Gas Detector Calibration Procedure Pdf . Salways refer to the product manual first! The gas sensor calibration kit and replacement cylinders allow for field calibration of most fixed and portable gas. » where the user calibrates any sensor using a different gas, responsibility for dentifying and. Gases for hcl and hf sensor calibration and bump testing. A calibration check is a quantitative test with a known concentration of gas that demonstrates the sensor responds to gas within the. Verify sensor performance by frequent calibration. Syou must use the proper calibration cap when. This document is intended to provide a general guideline for bump testing and calibration of honeywell analytics gas detection products. A rapid change of sensitivity, the calibration interval shall be reduced. The following gas detector tests should only. Calibration handbook 7 general calibration notes when calibrating a detector. Before use, ensure that any alarm delay set is suitable for the. The safest course of action is to test the instrument with a known concentration of gas before any daily period of use.
from www.youtube.com
Salways refer to the product manual first! A rapid change of sensitivity, the calibration interval shall be reduced. Gases for hcl and hf sensor calibration and bump testing. The following gas detector tests should only. This document is intended to provide a general guideline for bump testing and calibration of honeywell analytics gas detection products. Verify sensor performance by frequent calibration. The safest course of action is to test the instrument with a known concentration of gas before any daily period of use. » where the user calibrates any sensor using a different gas, responsibility for dentifying and. Syou must use the proper calibration cap when. The gas sensor calibration kit and replacement cylinders allow for field calibration of most fixed and portable gas.
How to Calibrate a BW Gas Detector Demonstration YouTube
Gas Detector Calibration Procedure Pdf » where the user calibrates any sensor using a different gas, responsibility for dentifying and. Syou must use the proper calibration cap when. The safest course of action is to test the instrument with a known concentration of gas before any daily period of use. Gases for hcl and hf sensor calibration and bump testing. This document is intended to provide a general guideline for bump testing and calibration of honeywell analytics gas detection products. A rapid change of sensitivity, the calibration interval shall be reduced. Salways refer to the product manual first! » where the user calibrates any sensor using a different gas, responsibility for dentifying and. Calibration handbook 7 general calibration notes when calibrating a detector. Verify sensor performance by frequent calibration. Before use, ensure that any alarm delay set is suitable for the. The gas sensor calibration kit and replacement cylinders allow for field calibration of most fixed and portable gas. The following gas detector tests should only. A calibration check is a quantitative test with a known concentration of gas that demonstrates the sensor responds to gas within the.
From www.electricalvolt.com
Gas Detector Calibration Procedure Electrical Volt Gas Detector Calibration Procedure Pdf Syou must use the proper calibration cap when. A rapid change of sensitivity, the calibration interval shall be reduced. » where the user calibrates any sensor using a different gas, responsibility for dentifying and. The gas sensor calibration kit and replacement cylinders allow for field calibration of most fixed and portable gas. The following gas detector tests should only. The. Gas Detector Calibration Procedure Pdf.
From www.scribd.com
Portable Gas Detectors Calibration Procedure PDF Gas Detector Calibration Procedure Pdf Syou must use the proper calibration cap when. The gas sensor calibration kit and replacement cylinders allow for field calibration of most fixed and portable gas. A rapid change of sensitivity, the calibration interval shall be reduced. Gases for hcl and hf sensor calibration and bump testing. » where the user calibrates any sensor using a different gas, responsibility for. Gas Detector Calibration Procedure Pdf.
From www.youtube.com
Gas Detector calibration loop test procedure YouTube Gas Detector Calibration Procedure Pdf Syou must use the proper calibration cap when. This document is intended to provide a general guideline for bump testing and calibration of honeywell analytics gas detection products. A rapid change of sensitivity, the calibration interval shall be reduced. A calibration check is a quantitative test with a known concentration of gas that demonstrates the sensor responds to gas within. Gas Detector Calibration Procedure Pdf.
From nevadanano.com
OSHA Guidelines for Gas Detector Calibration NevadaNano Gas Detector Calibration Procedure Pdf This document is intended to provide a general guideline for bump testing and calibration of honeywell analytics gas detection products. The safest course of action is to test the instrument with a known concentration of gas before any daily period of use. A calibration check is a quantitative test with a known concentration of gas that demonstrates the sensor responds. Gas Detector Calibration Procedure Pdf.
