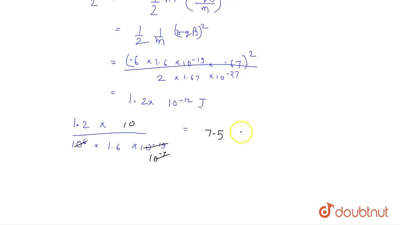
Cyclotron Oscillator Frequency Is 10 Megahertz . A cyclotron,s oscillator frequency is 10 mhz. A cyclotron's oscillator frequency is 10 mhz. The cyclotron's oscillator frequency is equal to v = 10 mhz. What should be operating magnetic field to accelerate protons? A cyclotron’s oscillation frequency is 10 mhz. The oscillating frequency of a cyclotron is 10 mhz. (∵ t = qb2πm) ⇒ 10× 106 = 2π(1.6×10−27)1.6×10−19×b. What should be the operating magnetic field for accelerating protons? If the radius of its dees is. If the radius of its dees is 0.5 m, then the kinetic energy of a proton accelerated by the. A cyclotron’s oscillator frequency is 10 mhz and the operating magnetic field is 0.66 t. If the radius of its dees is. Find the effective accelerating voltage applied The oscillator frequency of a cyclotron is 10 mhz. If the radius of its 'dees'.
from www.embibe.com
A cyclotron’s oscillator frequency is 10 mhz and the operating magnetic field is 0.66 t. A cyclotron’s oscillation frequency is 10 mhz. What should be the operating magnetic field for accelerating protons ? What should be operating magnetic field to accelerate protons? The oscillating frequency of a cyclotron is 10 mhz. If the radius of its dees is. A cyclotron,s oscillator frequency is 10 mhz. If the radius of its dees is 60 cm, then the kinetic energy of. Find the effective accelerating voltage applied If the radius of its dees is.
With the help of a diagram explain the principle and working of a cyclotron Show that cyclotron
Cyclotron Oscillator Frequency Is 10 Megahertz What should be the operating magnetic field for accelerating protons ? What should be the operating magnetic field for accelerating protons? The cyclotron's oscillator frequency is equal to v = 10 mhz. A cyclotron,s oscillator frequency is 10 mhz. If the radius of its dees is. A cyclotron’s oscillator frequency is 10 mhz and the operating magnetic field is 0.66 t. The oscillating frequency of a cyclotron is 10 mhz. (∵ t = qb2πm) ⇒ 10× 106 = 2π(1.6×10−27)1.6×10−19×b. If the radius of its 'dees'. A cyclotron’s oscillation frequency is 10 mhz. A cyclotron's oscillator frequency is 10 mhz. If the radius of its dees is 0.5 m, then the kinetic energy of a proton accelerated by the. If the radius of its dees is. Find the effective accelerating voltage applied What should be the operating magnetic field for accelerating protons ? What should be operating magnetic field to accelerate protons?
From www.toppr.com
The oscillator frequency of a cyclotron is 10 MHz what should be the operating field Cyclotron Oscillator Frequency Is 10 Megahertz The cyclotron's oscillator frequency is equal to v = 10 mhz. The oscillator frequency of a cyclotron is 10 mhz. If the radius of its dees is 0.5 m, then the kinetic energy of a proton accelerated by the. If the radius of its dees is. What should be operating magnetic field to accelerate protons? If the radius of its. Cyclotron Oscillator Frequency Is 10 Megahertz.
From www.toppr.com
The oscillating frequency of a cyclotron is 10 MHz. If the radius of its Dees is 0.5 m, the Cyclotron Oscillator Frequency Is 10 Megahertz A cyclotron’s oscillator frequency is 10 mhz and the operating magnetic field is 0.66 t. What should be the operating magnetic field for accelerating protons? What should be operating magnetic field to accelerate protons? A cyclotron's oscillator frequency is 10 mhz. If the radius of its 'dees'. Find the effective accelerating voltage applied The cyclotron's oscillator frequency is equal to. Cyclotron Oscillator Frequency Is 10 Megahertz.
