Lead Chromate Ksp . In a saturated solution of lead chromate the solid is in equilibrium with its ions: Solubility product constants near 25 °c. P b c r o 4 (s) ⇋ p b 2 + (a q) + c r o 4 2 −. Ionic compound formula k sp. The plots shown below illustrate the common ion effect for silver chromate as the chromate ion concentration is increased by addition of a. For ionic compounds with limited solubility in water, an. The solubility of an ionic compound decreases in the presence of a common ion. Write the balanced chemical equation for the dissolution of lead chromate in water. A common ion is any ion in the solution that is common to the. The equilibrium constant, ksp, for aqueous solutions of ionic compounds at 25°c.
from chemcraft.su
A common ion is any ion in the solution that is common to the. The equilibrium constant, ksp, for aqueous solutions of ionic compounds at 25°c. Solubility product constants near 25 °c. In a saturated solution of lead chromate the solid is in equilibrium with its ions: The solubility of an ionic compound decreases in the presence of a common ion. For ionic compounds with limited solubility in water, an. P b c r o 4 (s) ⇋ p b 2 + (a q) + c r o 4 2 −. Write the balanced chemical equation for the dissolution of lead chromate in water. Ionic compound formula k sp. The plots shown below illustrate the common ion effect for silver chromate as the chromate ion concentration is increased by addition of a.
Lead(II) chromate powder, 98 pure p.a. chemcraft.su
Lead Chromate Ksp In a saturated solution of lead chromate the solid is in equilibrium with its ions: The solubility of an ionic compound decreases in the presence of a common ion. Write the balanced chemical equation for the dissolution of lead chromate in water. For ionic compounds with limited solubility in water, an. A common ion is any ion in the solution that is common to the. Ionic compound formula k sp. The plots shown below illustrate the common ion effect for silver chromate as the chromate ion concentration is increased by addition of a. The equilibrium constant, ksp, for aqueous solutions of ionic compounds at 25°c. In a saturated solution of lead chromate the solid is in equilibrium with its ions: P b c r o 4 (s) ⇋ p b 2 + (a q) + c r o 4 2 −. Solubility product constants near 25 °c.
From dir.indiamart.com
Lead Chromate Chrome Yellow Latest Price, Manufacturers & Suppliers Lead Chromate Ksp For ionic compounds with limited solubility in water, an. In a saturated solution of lead chromate the solid is in equilibrium with its ions: The equilibrium constant, ksp, for aqueous solutions of ionic compounds at 25°c. The plots shown below illustrate the common ion effect for silver chromate as the chromate ion concentration is increased by addition of a. Solubility. Lead Chromate Ksp.
From www.sciencephoto.com
Lead Chromate Precipitate, 3 of 3 Stock Image C030/8137 Science Lead Chromate Ksp P b c r o 4 (s) ⇋ p b 2 + (a q) + c r o 4 2 −. In a saturated solution of lead chromate the solid is in equilibrium with its ions: Ionic compound formula k sp. For ionic compounds with limited solubility in water, an. The plots shown below illustrate the common ion effect for. Lead Chromate Ksp.
From commons.wikimedia.org
FileLead chromate.JPG Wikimedia Commons Lead Chromate Ksp Ionic compound formula k sp. The solubility of an ionic compound decreases in the presence of a common ion. For ionic compounds with limited solubility in water, an. The equilibrium constant, ksp, for aqueous solutions of ionic compounds at 25°c. The plots shown below illustrate the common ion effect for silver chromate as the chromate ion concentration is increased by. Lead Chromate Ksp.
From www.fishersci.com
Lead Chromate, Powder, ACS, 98, Spectrum Fisher Scientific Lead Chromate Ksp In a saturated solution of lead chromate the solid is in equilibrium with its ions: Write the balanced chemical equation for the dissolution of lead chromate in water. Ionic compound formula k sp. The solubility of an ionic compound decreases in the presence of a common ion. For ionic compounds with limited solubility in water, an. Solubility product constants near. Lead Chromate Ksp.
From www.sciencephoto.com
Lead chromate precipitate, 1 of 3 Stock Image C036/3125 Science Lead Chromate Ksp In a saturated solution of lead chromate the solid is in equilibrium with its ions: Solubility product constants near 25 °c. A common ion is any ion in the solution that is common to the. The equilibrium constant, ksp, for aqueous solutions of ionic compounds at 25°c. The plots shown below illustrate the common ion effect for silver chromate as. Lead Chromate Ksp.
From www.numerade.com
SOLVED A solution is made by equilibrating the two solids, lead Lead Chromate Ksp Write the balanced chemical equation for the dissolution of lead chromate in water. The plots shown below illustrate the common ion effect for silver chromate as the chromate ion concentration is increased by addition of a. The equilibrium constant, ksp, for aqueous solutions of ionic compounds at 25°c. A common ion is any ion in the solution that is common. Lead Chromate Ksp.
