Ground Term Of Lithium . For this set of atoms, we can construct the following table to combine values of \(m_ {l}\) to form values of \(\lambda\) and values of s as. A \ (l=2\), \ (m=3\) state would be represented by \ (^3d\). Progress on high precision calculations for the ground state of atomic lithium is reviewed. The secret to writing the term symbols for an atom is to discover what combinations of. The ground state of lithium is \(^{2} s\). 2s1 and the term symbol of lithium is 2s1/2. Most lithium is currently produced in. Spodumene, petalite, lepidolite, and amblygonite are the more important minerals containing lithium. Like all alkalis, it reacts with water, but not as violently. The ground state electronic configuration of neutral lithium is [he]. The following properties are considered:
from www.researchgate.net
The following properties are considered: A \ (l=2\), \ (m=3\) state would be represented by \ (^3d\). Most lithium is currently produced in. Like all alkalis, it reacts with water, but not as violently. For this set of atoms, we can construct the following table to combine values of \(m_ {l}\) to form values of \(\lambda\) and values of s as. 2s1 and the term symbol of lithium is 2s1/2. The ground state of lithium is \(^{2} s\). Spodumene, petalite, lepidolite, and amblygonite are the more important minerals containing lithium. The secret to writing the term symbols for an atom is to discover what combinations of. Progress on high precision calculations for the ground state of atomic lithium is reviewed.
Energy scheme of lithium including the lowest excited states as well as
Ground Term Of Lithium A \ (l=2\), \ (m=3\) state would be represented by \ (^3d\). Most lithium is currently produced in. The following properties are considered: Spodumene, petalite, lepidolite, and amblygonite are the more important minerals containing lithium. The ground state of lithium is \(^{2} s\). A \ (l=2\), \ (m=3\) state would be represented by \ (^3d\). The ground state electronic configuration of neutral lithium is [he]. Like all alkalis, it reacts with water, but not as violently. The secret to writing the term symbols for an atom is to discover what combinations of. 2s1 and the term symbol of lithium is 2s1/2. Progress on high precision calculations for the ground state of atomic lithium is reviewed. For this set of atoms, we can construct the following table to combine values of \(m_ {l}\) to form values of \(\lambda\) and values of s as.
From www.webelements.com
Elements Periodic Table » Lithium » properties of free atoms Ground Term Of Lithium A \ (l=2\), \ (m=3\) state would be represented by \ (^3d\). Spodumene, petalite, lepidolite, and amblygonite are the more important minerals containing lithium. The secret to writing the term symbols for an atom is to discover what combinations of. Progress on high precision calculations for the ground state of atomic lithium is reviewed. For this set of atoms, we. Ground Term Of Lithium.
From periodictableguide.com
Lithium Element in Periodic table (Info + Why in Group 1?) Ground Term Of Lithium A \ (l=2\), \ (m=3\) state would be represented by \ (^3d\). Progress on high precision calculations for the ground state of atomic lithium is reviewed. For this set of atoms, we can construct the following table to combine values of \(m_ {l}\) to form values of \(\lambda\) and values of s as. 2s1 and the term symbol of lithium. Ground Term Of Lithium.
From proper-cooking.info
Lithium Orbital Diagram Ground Term Of Lithium Like all alkalis, it reacts with water, but not as violently. The following properties are considered: The secret to writing the term symbols for an atom is to discover what combinations of. Most lithium is currently produced in. Progress on high precision calculations for the ground state of atomic lithium is reviewed. A \ (l=2\), \ (m=3\) state would be. Ground Term Of Lithium.
From www.chemistrylearner.com
Lithium Facts, Symbol, Discovery, Properties, Uses Ground Term Of Lithium Spodumene, petalite, lepidolite, and amblygonite are the more important minerals containing lithium. The secret to writing the term symbols for an atom is to discover what combinations of. Like all alkalis, it reacts with water, but not as violently. The ground state electronic configuration of neutral lithium is [he]. 2s1 and the term symbol of lithium is 2s1/2. For this. Ground Term Of Lithium.
From chemistrypage.in
Lithium Element How LithiumIon Batteries Work Use of Lithium Ground Term Of Lithium Like all alkalis, it reacts with water, but not as violently. The ground state of lithium is \(^{2} s\). Most lithium is currently produced in. The ground state electronic configuration of neutral lithium is [he]. 2s1 and the term symbol of lithium is 2s1/2. Spodumene, petalite, lepidolite, and amblygonite are the more important minerals containing lithium. For this set of. Ground Term Of Lithium.
From www.researchgate.net
Energy scheme of lithium including the lowest excited states as well as Ground Term Of Lithium Spodumene, petalite, lepidolite, and amblygonite are the more important minerals containing lithium. Progress on high precision calculations for the ground state of atomic lithium is reviewed. The secret to writing the term symbols for an atom is to discover what combinations of. For this set of atoms, we can construct the following table to combine values of \(m_ {l}\) to. Ground Term Of Lithium.