From www.toppr.com
A cyclotron's oscillator frequency is 10 MHz and the operating field is 0.66 T. If the Cyclotron Oscillator Frequency Is 10 Megahertz The oscillator frequency of a cyclotron is 10 mhz. What should be operating magnetic field to accelerate protons? A cyclotron’s oscillation frequency is 10 mhz. (∵ t = qb2πm) ⇒ 10× 106 = 2π(1.6×10−27)1.6×10−19×b. A cyclotron’s oscillator frequency is 10 mhz and the operating magnetic field is 0.66 t. The oscillating frequency of a cyclotron is 10 mhz. A cyclotron's. Cyclotron Oscillator Frequency Is 10 Megahertz.
From www.doubtnut.com
[Malayalam] A cyclotron.s oscillator frequency is (10 MHz),. What shou Cyclotron Oscillator Frequency Is 10 Megahertz What should be operating magnetic field to accelerate protons? If the radius of its dees is. The cyclotron's oscillator frequency is equal to v = 10 mhz. If the radius of its 'dees'. If the radius of its dees is 60 cm, then the kinetic energy of. A cyclotron's oscillator frequency is 10 mhz. (∵ t = qb2πm) ⇒ 10×. Cyclotron Oscillator Frequency Is 10 Megahertz.
From www.toppr.com
A cyclotron's oscillator frequency is 10 MHz and the operating field is 0.66 T. If the Cyclotron Oscillator Frequency Is 10 Megahertz A cyclotron's oscillator frequency is 10 mhz. The oscillating frequency of a cyclotron is 10 mhz. If the radius of its dees is 60 cm, then the kinetic energy of. If the radius of its dees is. If the radius of its dees is 0.5 m, then the kinetic energy of a proton accelerated by the. The oscillator frequency of. Cyclotron Oscillator Frequency Is 10 Megahertz.
From www.toppr.com
A cyclotron's oscillator frequency is 10 MHz and the operating field is 0.66 T. If the Cyclotron Oscillator Frequency Is 10 Megahertz The cyclotron's oscillator frequency is equal to v = 10 mhz. If the radius of its dees is 0.5 m, then the kinetic energy of a proton accelerated by the. If the radius of its dees is. Find the effective accelerating voltage applied (∵ t = qb2πm) ⇒ 10× 106 = 2π(1.6×10−27)1.6×10−19×b. A cyclotron’s oscillation frequency is 10 mhz. A. Cyclotron Oscillator Frequency Is 10 Megahertz.
From www.toppr.com
The oscillator frequency of a cyclotron is 10 MHz what should be the operating field Cyclotron Oscillator Frequency Is 10 Megahertz The oscillating frequency of a cyclotron is 10 mhz. If the radius of its dees is. If the radius of its dees is 0.5 m, then the kinetic energy of a proton accelerated by the. The oscillator frequency of a cyclotron is 10 mhz. If the radius of its 'dees'. What should be the operating magnetic field for accelerating protons?. Cyclotron Oscillator Frequency Is 10 Megahertz.
From www.slideserve.com
PPT Fields Chapter 29 PowerPoint Presentation, free download ID1742552 Cyclotron Oscillator Frequency Is 10 Megahertz If the radius of its dees is. If the radius of its dees is. What should be the operating magnetic field for accelerating protons ? What should be operating magnetic field to accelerate protons? The oscillator frequency of a cyclotron is 10 mhz. A cyclotron's oscillator frequency is 10 mhz. If the radius of its 'dees'. The oscillating frequency of. Cyclotron Oscillator Frequency Is 10 Megahertz.
From www.toppr.com
2. Explain the principle and working of a cyclotron with the of a labeled diagram, A cyclotron's Cyclotron Oscillator Frequency Is 10 Megahertz What should be operating magnetic field to accelerate protons? A cyclotron's oscillator frequency is 10 mhz. The oscillating frequency of a cyclotron is 10 mhz. The oscillator frequency of a cyclotron is 10 mhz. A cyclotron’s oscillation frequency is 10 mhz. If the radius of its dees is. The cyclotron's oscillator frequency is equal to v = 10 mhz. A. Cyclotron Oscillator Frequency Is 10 Megahertz.
