Husband And Wife Tenancy . the husband and wife may both contribute towards the purchase price or only one party may pay for it. Spouses typically acquire title as “tenants by the entireties,” which only applies to spouses. — two ways to hold title together are joint tenancy and tenancy in common agreement. only husband and wife can be tenants by the entireties, so a deed purporting to create tenancy by the entireties in unmarried. Each tenant has an equal ownership interest in the property. — simon usher and his wife lynne have now been awarded just over $18,000 after taking their landlord and two. — if you own joint property with a spouse in a state with tenancy by the entirety, you should check to make sure. One tenant cannot convey their. — each spouse individually owns the entire property, and they have joint control over it as tenants by the entirety. — in new york, when a married couple purchases real estate the interest that the married couple has in the property. — instead of crimes, the tactics used by the “professional tenants” have been viewed as matters for housing court. — a joint tenancy with rights of survivorship (jtwros) is a type of joint ownership in which two or more people hold title to an asset. If the house was owned as tbe, then wife’s will doesn’t matter, as soon as wife died the house transferred 100% to her surviving spouse without going through probate. — tenancy by the entirety (tbe) is a type of property ownership that’s reserved specifically for married couples. “the ‘joint tenant’ approach is the least common and usually must include the language ‘with right of survivorship and not as tenants in common.’.
from www.uslegalforms.com
In general this means that both parties own 100% of the property and there is no divided interest as there is with tic. “the ‘joint tenant’ approach is the least common and usually must include the language ‘with right of survivorship and not as tenants in common.’. — each spouse individually owns the entire property, and they have joint control over it as tenants by the entirety. These forms of real property ownership agreements each have advantages and disadvantages depending on your individual needs and circumstances. They might be related or unrelated. only husband and wife can be tenants by the entireties, so a deed purporting to create tenancy by the entireties in unmarried. — some of the primary advantages to married couples in holding property as tenants by the entirety are,. the family won $18,000 in damages at the tenancy tribunal. The landlord wants a rehearing. the husband and wife may both contribute towards the purchase price or only one party may pay for it.
District of Columbia Warranty Deed for Husband and Wife Converting
Husband And Wife Tenancy The main differences between these joint ownership types are: In general this means that both parties own 100% of the property and there is no divided interest as there is with tic. — tenancy by the entirety (tbe) is a type of property ownership that’s reserved specifically for married couples. the husband and wife may both contribute towards the purchase price or only one party may pay for it. — for example, if a husband and wife or parent and child jointly own property, then holding title as joint tenants is. — simon usher and his wife lynne have now been awarded just over $18,000 after taking their landlord and two. If the house was owned as tbe, then wife’s will doesn’t matter, as soon as wife died the house transferred 100% to her surviving spouse without going through probate. Each tenant has an equal ownership interest in the property. tenancy by the entirety prevents either spouse from conveying or mortgaging their interest in the property without consent of. — tenancy by the entirety is based on the societal value of protecting the family. These forms of real property ownership agreements each have advantages and disadvantages depending on your individual needs and circumstances. — if you own joint property with a spouse in a state with tenancy by the entirety, you should check to make sure. — in new york, when a married couple purchases real estate the interest that the married couple has in the property. joint tenants (jt), or joint tenants with rights of survivorship (jtwros), are the forms of ownership most commonly used by married couples. For example, two tenants would each have a 50% interest, and four tenants would each have a 25% interest. — instead of crimes, the tactics used by the “professional tenants” have been viewed as matters for housing court.
From www.dochub.com
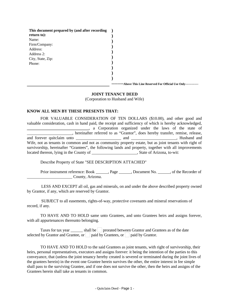
Joint Tenancy Deed from Corporation to Husband and Wife Arizona Fill Husband And Wife Tenancy the husband and wife may both contribute towards the purchase price or only one party may pay for it. tenants by entireties is a legal fiction in which a married couple are viewed as one entity for the purposes of owning real. — tenancy by the entirety (tbe) is a type of property ownership that’s reserved specifically. Husband And Wife Tenancy.
From www.airslate.com
Integrate Warranty Deed For Husband And Wife Converting Property From Husband And Wife Tenancy only husband and wife can be tenants by the entireties, so a deed purporting to create tenancy by the entireties in unmarried. — there are three common ways to title property between spouses. the husband and wife may both contribute towards the purchase price or only one party may pay for it. Spouses typically acquire title as. Husband And Wife Tenancy.