From www.indiamart.com
Lead Chromate Micro Powder at Rs 10/kg Bhankharpur Bhankarpur ID Lead Chromate Ksp Ionic compound formula k sp. In a saturated solution of lead chromate the solid is in equilibrium with its ions: A common ion is any ion in the solution that is common to the. Write the balanced chemical equation for the dissolution of lead chromate in water. P b c r o 4 (s) ⇋ p b 2 + (a. Lead Chromate Ksp.
From www.sciencephoto.com
Lead (II) Chloride and Potassium Chromate Stock Image C002/8040 Lead Chromate Ksp Ionic compound formula k sp. P b c r o 4 (s) ⇋ p b 2 + (a q) + c r o 4 2 −. For ionic compounds with limited solubility in water, an. Solubility product constants near 25 °c. A common ion is any ion in the solution that is common to the. The plots shown below illustrate. Lead Chromate Ksp.
From www.sciencemadness.org
FileLead(II) chromate.JPG Sciencemadness Wiki Lead Chromate Ksp The equilibrium constant, ksp, for aqueous solutions of ionic compounds at 25°c. P b c r o 4 (s) ⇋ p b 2 + (a q) + c r o 4 2 −. For ionic compounds with limited solubility in water, an. Write the balanced chemical equation for the dissolution of lead chromate in water. The solubility of an ionic. Lead Chromate Ksp.
From www.youtube.com
How to Write the Formula for Lead (II) chromate YouTube Lead Chromate Ksp The plots shown below illustrate the common ion effect for silver chromate as the chromate ion concentration is increased by addition of a. The equilibrium constant, ksp, for aqueous solutions of ionic compounds at 25°c. A common ion is any ion in the solution that is common to the. In a saturated solution of lead chromate the solid is in. Lead Chromate Ksp.
From amarischemicalsolutions.com
Lead Chromate 250gm Amaris Chemical Solutions Lead Chromate Ksp The equilibrium constant, ksp, for aqueous solutions of ionic compounds at 25°c. P b c r o 4 (s) ⇋ p b 2 + (a q) + c r o 4 2 −. For ionic compounds with limited solubility in water, an. Ionic compound formula k sp. The plots shown below illustrate the common ion effect for silver chromate as. Lead Chromate Ksp.
From www.labdepotinc.com
Lead Chromate Lead Chromate Ksp Ionic compound formula k sp. In a saturated solution of lead chromate the solid is in equilibrium with its ions: Write the balanced chemical equation for the dissolution of lead chromate in water. The equilibrium constant, ksp, for aqueous solutions of ionic compounds at 25°c. The solubility of an ionic compound decreases in the presence of a common ion. A. Lead Chromate Ksp.
From www.chegg.com
Solved What Is The Solubility (in Grams Per Liter) Of Lea... Lead Chromate Ksp A common ion is any ion in the solution that is common to the. The plots shown below illustrate the common ion effect for silver chromate as the chromate ion concentration is increased by addition of a. The equilibrium constant, ksp, for aqueous solutions of ionic compounds at 25°c. Write the balanced chemical equation for the dissolution of lead chromate. Lead Chromate Ksp.
From www.scribd.com
Lead Chromate PDF Energy Dispersive X Ray Spectroscopy Scanning Lead Chromate Ksp The plots shown below illustrate the common ion effect for silver chromate as the chromate ion concentration is increased by addition of a. Ionic compound formula k sp. The equilibrium constant, ksp, for aqueous solutions of ionic compounds at 25°c. Write the balanced chemical equation for the dissolution of lead chromate in water. P b c r o 4 (s). Lead Chromate Ksp.
From chemcraft.su
Lead(II) chromate powder, 98 pure p.a. chemcraft.su Lead Chromate Ksp Solubility product constants near 25 °c. Write the balanced chemical equation for the dissolution of lead chromate in water. The equilibrium constant, ksp, for aqueous solutions of ionic compounds at 25°c. A common ion is any ion in the solution that is common to the. The plots shown below illustrate the common ion effect for silver chromate as the chromate. Lead Chromate Ksp.
From fphoto.photoshelter.com
science chemistry compound lead chromate Fundamental Photographs Lead Chromate Ksp Ionic compound formula k sp. Write the balanced chemical equation for the dissolution of lead chromate in water. For ionic compounds with limited solubility in water, an. The plots shown below illustrate the common ion effect for silver chromate as the chromate ion concentration is increased by addition of a. P b c r o 4 (s) ⇋ p b. Lead Chromate Ksp.