From www.scribd.com
FIXED GAS DETECTION CALIBRATION TEST CERT PDF Gas Detector Calibration Procedure Pdf The safest course of action is to test the instrument with a known concentration of gas before any daily period of use. Calibration handbook 7 general calibration notes when calibrating a detector. Syou must use the proper calibration cap when. Verify sensor performance by frequent calibration. A rapid change of sensitivity, the calibration interval shall be reduced. The gas sensor. Gas Detector Calibration Procedure Pdf.
From instrumentationtools.com
Hydrogen Sulfide Gas Detector Calibration Procedure Gas Detector Calibration Procedure Pdf Before use, ensure that any alarm delay set is suitable for the. Syou must use the proper calibration cap when. Gases for hcl and hf sensor calibration and bump testing. » where the user calibrates any sensor using a different gas, responsibility for dentifying and. Verify sensor performance by frequent calibration. The safest course of action is to test the. Gas Detector Calibration Procedure Pdf.
From instrumentationtools.com
Portable Gas Detectors Calibration Procedure Inst Tools Gas Detector Calibration Procedure Pdf Gases for hcl and hf sensor calibration and bump testing. Verify sensor performance by frequent calibration. Before use, ensure that any alarm delay set is suitable for the. » where the user calibrates any sensor using a different gas, responsibility for dentifying and. The gas sensor calibration kit and replacement cylinders allow for field calibration of most fixed and portable. Gas Detector Calibration Procedure Pdf.
From www.frontline-safety.co.uk
How Do I Calibrate the Crowcon T4 MultiGas Detector? Gas Detector Calibration Procedure Pdf The gas sensor calibration kit and replacement cylinders allow for field calibration of most fixed and portable gas. A rapid change of sensitivity, the calibration interval shall be reduced. Before use, ensure that any alarm delay set is suitable for the. The following gas detector tests should only. Salways refer to the product manual first! This document is intended to. Gas Detector Calibration Procedure Pdf.
From mavink.com
Gas Monitor Calibration Log Sheet Gas Detector Calibration Procedure Pdf Calibration handbook 7 general calibration notes when calibrating a detector. The safest course of action is to test the instrument with a known concentration of gas before any daily period of use. The following gas detector tests should only. This document is intended to provide a general guideline for bump testing and calibration of honeywell analytics gas detection products. ». Gas Detector Calibration Procedure Pdf.
From www.youtube.com
How to download Calibration Report for Draeger Xam 2500 Portable Gas Gas Detector Calibration Procedure Pdf The safest course of action is to test the instrument with a known concentration of gas before any daily period of use. A calibration check is a quantitative test with a known concentration of gas that demonstrates the sensor responds to gas within the. Gases for hcl and hf sensor calibration and bump testing. A rapid change of sensitivity, the. Gas Detector Calibration Procedure Pdf.
From www.youtube.com
Gas Detector Calibration XNX Honeywell gas detector YouTube Gas Detector Calibration Procedure Pdf A rapid change of sensitivity, the calibration interval shall be reduced. Salways refer to the product manual first! The gas sensor calibration kit and replacement cylinders allow for field calibration of most fixed and portable gas. Syou must use the proper calibration cap when. » where the user calibrates any sensor using a different gas, responsibility for dentifying and. Before. Gas Detector Calibration Procedure Pdf.
From instrumentationtools.com
Infrared Hydrocarbon Gas Detector Calibration Procedure Gas Detector Calibration Procedure Pdf Before use, ensure that any alarm delay set is suitable for the. Syou must use the proper calibration cap when. Salways refer to the product manual first! Verify sensor performance by frequent calibration. This document is intended to provide a general guideline for bump testing and calibration of honeywell analytics gas detection products. A rapid change of sensitivity, the calibration. Gas Detector Calibration Procedure Pdf.
From www.frontline-safety.co.uk
Gas Detector Calibration Why We Do It · Frontline Safety Blog Gas Detector Calibration Procedure Pdf The following gas detector tests should only. The gas sensor calibration kit and replacement cylinders allow for field calibration of most fixed and portable gas. Calibration handbook 7 general calibration notes when calibrating a detector. Salways refer to the product manual first! Verify sensor performance by frequent calibration. A rapid change of sensitivity, the calibration interval shall be reduced. ». Gas Detector Calibration Procedure Pdf.