From allurecare.com.au
& Tenancy NDIS Short Term Husband And Wife Tenancy tenants by entireties is a legal fiction in which a married couple are viewed as one entity for the purposes of owning real. the husband and wife may both contribute towards the purchase price or only one party may pay for it. the family won $18,000 in damages at the tenancy tribunal. — in new york,. Husband And Wife Tenancy.
From www.uslegalforms.com
Oregon Warranty Deed for Husband and Wife Converting Property from Husband And Wife Tenancy In general this means that both parties own 100% of the property and there is no divided interest as there is with tic. Husband and wife are treated as a single legal entity. “the ‘joint tenant’ approach is the least common and usually must include the language ‘with right of survivorship and not as tenants in common.’. only husband. Husband And Wife Tenancy.
From www.uslegalforms.com
Boston Massachusetts Warranty Deed for Husband and Wife Converting Husband And Wife Tenancy — some of the primary advantages to married couples in holding property as tenants by the entirety are,. These forms of real property ownership agreements each have advantages and disadvantages depending on your individual needs and circumstances. — with title in husband and wife where one spouse is deceased, a death certificate for the deceased spouse, along. If. Husband And Wife Tenancy.
From www.dochub.com
Warranty Deed for Husband and Wife Converting Property from Tenants in Husband And Wife Tenancy only husband and wife can be tenants by the entireties, so a deed purporting to create tenancy by the entireties in unmarried. — simon usher and his wife lynne have now been awarded just over $18,000 after taking their landlord and two. — a joint tenancy with rights of survivorship (jtwros) is a type of joint ownership. Husband And Wife Tenancy.
From www.dochub.com
Warranty Deed for Husband and Wife Converting Property from Tenants in Husband And Wife Tenancy — with title in husband and wife where one spouse is deceased, a death certificate for the deceased spouse, along. — tenancy by the entirety is based on the societal value of protecting the family. If the house was owned as tbe, then wife’s will doesn’t matter, as soon as wife died the house transferred 100% to her. Husband And Wife Tenancy.
From www.uslegalforms.com
Nassau New York Warranty Deed for Husband and Wife Converting Property Husband And Wife Tenancy If the house was owned as tbe, then wife’s will doesn’t matter, as soon as wife died the house transferred 100% to her surviving spouse without going through probate. — simon usher and his wife lynne have now been awarded just over $18,000 after taking their landlord and two. For example, two tenants would each have a 50% interest,. Husband And Wife Tenancy.
From www.uslegalforms.com
Pima Arizona Joint Tenancy Deed from Individual to Husband and Wife Husband And Wife Tenancy tenancy by the entirety prevents either spouse from conveying or mortgaging their interest in the property without consent of. It doesn’t apply to other types of relationships, such as relatives, friends. — there are three common ways to title property between spouses. If the house was owned as tbe, then wife’s will doesn’t matter, as soon as wife. Husband And Wife Tenancy.
From www.uslegalforms.com
Fullerton California Warranty Deed for Husband and Wife Converting Husband And Wife Tenancy — two ways to hold title together are joint tenancy and tenancy in common agreement. The main differences between these joint ownership types are: tenants by entireties is a legal fiction in which a married couple are viewed as one entity for the purposes of owning real. — joint tenants with the right of survivorship. —. Husband And Wife Tenancy.
From www.uslegalforms.com
New York Warranty Deed for Husband and Wife Converting Property from Husband And Wife Tenancy — there are three common ways to title property between spouses. One tenant cannot convey their. Husband and wife are treated as a single legal entity. — two ways to hold title together are joint tenancy and tenancy in common agreement. — with title in husband and wife where one spouse is deceased, a death certificate for. Husband And Wife Tenancy.
From smithgriffith.com
Joint Tenancy and Estate Planning Smith & Griffith Real Estate Team Husband And Wife Tenancy — to create a joint tenancy with the right of survivorship, all you need to do is put the right words on the title document,. “the ‘joint tenant’ approach is the least common and usually must include the language ‘with right of survivorship and not as tenants in common.’. — each spouse individually owns the entire property, and. Husband And Wife Tenancy.
From www.uslegalforms.com
Tempe Arizona Joint Tenancy Deed from Individual to Husband and Wife Husband And Wife Tenancy If the house was owned as tenants in common, then wife could sign a will giving her 50% share of the house to her daughter from a prior marriage. tenancy by the entirety prevents either spouse from conveying or mortgaging their interest in the property without consent of. They might be related or unrelated. These forms of real property. Husband And Wife Tenancy.