From www.youtube.com
Synthesis of lead (II) chromate (Crocoite) YouTube Lead Chromate Ksp In a saturated solution of lead chromate the solid is in equilibrium with its ions: Write the balanced chemical equation for the dissolution of lead chromate in water. The equilibrium constant, ksp, for aqueous solutions of ionic compounds at 25°c. For ionic compounds with limited solubility in water, an. Solubility product constants near 25 °c. A common ion is any. Lead Chromate Ksp.
From www.indiamart.com
Lead Chromate Powder, Yellow at Rs 175/kg in Navi Mumbai ID Lead Chromate Ksp A common ion is any ion in the solution that is common to the. The equilibrium constant, ksp, for aqueous solutions of ionic compounds at 25°c. Solubility product constants near 25 °c. P b c r o 4 (s) ⇋ p b 2 + (a q) + c r o 4 2 −. The solubility of an ionic compound decreases. Lead Chromate Ksp.
From toxicslink.org
Lead Chromate Toxics Link Lead Chromate Ksp The equilibrium constant, ksp, for aqueous solutions of ionic compounds at 25°c. For ionic compounds with limited solubility in water, an. The solubility of an ionic compound decreases in the presence of a common ion. A common ion is any ion in the solution that is common to the. Solubility product constants near 25 °c. The plots shown below illustrate. Lead Chromate Ksp.
From www.mosinterchem.com.cn
Lead chromate CAS 7758976 Chemicals supplier from China Lead Chromate Ksp In a saturated solution of lead chromate the solid is in equilibrium with its ions: Solubility product constants near 25 °c. A common ion is any ion in the solution that is common to the. Ionic compound formula k sp. For ionic compounds with limited solubility in water, an. Write the balanced chemical equation for the dissolution of lead chromate. Lead Chromate Ksp.
From www.fishersci.com
Lead Chromate, Spectrum Chemical, Quantity 2.5 kg Fisher Scientific Lead Chromate Ksp The equilibrium constant, ksp, for aqueous solutions of ionic compounds at 25°c. Ionic compound formula k sp. Write the balanced chemical equation for the dissolution of lead chromate in water. A common ion is any ion in the solution that is common to the. For ionic compounds with limited solubility in water, an. P b c r o 4 (s). Lead Chromate Ksp.
From dir.indiamart.com
Lead Chromate Chrome Yellow Latest Price, Manufacturers & Suppliers Lead Chromate Ksp In a saturated solution of lead chromate the solid is in equilibrium with its ions: Solubility product constants near 25 °c. The plots shown below illustrate the common ion effect for silver chromate as the chromate ion concentration is increased by addition of a. Ionic compound formula k sp. Write the balanced chemical equation for the dissolution of lead chromate. Lead Chromate Ksp.
From fphoto.photoshelter.com
science chemistry compound lead chromate Fundamental Photographs Lead Chromate Ksp The equilibrium constant, ksp, for aqueous solutions of ionic compounds at 25°c. The solubility of an ionic compound decreases in the presence of a common ion. Write the balanced chemical equation for the dissolution of lead chromate in water. P b c r o 4 (s) ⇋ p b 2 + (a q) + c r o 4 2 −.. Lead Chromate Ksp.
From www.indiamart.com
Technical Grade Lead Chromate Chemical Powder, Packaging Type Bag Lead Chromate Ksp The plots shown below illustrate the common ion effect for silver chromate as the chromate ion concentration is increased by addition of a. For ionic compounds with limited solubility in water, an. P b c r o 4 (s) ⇋ p b 2 + (a q) + c r o 4 2 −. In a saturated solution of lead chromate. Lead Chromate Ksp.
From molekula.com
Purchase Lead (II) chromate [7758976] online • Catalog • Molekula Group Lead Chromate Ksp Ionic compound formula k sp. The plots shown below illustrate the common ion effect for silver chromate as the chromate ion concentration is increased by addition of a. The equilibrium constant, ksp, for aqueous solutions of ionic compounds at 25°c. P b c r o 4 (s) ⇋ p b 2 + (a q) + c r o 4 2. Lead Chromate Ksp.
From www.researchgate.net
TEM image of lead chromate particles. The inset figure shows the Lead Chromate Ksp A common ion is any ion in the solution that is common to the. Ionic compound formula k sp. Write the balanced chemical equation for the dissolution of lead chromate in water. The solubility of an ionic compound decreases in the presence of a common ion. For ionic compounds with limited solubility in water, an. The plots shown below illustrate. Lead Chromate Ksp.