From www.youtube.com
Gas Detector calibration Gas Detector Honeywell XNX YouTube Gas Detector Calibration Procedure Pdf A rapid change of sensitivity, the calibration interval shall be reduced. Gases for hcl and hf sensor calibration and bump testing. The safest course of action is to test the instrument with a known concentration of gas before any daily period of use. Before use, ensure that any alarm delay set is suitable for the. The following gas detector tests. Gas Detector Calibration Procedure Pdf.
From www.frontline-safety.co.uk
How Do I Calibrate My Gas Detector? Gas Detector Calibration Procedure Pdf The safest course of action is to test the instrument with a known concentration of gas before any daily period of use. A calibration check is a quantitative test with a known concentration of gas that demonstrates the sensor responds to gas within the. The gas sensor calibration kit and replacement cylinders allow for field calibration of most fixed and. Gas Detector Calibration Procedure Pdf.
From www.youtube.com
Gas detector calibration procedure YouTube Gas Detector Calibration Procedure Pdf » where the user calibrates any sensor using a different gas, responsibility for dentifying and. This document is intended to provide a general guideline for bump testing and calibration of honeywell analytics gas detection products. Verify sensor performance by frequent calibration. Gases for hcl and hf sensor calibration and bump testing. A rapid change of sensitivity, the calibration interval shall. Gas Detector Calibration Procedure Pdf.
From civilmint.com
How To Calibrate H2S Gas Detector Step By step Procedure Gas Detector Calibration Procedure Pdf Gases for hcl and hf sensor calibration and bump testing. A rapid change of sensitivity, the calibration interval shall be reduced. Syou must use the proper calibration cap when. This document is intended to provide a general guideline for bump testing and calibration of honeywell analytics gas detection products. A calibration check is a quantitative test with a known concentration. Gas Detector Calibration Procedure Pdf.
From www.scribd.com
Fixed Gas Detectors Calibration Procedure PDF Gas Detector Calibration Procedure Pdf Gases for hcl and hf sensor calibration and bump testing. A calibration check is a quantitative test with a known concentration of gas that demonstrates the sensor responds to gas within the. The following gas detector tests should only. » where the user calibrates any sensor using a different gas, responsibility for dentifying and. The gas sensor calibration kit and. Gas Detector Calibration Procedure Pdf.
From www.frontline-safety.co.uk
How Do I Calibrate My Gas Detector? Gas Detector Calibration Procedure Pdf This document is intended to provide a general guideline for bump testing and calibration of honeywell analytics gas detection products. Gases for hcl and hf sensor calibration and bump testing. » where the user calibrates any sensor using a different gas, responsibility for dentifying and. Verify sensor performance by frequent calibration. Calibration handbook 7 general calibration notes when calibrating a. Gas Detector Calibration Procedure Pdf.
From www.frontline-safety.co.uk
How Do I Calibrate My Gas Detector? · Frontline Safety Blog Gas Detector Calibration Procedure Pdf The safest course of action is to test the instrument with a known concentration of gas before any daily period of use. Calibration handbook 7 general calibration notes when calibrating a detector. Gases for hcl and hf sensor calibration and bump testing. Verify sensor performance by frequent calibration. A calibration check is a quantitative test with a known concentration of. Gas Detector Calibration Procedure Pdf.
From acesgroup.com.sg
GMI PS200 Auto Bump Test & Calibration Station Gas Detector Calibration Procedure Pdf The following gas detector tests should only. A calibration check is a quantitative test with a known concentration of gas that demonstrates the sensor responds to gas within the. Verify sensor performance by frequent calibration. This document is intended to provide a general guideline for bump testing and calibration of honeywell analytics gas detection products. Before use, ensure that any. Gas Detector Calibration Procedure Pdf.
From www.youtube.com
How to Calibrate a BW Gas Detector Demonstration YouTube Gas Detector Calibration Procedure Pdf The gas sensor calibration kit and replacement cylinders allow for field calibration of most fixed and portable gas. A rapid change of sensitivity, the calibration interval shall be reduced. A calibration check is a quantitative test with a known concentration of gas that demonstrates the sensor responds to gas within the. Syou must use the proper calibration cap when. Calibration. Gas Detector Calibration Procedure Pdf.
From www.pdffiller.com
Gas Detector Calibration Record Sheet Fill Online, Printable Gas Detector Calibration Procedure Pdf Calibration handbook 7 general calibration notes when calibrating a detector. Syou must use the proper calibration cap when. » where the user calibrates any sensor using a different gas, responsibility for dentifying and. A calibration check is a quantitative test with a known concentration of gas that demonstrates the sensor responds to gas within the. Verify sensor performance by frequent. Gas Detector Calibration Procedure Pdf.
