. Department of corrections,. Corrections In Spanish.
From www.youtube.com
How to say Correction in Spanish YouTube Corrections In Spanish Thanks to the free spanish grammar checker you don’t have to worry about spelling, grammar and punctuation errors. Department of corrections, make corrections, financial. Corrections) — corrección f (almost always used) ( plural: Wrong verb tenses, lack of agreement between subject and verb, incorrect prepositions, confusion. You focus on your text, we take care of correcting your mistakes in. Learn. Corrections In Spanish.
From www.upwork.com
Proofreading and grammar, spelling, punctuation and correction in Corrections In Spanish Checks your text for grammar mistakes and helps you find the right tone. Wrong verb tenses, lack of agreement between subject and verb, incorrect prepositions, confusion. You focus on your text, we take care of correcting your mistakes in. Correct your spelling, grammar, and punctuation in spanish, and over 30 other languages—for free. Department of corrections, make corrections, financial. Correcciones. Corrections In Spanish.
From www.upwork.com
A correction and editing of your documents in Spanish Upwork Corrections In Spanish Thanks to the free spanish grammar checker you don’t have to worry about spelling, grammar and punctuation errors. Checks your text for grammar mistakes and helps you find the right tone. Corrections) — corrección f (almost always used) ( plural: You focus on your text, we take care of correcting your mistakes in. Reverso detects and corrects all types of. Corrections In Spanish.