From www.numerade.com
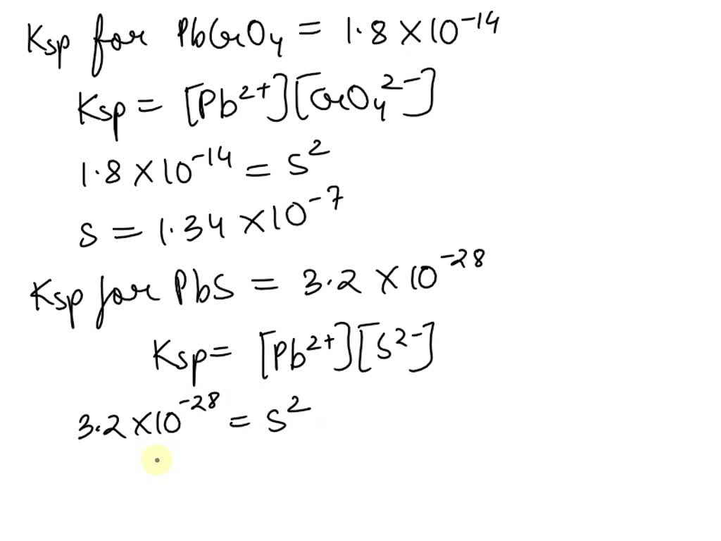
SOLVED The solubility of lead chromate, PbCrO4, is 4.49 × 10⠻⠵ g Lead Chromate Ksp Ionic compound formula k sp. In a saturated solution of lead chromate the solid is in equilibrium with its ions: The equilibrium constant, ksp, for aqueous solutions of ionic compounds at 25°c. P b c r o 4 (s) ⇋ p b 2 + (a q) + c r o 4 2 −. The solubility of an ionic compound decreases. Lead Chromate Ksp.
From www.indiamart.com
LEAD CHROMATE 98 EXTRA PURE, 500 GRAM, White Powder at Rs 2000/kg in Lead Chromate Ksp In a saturated solution of lead chromate the solid is in equilibrium with its ions: P b c r o 4 (s) ⇋ p b 2 + (a q) + c r o 4 2 −. Write the balanced chemical equation for the dissolution of lead chromate in water. Solubility product constants near 25 °c. The solubility of an ionic. Lead Chromate Ksp.
From www.labdepotinc.com
Lead Chromate, Powder, Reagent, ACS Lead Chromate Ksp The equilibrium constant, ksp, for aqueous solutions of ionic compounds at 25°c. Solubility product constants near 25 °c. Ionic compound formula k sp. A common ion is any ion in the solution that is common to the. In a saturated solution of lead chromate the solid is in equilibrium with its ions: P b c r o 4 (s) ⇋. Lead Chromate Ksp.
From slideplayer.com
Solubility Product Constant (Ksp) ppt download Lead Chromate Ksp Write the balanced chemical equation for the dissolution of lead chromate in water. For ionic compounds with limited solubility in water, an. The plots shown below illustrate the common ion effect for silver chromate as the chromate ion concentration is increased by addition of a. A common ion is any ion in the solution that is common to the. P. Lead Chromate Ksp.
From byjus.com
determine the solubilities of silverchromate(Ksp=1.1×10∧ 12), barium Lead Chromate Ksp Solubility product constants near 25 °c. For ionic compounds with limited solubility in water, an. In a saturated solution of lead chromate the solid is in equilibrium with its ions: Write the balanced chemical equation for the dissolution of lead chromate in water. The plots shown below illustrate the common ion effect for silver chromate as the chromate ion concentration. Lead Chromate Ksp.
From cameo.mfa.org
Lead chromate, basic CAMEO Lead Chromate Ksp For ionic compounds with limited solubility in water, an. Solubility product constants near 25 °c. Ionic compound formula k sp. A common ion is any ion in the solution that is common to the. P b c r o 4 (s) ⇋ p b 2 + (a q) + c r o 4 2 −. The solubility of an ionic. Lead Chromate Ksp.
From poliex.me
LEAD CHROMATE PbCrO4 Poliex Lead Chromate Ksp The solubility of an ionic compound decreases in the presence of a common ion. For ionic compounds with limited solubility in water, an. P b c r o 4 (s) ⇋ p b 2 + (a q) + c r o 4 2 −. Solubility product constants near 25 °c. In a saturated solution of lead chromate the solid is. Lead Chromate Ksp.
From www.numerade.com
SOLVED The solubility of lead chromate (PbCrO4) compound is 4.5 x 10 Lead Chromate Ksp P b c r o 4 (s) ⇋ p b 2 + (a q) + c r o 4 2 −. Solubility product constants near 25 °c. Ionic compound formula k sp. For ionic compounds with limited solubility in water, an. In a saturated solution of lead chromate the solid is in equilibrium with its ions: The equilibrium constant, ksp,. Lead Chromate Ksp.
From dir.indiamart.com
Lead Chromate at Best Price in India Lead Chromate Ksp Write the balanced chemical equation for the dissolution of lead chromate in water. The solubility of an ionic compound decreases in the presence of a common ion. In a saturated solution of lead chromate the solid is in equilibrium with its ions: For ionic compounds with limited solubility in water, an. Ionic compound formula k sp. Solubility product constants near. Lead Chromate Ksp.