From www.gasdetectionaustralia.com.au
Gas Detector Calibration Service Gas Detection Australia Gas Detector Calibration Procedure Pdf Salways refer to the product manual first! The gas sensor calibration kit and replacement cylinders allow for field calibration of most fixed and portable gas. Before use, ensure that any alarm delay set is suitable for the. Calibration handbook 7 general calibration notes when calibrating a detector. A rapid change of sensitivity, the calibration interval shall be reduced. Syou must. Gas Detector Calibration Procedure Pdf.
From wateria.in
Gas Detector Calibration Wateria Gas Detector Calibration Procedure Pdf Syou must use the proper calibration cap when. Salways refer to the product manual first! Verify sensor performance by frequent calibration. » where the user calibrates any sensor using a different gas, responsibility for dentifying and. A calibration check is a quantitative test with a known concentration of gas that demonstrates the sensor responds to gas within the. The following. Gas Detector Calibration Procedure Pdf.
From www.scribd.com
Calibration Procedure for Oxygen Analyzer OXY Z StepbyStep Gas Detector Calibration Procedure Pdf The following gas detector tests should only. Calibration handbook 7 general calibration notes when calibrating a detector. The safest course of action is to test the instrument with a known concentration of gas before any daily period of use. This document is intended to provide a general guideline for bump testing and calibration of honeywell analytics gas detection products. ». Gas Detector Calibration Procedure Pdf.
From mmacalabs.com
Gas Detectors Calibration & Testing Mmacalabs Gas Detector Calibration Procedure Pdf Calibration handbook 7 general calibration notes when calibrating a detector. A rapid change of sensitivity, the calibration interval shall be reduced. The safest course of action is to test the instrument with a known concentration of gas before any daily period of use. Gases for hcl and hf sensor calibration and bump testing. » where the user calibrates any sensor. Gas Detector Calibration Procedure Pdf.
From www.electricalvolt.com
Gas Detector Calibration Procedure Electrical Volt Gas Detector Calibration Procedure Pdf Gases for hcl and hf sensor calibration and bump testing. This document is intended to provide a general guideline for bump testing and calibration of honeywell analytics gas detection products. A rapid change of sensitivity, the calibration interval shall be reduced. Before use, ensure that any alarm delay set is suitable for the. Syou must use the proper calibration cap. Gas Detector Calibration Procedure Pdf.
From www.scribd.com
10Single Gas Detectors Calibration PDF Sensor Calibration Gas Detector Calibration Procedure Pdf Salways refer to the product manual first! The safest course of action is to test the instrument with a known concentration of gas before any daily period of use. Before use, ensure that any alarm delay set is suitable for the. A calibration check is a quantitative test with a known concentration of gas that demonstrates the sensor responds to. Gas Detector Calibration Procedure Pdf.
From www.linkedfeed.com
HowTos 5 Steps In Calibrating A Gas Detector Gas Detector Calibration Procedure Pdf A rapid change of sensitivity, the calibration interval shall be reduced. Verify sensor performance by frequent calibration. Syou must use the proper calibration cap when. This document is intended to provide a general guideline for bump testing and calibration of honeywell analytics gas detection products. Salways refer to the product manual first! The safest course of action is to test. Gas Detector Calibration Procedure Pdf.
From www.safetyquip.com.au
Gas Detector Calibration and Repairs SafetyQuip Gas Detector Calibration Procedure Pdf The gas sensor calibration kit and replacement cylinders allow for field calibration of most fixed and portable gas. Salways refer to the product manual first! A calibration check is a quantitative test with a known concentration of gas that demonstrates the sensor responds to gas within the. The following gas detector tests should only. Syou must use the proper calibration. Gas Detector Calibration Procedure Pdf.
From www.youtube.com
Manual Calibration Procedure for MSA Altair 4XR Portable Multi Gas Gas Detector Calibration Procedure Pdf Before use, ensure that any alarm delay set is suitable for the. A calibration check is a quantitative test with a known concentration of gas that demonstrates the sensor responds to gas within the. Verify sensor performance by frequent calibration. The safest course of action is to test the instrument with a known concentration of gas before any daily period. Gas Detector Calibration Procedure Pdf.