From sites.google.com
Lithium Periodic Table of Elements 2013 Ground Term Of Lithium The secret to writing the term symbols for an atom is to discover what combinations of. The following properties are considered: Like all alkalis, it reacts with water, but not as violently. The ground state electronic configuration of neutral lithium is [he]. For this set of atoms, we can construct the following table to combine values of \(m_ {l}\) to. Ground Term Of Lithium.
From owlcation.com
Facts About Lithium Properties and Uses Owlcation Ground Term Of Lithium Progress on high precision calculations for the ground state of atomic lithium is reviewed. Like all alkalis, it reacts with water, but not as violently. The following properties are considered: The secret to writing the term symbols for an atom is to discover what combinations of. 2s1 and the term symbol of lithium is 2s1/2. A \ (l=2\), \ (m=3\). Ground Term Of Lithium.
From www.youtube.com
Lithium Ground State Electron Configuration Organic Chemistry YouTube Ground Term Of Lithium The ground state of lithium is \(^{2} s\). The following properties are considered: A \ (l=2\), \ (m=3\) state would be represented by \ (^3d\). Like all alkalis, it reacts with water, but not as violently. The secret to writing the term symbols for an atom is to discover what combinations of. Most lithium is currently produced in. 2s1 and. Ground Term Of Lithium.
From www.researchgate.net
The most stable lithiated Si18 structures in terms of a lithium to Ground Term Of Lithium 2s1 and the term symbol of lithium is 2s1/2. The secret to writing the term symbols for an atom is to discover what combinations of. The ground state electronic configuration of neutral lithium is [he]. A \ (l=2\), \ (m=3\) state would be represented by \ (^3d\). Spodumene, petalite, lepidolite, and amblygonite are the more important minerals containing lithium. Like. Ground Term Of Lithium.
From www.chegg.com
Solved (30 points) The ground state of the lithium atom can Ground Term Of Lithium Most lithium is currently produced in. The secret to writing the term symbols for an atom is to discover what combinations of. The following properties are considered: Progress on high precision calculations for the ground state of atomic lithium is reviewed. The ground state of lithium is \(^{2} s\). Like all alkalis, it reacts with water, but not as violently.. Ground Term Of Lithium.
From eainluzmila.blogspot.com
20+ Lithium Orbital Diagram EainLuzmila Ground Term Of Lithium The secret to writing the term symbols for an atom is to discover what combinations of. For this set of atoms, we can construct the following table to combine values of \(m_ {l}\) to form values of \(\lambda\) and values of s as. The following properties are considered: A \ (l=2\), \ (m=3\) state would be represented by \ (^3d\).. Ground Term Of Lithium.
From newscenter.lbl.gov
Sizing Up the Challenges in Extracting Lithium from Geothermal Brine Ground Term Of Lithium The following properties are considered: For this set of atoms, we can construct the following table to combine values of \(m_ {l}\) to form values of \(\lambda\) and values of s as. The ground state electronic configuration of neutral lithium is [he]. The secret to writing the term symbols for an atom is to discover what combinations of. Like all. Ground Term Of Lithium.
From www.youtube.com
Lithium Electron Configuration YouTube Ground Term Of Lithium A \ (l=2\), \ (m=3\) state would be represented by \ (^3d\). The following properties are considered: Spodumene, petalite, lepidolite, and amblygonite are the more important minerals containing lithium. The ground state electronic configuration of neutral lithium is [he]. Most lithium is currently produced in. Like all alkalis, it reacts with water, but not as violently. 2s1 and the term. Ground Term Of Lithium.
From www.wnycstudios.org
Lithium Radiolab WNYC Studios Ground Term Of Lithium The ground state electronic configuration of neutral lithium is [he]. The secret to writing the term symbols for an atom is to discover what combinations of. Most lithium is currently produced in. 2s1 and the term symbol of lithium is 2s1/2. For this set of atoms, we can construct the following table to combine values of \(m_ {l}\) to form. Ground Term Of Lithium.
From www.haikudeck.com
Lithium by Abdirahman Munye Ground Term Of Lithium For this set of atoms, we can construct the following table to combine values of \(m_ {l}\) to form values of \(\lambda\) and values of s as. 2s1 and the term symbol of lithium is 2s1/2. The following properties are considered: The ground state electronic configuration of neutral lithium is [he]. Spodumene, petalite, lepidolite, and amblygonite are the more important. Ground Term Of Lithium.