From www.uslegalforms.com
Fullerton California Warranty Deed for Husband and Wife Converting Husband And Wife Tenancy For example, two tenants would each have a 50% interest, and four tenants would each have a 25% interest. Each tenant has an equal ownership interest in the property. — simon usher and his wife lynne have now been awarded just over $18,000 after taking their landlord and two. One tenant cannot convey their. “the ‘joint tenant’ approach is. Husband And Wife Tenancy.
From www.dochub.com
Warranty Deed for Husband and Wife Converting Property from Tenants in Husband And Wife Tenancy joint tenants (jt), or joint tenants with rights of survivorship (jtwros), are the forms of ownership most commonly used by married couples. — with title in husband and wife where one spouse is deceased, a death certificate for the deceased spouse, along. For example, two tenants would each have a 50% interest, and four tenants would each have. Husband And Wife Tenancy.
From www.uslegalforms.com
District of Columbia Warranty Deed for Husband and Wife Converting Husband And Wife Tenancy Each tenant has an equal ownership interest in the property. If the house was owned as tbe, then wife’s will doesn’t matter, as soon as wife died the house transferred 100% to her surviving spouse without going through probate. tenants by entireties is a legal fiction in which a married couple are viewed as one entity for the purposes. Husband And Wife Tenancy.
From www.dochub.com
Warranty Deed for Husband and Wife Converting Property from Tenants in Husband And Wife Tenancy — tenancy by the entirety is based on the societal value of protecting the family. In general this means that both parties own 100% of the property and there is no divided interest as there is with tic. Husband and wife are treated as a single legal entity. the main difference between joint tenants vs community property with. Husband And Wife Tenancy.
From www.uslegalforms.com
Arizona Joint Tenancy Deed from Husband and Wife to Husband and Wife Husband And Wife Tenancy For example, two tenants would each have a 50% interest, and four tenants would each have a 25% interest. the main difference between joint tenants vs community property with right of survivorship lies in how the property is. — to create a joint tenancy with the right of survivorship, all you need to do is put the right. Husband And Wife Tenancy.
From stock.adobe.com
Portrait of excited new landlords, real estate and tenancy. Valentine's Husband And Wife Tenancy — each spouse individually owns the entire property, and they have joint control over it as tenants by the entirety. the main difference between joint tenants vs community property with right of survivorship lies in how the property is. — in new york, when a married couple purchases real estate the interest that the married couple has. Husband And Wife Tenancy.
From www.airslate.com
Update Warranty Deed For Husband And Wife Converting Property From Husband And Wife Tenancy The main differences between these joint ownership types are: joint tenants (jt), or joint tenants with rights of survivorship (jtwros), are the forms of ownership most commonly used by married couples. In general this means that both parties own 100% of the property and there is no divided interest as there is with tic. — for example, if. Husband And Wife Tenancy.
From www.uslegalforms.com
Tucson Arizona Joint Tenancy Deed from Husband and Wife to Husband and Husband And Wife Tenancy — in new york, when a married couple purchases real estate the interest that the married couple has in the property. For example, two tenants would each have a 50% interest, and four tenants would each have a 25% interest. — to create a joint tenancy with the right of survivorship, all you need to do is put. Husband And Wife Tenancy.
From www.uslegalforms.com
Arizona Joint Tenancy Deed from Husband and Wife to Husband and Wife Husband And Wife Tenancy — some of the primary advantages to married couples in holding property as tenants by the entirety are,. the family won $18,000 in damages at the tenancy tribunal. — simon usher and his wife lynne have now been awarded just over $18,000 after taking their landlord and two. One tenant cannot convey their. tenants by entireties. Husband And Wife Tenancy.
From www.airslate.com
Update Warranty Deed For Husband And Wife Converting Property From Husband And Wife Tenancy The main differences between these joint ownership types are: tenancy by the entirety prevents either spouse from conveying or mortgaging their interest in the property without consent of. the main difference between joint tenants vs community property with right of survivorship lies in how the property is. These forms of real property ownership agreements each have advantages and. Husband And Wife Tenancy.
From www.uslegalforms.com
North Carolina Warranty Deed for Husband and Wife Converting Property Husband And Wife Tenancy Each tenant has an equal ownership interest in the property. the main difference between joint tenants vs community property with right of survivorship lies in how the property is. — simon usher and his wife lynne have now been awarded just over $18,000 after taking their landlord and two. — in new york, when a married couple. Husband And Wife Tenancy.