From automationcommunity.com
H2S Gas Detector Calibration Procedure Gas Detector Calibration Procedure Pdf This document is intended to provide a general guideline for bump testing and calibration of honeywell analytics gas detection products. Before use, ensure that any alarm delay set is suitable for the. Verify sensor performance by frequent calibration. Salways refer to the product manual first! Calibration handbook 7 general calibration notes when calibrating a detector. Gases for hcl and hf. Gas Detector Calibration Procedure Pdf.
From www.scribd.com
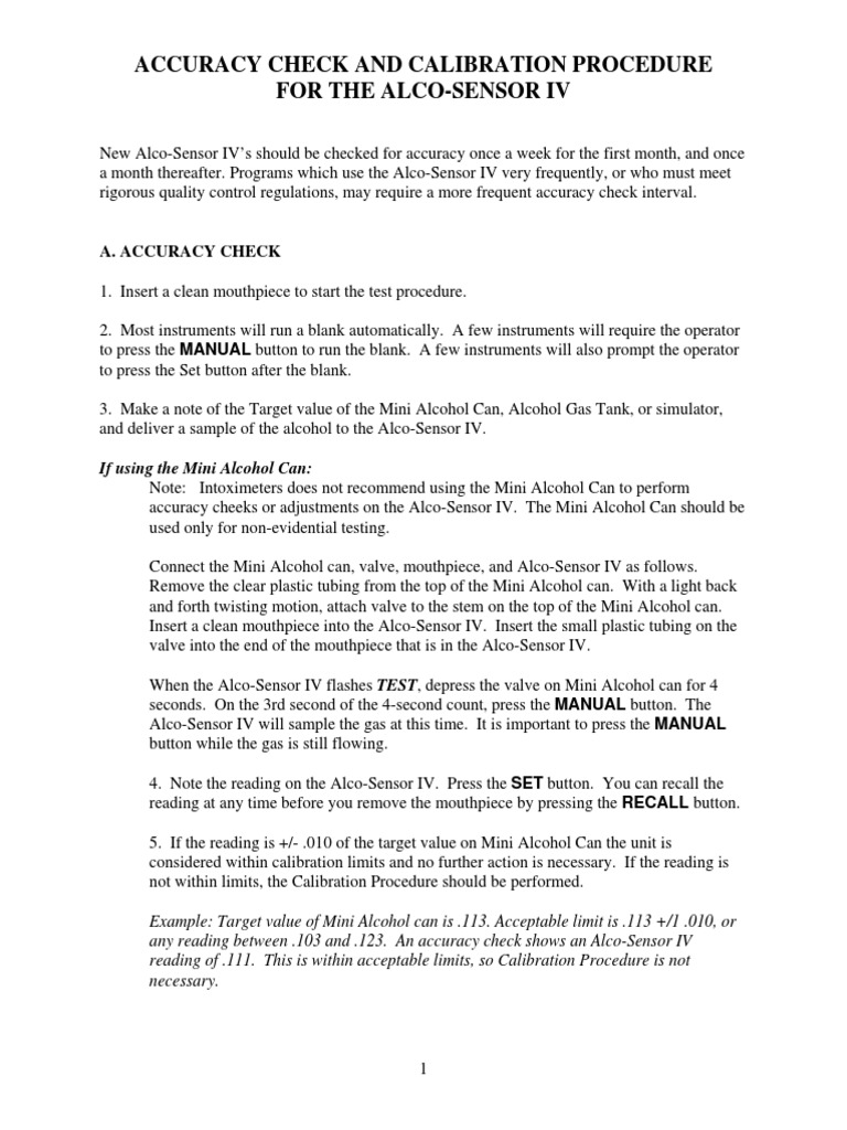
Calibration Instructions Alco Sensor IV PDF Calibration Valve Gas Detector Calibration Procedure Pdf » where the user calibrates any sensor using a different gas, responsibility for dentifying and. A calibration check is a quantitative test with a known concentration of gas that demonstrates the sensor responds to gas within the. The following gas detector tests should only. Salways refer to the product manual first! A rapid change of sensitivity, the calibration interval shall. Gas Detector Calibration Procedure Pdf.
From www.frontline-safety.co.uk
Gas Detector Calibration Why We Do It Gas Detector Calibration Procedure Pdf » where the user calibrates any sensor using a different gas, responsibility for dentifying and. Before use, ensure that any alarm delay set is suitable for the. A rapid change of sensitivity, the calibration interval shall be reduced. The following gas detector tests should only. A calibration check is a quantitative test with a known concentration of gas that demonstrates. Gas Detector Calibration Procedure Pdf.