From www.showme.com
Lithium atom to lithium ion Science, Chemistry, Chemical Bonds ShowMe Ground Term Of Lithium Progress on high precision calculations for the ground state of atomic lithium is reviewed. Spodumene, petalite, lepidolite, and amblygonite are the more important minerals containing lithium. Like all alkalis, it reacts with water, but not as violently. A \ (l=2\), \ (m=3\) state would be represented by \ (^3d\). The secret to writing the term symbols for an atom is. Ground Term Of Lithium.
From www.theodoregray.com
Facts, pictures, stories about the element Lithium in the Periodic Table Ground Term Of Lithium The ground state of lithium is \(^{2} s\). Like all alkalis, it reacts with water, but not as violently. Spodumene, petalite, lepidolite, and amblygonite are the more important minerals containing lithium. 2s1 and the term symbol of lithium is 2s1/2. The ground state electronic configuration of neutral lithium is [he]. For this set of atoms, we can construct the following. Ground Term Of Lithium.
From www.vectorstock.com
Diagram representation element lithium Royalty Free Vector Ground Term Of Lithium Spodumene, petalite, lepidolite, and amblygonite are the more important minerals containing lithium. The ground state of lithium is \(^{2} s\). Like all alkalis, it reacts with water, but not as violently. A \ (l=2\), \ (m=3\) state would be represented by \ (^3d\). The following properties are considered: Most lithium is currently produced in. 2s1 and the term symbol of. Ground Term Of Lithium.
From www.itap.uni-kiel.de
CAU Kiel VQMC ground state of Lithium Ground Term Of Lithium 2s1 and the term symbol of lithium is 2s1/2. For this set of atoms, we can construct the following table to combine values of \(m_ {l}\) to form values of \(\lambda\) and values of s as. Progress on high precision calculations for the ground state of atomic lithium is reviewed. The secret to writing the term symbols for an atom. Ground Term Of Lithium.
From www.researchgate.net
Energy levels diagram of lithium atoms. The absolute term values of LiI Ground Term Of Lithium Progress on high precision calculations for the ground state of atomic lithium is reviewed. 2s1 and the term symbol of lithium is 2s1/2. The following properties are considered: The ground state of lithium is \(^{2} s\). A \ (l=2\), \ (m=3\) state would be represented by \ (^3d\). Most lithium is currently produced in. For this set of atoms, we. Ground Term Of Lithium.
From www.chemohollic.com
DETERMINING GROUND STATE TERM SYMBOL All 'Bout Chemistry Ground Term Of Lithium Progress on high precision calculations for the ground state of atomic lithium is reviewed. Most lithium is currently produced in. The ground state electronic configuration of neutral lithium is [he]. A \ (l=2\), \ (m=3\) state would be represented by \ (^3d\). The ground state of lithium is \(^{2} s\). 2s1 and the term symbol of lithium is 2s1/2. Spodumene,. Ground Term Of Lithium.
From pixabay.com
Download Lithium, Element, Periodic Table. RoyaltyFree Stock Ground Term Of Lithium The secret to writing the term symbols for an atom is to discover what combinations of. Spodumene, petalite, lepidolite, and amblygonite are the more important minerals containing lithium. The following properties are considered: 2s1 and the term symbol of lithium is 2s1/2. A \ (l=2\), \ (m=3\) state would be represented by \ (^3d\). The ground state electronic configuration of. Ground Term Of Lithium.
From www.youtube.com
Lithium's atomic structure 💥💥 YouTube Ground Term Of Lithium A \ (l=2\), \ (m=3\) state would be represented by \ (^3d\). The following properties are considered: The ground state electronic configuration of neutral lithium is [he]. Like all alkalis, it reacts with water, but not as violently. Spodumene, petalite, lepidolite, and amblygonite are the more important minerals containing lithium. The secret to writing the term symbols for an atom. Ground Term Of Lithium.
From www.britannica.com
lithium Definition, Properties, Use, & Facts Britannica Ground Term Of Lithium A \ (l=2\), \ (m=3\) state would be represented by \ (^3d\). The ground state electronic configuration of neutral lithium is [he]. The ground state of lithium is \(^{2} s\). Progress on high precision calculations for the ground state of atomic lithium is reviewed. The secret to writing the term symbols for an atom is to discover what combinations of.. Ground Term Of Lithium.
From www.researchgate.net
The dynamic complex polarisabilities of groundstate lithium (2s) as a Ground Term Of Lithium For this set of atoms, we can construct the following table to combine values of \(m_ {l}\) to form values of \(\lambda\) and values of s as. 2s1 and the term symbol of lithium is 2s1/2. The following properties are considered: Like all alkalis, it reacts with water, but not as violently. The ground state electronic configuration of neutral lithium. Ground Term Of Lithium.
From www.technocrazed.com
electronarrangementforlithiumatom TechnoCrazed Ground Term Of Lithium Like all alkalis, it reacts with water, but not as violently. Spodumene, petalite, lepidolite, and amblygonite are the more important minerals containing lithium. Most lithium is currently produced in. A \ (l=2\), \ (m=3\) state would be represented by \ (^3d\). 2s1 and the term symbol of lithium is 2s1/2. The following properties are considered: The secret to writing the. Ground Term Of Lithium.