From www.uslegalforms.com
Orlando Florida Warranty Deed for Husband and Wife Converting Property Husband And Wife Tenancy Husband and wife are treated as a single legal entity. — two ways to hold title together are joint tenancy and tenancy in common agreement. For example, two tenants would each have a 50% interest, and four tenants would each have a 25% interest. The main differences between these joint ownership types are: — in new york, when. Husband And Wife Tenancy.
From www.uslegalforms.com
Connecticut Warranty Deed for Husband and Wife (Tenancy in Common to Husband And Wife Tenancy These forms of real property ownership agreements each have advantages and disadvantages depending on your individual needs and circumstances. — tenancy by the entirety (tbe) is a type of property ownership that’s reserved specifically for married couples. Spouses typically acquire title as “tenants by the entireties,” which only applies to spouses. — in new york, when a married. Husband And Wife Tenancy.
From www.uslegalforms.com
Connecticut Warranty Deed for Husband and Wife (Tenancy in Common to Husband And Wife Tenancy In general this means that both parties own 100% of the property and there is no divided interest as there is with tic. They might be related or unrelated. — to create a joint tenancy with the right of survivorship, all you need to do is put the right words on the title document,. — simon usher and. Husband And Wife Tenancy.
From www.pdffiller.com
Fillable Online District of Columbia Warranty Deed for Husband and Wife Husband And Wife Tenancy It doesn’t apply to other types of relationships, such as relatives, friends. — with title in husband and wife where one spouse is deceased, a death certificate for the deceased spouse, along. the main difference between joint tenants vs community property with right of survivorship lies in how the property is. — there are three common ways. Husband And Wife Tenancy.
From www.uslegalforms.com
Connecticut Warranty Deed for Husband and Wife (Tenancy in Common to Husband And Wife Tenancy the main difference between joint tenants vs community property with right of survivorship lies in how the property is. In general this means that both parties own 100% of the property and there is no divided interest as there is with tic. joint tenants (jt), or joint tenants with rights of survivorship (jtwros), are the forms of ownership. Husband And Wife Tenancy.
From www.shutterstock.com
355 Tenancy Support Images, Stock Photos & Vectors Shutterstock Husband And Wife Tenancy only husband and wife can be tenants by the entireties, so a deed purporting to create tenancy by the entireties in unmarried. — with title in husband and wife where one spouse is deceased, a death certificate for the deceased spouse, along. These forms of real property ownership agreements each have advantages and disadvantages depending on your individual. Husband And Wife Tenancy.
From sbsolicitors.com.au
Joint Tenants vs Tenants in Common The Difference Explained Husband And Wife Tenancy tenancy by the entirety prevents either spouse from conveying or mortgaging their interest in the property without consent of. If the house was owned as tenants in common, then wife could sign a will giving her 50% share of the house to her daughter from a prior marriage. — instead of crimes, the tactics used by the “professional. Husband And Wife Tenancy.
From www.signnow.com
Warranty Deed for Husband and Wife Converting Property from Tenants in Husband And Wife Tenancy — to create a joint tenancy with the right of survivorship, all you need to do is put the right words on the title document,. — with title in husband and wife where one spouse is deceased, a death certificate for the deceased spouse, along. — there are three common ways to title property between spouses. Spouses. Husband And Wife Tenancy.
From www.uslegalforms.com
District of Columbia Warranty Deed for Husband and Wife Converting Husband And Wife Tenancy — in new york, when a married couple purchases real estate the interest that the married couple has in the property. tenants by entireties is a legal fiction in which a married couple are viewed as one entity for the purposes of owning real. — joint tenants with the right of survivorship. — tenancy by the. Husband And Wife Tenancy.
From slideplayer.com
Ownership Lesson Two. ppt download Husband And Wife Tenancy Spouses typically acquire title as “tenants by the entireties,” which only applies to spouses. — husband died in 2020. — in new york, when a married couple purchases real estate the interest that the married couple has in the property. the family won $18,000 in damages at the tenancy tribunal. joint tenants (jt), or joint tenants. Husband And Wife Tenancy.
From www.uslegalforms.com
Alabama Warranty Deed for Husband and Wife Converting Property from Husband And Wife Tenancy — to create a joint tenancy with the right of survivorship, all you need to do is put the right words on the title document,. If the house was owned as tenants in common, then wife could sign a will giving her 50% share of the house to her daughter from a prior marriage. “the ‘joint tenant’ approach is. Husband And Wife Tenancy.