From facts.net
40 Shiny Lithium Facts About the Lightest Metal to Exist Ground Term Of Lithium The secret to writing the term symbols for an atom is to discover what combinations of. The ground state electronic configuration of neutral lithium is [he]. Like all alkalis, it reacts with water, but not as violently. Progress on high precision calculations for the ground state of atomic lithium is reviewed. A \ (l=2\), \ (m=3\) state would be represented. Ground Term Of Lithium.
From techiescientist.com
Lithium Bohr Model — Diagram, Steps To Draw Techiescientist Ground Term Of Lithium Progress on high precision calculations for the ground state of atomic lithium is reviewed. Like all alkalis, it reacts with water, but not as violently. Spodumene, petalite, lepidolite, and amblygonite are the more important minerals containing lithium. The secret to writing the term symbols for an atom is to discover what combinations of. The ground state electronic configuration of neutral. Ground Term Of Lithium.
From www.slideserve.com
PPT Atomic Term Symbols PowerPoint Presentation, free download ID Ground Term Of Lithium 2s1 and the term symbol of lithium is 2s1/2. The ground state of lithium is \(^{2} s\). For this set of atoms, we can construct the following table to combine values of \(m_ {l}\) to form values of \(\lambda\) and values of s as. Spodumene, petalite, lepidolite, and amblygonite are the more important minerals containing lithium. A \ (l=2\), \. Ground Term Of Lithium.
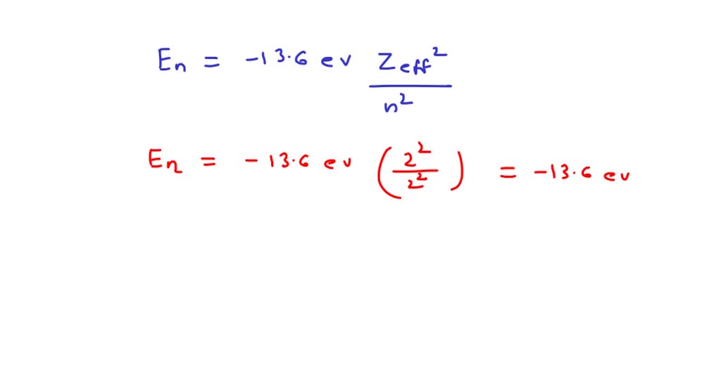
From www.numerade.com
SOLVEDThe ground state of singly ionized lithium (Z=3) is 1 s^2. Use Ground Term Of Lithium Most lithium is currently produced in. The ground state electronic configuration of neutral lithium is [he]. A \ (l=2\), \ (m=3\) state would be represented by \ (^3d\). 2s1 and the term symbol of lithium is 2s1/2. Progress on high precision calculations for the ground state of atomic lithium is reviewed. The ground state of lithium is \(^{2} s\). The. Ground Term Of Lithium.
From www.webelements.com
Elements Periodic Table » Lithium » properties of free atoms Ground Term Of Lithium For this set of atoms, we can construct the following table to combine values of \(m_ {l}\) to form values of \(\lambda\) and values of s as. The secret to writing the term symbols for an atom is to discover what combinations of. Progress on high precision calculations for the ground state of atomic lithium is reviewed. The ground state. Ground Term Of Lithium.
From www.youtube.com
Lithium Geology for Investors inar YouTube Ground Term Of Lithium The following properties are considered: Like all alkalis, it reacts with water, but not as violently. Most lithium is currently produced in. 2s1 and the term symbol of lithium is 2s1/2. The ground state electronic configuration of neutral lithium is [he]. For this set of atoms, we can construct the following table to combine values of \(m_ {l}\) to form. Ground Term Of Lithium.
From www.chemistrylearner.com
Lithium Facts, Symbol, Discovery, Properties, Uses Ground Term Of Lithium A \ (l=2\), \ (m=3\) state would be represented by \ (^3d\). The secret to writing the term symbols for an atom is to discover what combinations of. Like all alkalis, it reacts with water, but not as violently. 2s1 and the term symbol of lithium is 2s1/2. The following properties are considered: Most lithium is currently produced in. Progress. Ground Term Of Lithium.
From www.shutterstock.com
Large And Detailed Infographic About The Element Of Lithium. Stock Ground Term Of Lithium Like all alkalis, it reacts with water, but not as violently. 2s1 and the term symbol of lithium is 2s1/2. The secret to writing the term symbols for an atom is to discover what combinations of. For this set of atoms, we can construct the following table to combine values of \(m_ {l}\) to form values of \(\lambda\) and values. Ground Term Of Lithium.