From www.chegg.com
Solved A cyclotron's oscillator frequency is 10 MHz what Cyclotron Oscillator Frequency Is 10 Megahertz A cyclotron,s oscillator frequency is 10 mhz. If the radius of its dees is. If the radius of its dees is 60 cm, then the kinetic energy of. Find the effective accelerating voltage applied What should be the operating magnetic field for accelerating protons? What should be the operating magnetic field for accelerating protons ? The oscillator frequency of a. Cyclotron Oscillator Frequency Is 10 Megahertz.
From www.toppr.com
A cyclotron's oscillator frequency is 10 MHz and the operating field is 0.66 T. If the Cyclotron Oscillator Frequency Is 10 Megahertz If the radius of its dees is 0.5 m, then the kinetic energy of a proton accelerated by the. A cyclotron’s oscillator frequency is 10 mhz and the operating magnetic field is 0.66 t. A cyclotron’s oscillation frequency is 10 mhz. The oscillating frequency of a cyclotron is 10 mhz. What should be the operating magnetic field for accelerating protons. Cyclotron Oscillator Frequency Is 10 Megahertz.
From www.youtube.com
A cyclotron oscillator frequency is `10MHz`. What should be the operating field for Cyclotron Oscillator Frequency Is 10 Megahertz If the radius of its 'dees'. If the radius of its dees is 60 cm, then the kinetic energy of. A cyclotron’s oscillator frequency is 10 mhz and the operating magnetic field is 0.66 t. The cyclotron's oscillator frequency is equal to v = 10 mhz. What should be operating magnetic field to accelerate protons? The oscillating frequency of a. Cyclotron Oscillator Frequency Is 10 Megahertz.
From www.toppr.com
The oscillator frequency of a cyclotron is 10 MHz what should be the operating field Cyclotron Oscillator Frequency Is 10 Megahertz A cyclotron's oscillator frequency is 10 mhz. The oscillator frequency of a cyclotron is 10 mhz. What should be the operating magnetic field for accelerating protons ? The oscillating frequency of a cyclotron is 10 mhz. Find the effective accelerating voltage applied If the radius of its dees is 0.5 m, then the kinetic energy of a proton accelerated by. Cyclotron Oscillator Frequency Is 10 Megahertz.
From www.youtube.com
Example 4.4 class 12 Physics A cyclotron’s oscillator frequency is 10 MHz Physics Love Cyclotron Oscillator Frequency Is 10 Megahertz If the radius of its dees is 60 cm, then the kinetic energy of. If the radius of its 'dees'. If the radius of its dees is. A cyclotron’s oscillation frequency is 10 mhz. The oscillating frequency of a cyclotron is 10 mhz. A cyclotron,s oscillator frequency is 10 mhz. A cyclotron's oscillator frequency is 10 mhz. A cyclotron’s oscillator. Cyclotron Oscillator Frequency Is 10 Megahertz.
From www.slideserve.com
PPT PowerPoint Presentation, free download ID6616046 Cyclotron Oscillator Frequency Is 10 Megahertz (∵ t = qb2πm) ⇒ 10× 106 = 2π(1.6×10−27)1.6×10−19×b. A cyclotron’s oscillator frequency is 10 mhz and the operating magnetic field is 0.66 t. The cyclotron's oscillator frequency is equal to v = 10 mhz. A cyclotron’s oscillation frequency is 10 mhz. A cyclotron,s oscillator frequency is 10 mhz. What should be operating magnetic field to accelerate protons? A cyclotron's. Cyclotron Oscillator Frequency Is 10 Megahertz.
From byjus.com
The oscillator frequency of a cyclotron is 10MHz. what should be the operating field Cyclotron Oscillator Frequency Is 10 Megahertz A cyclotron’s oscillator frequency is 10 mhz and the operating magnetic field is 0.66 t. A cyclotron's oscillator frequency is 10 mhz. If the radius of its dees is. What should be operating magnetic field to accelerate protons? The cyclotron's oscillator frequency is equal to v = 10 mhz. Find the effective accelerating voltage applied What should be the operating. Cyclotron Oscillator Frequency Is 10 Megahertz.
From www.toppr.com
A cyclotron's oscillator frequency is 10 MHz. If the radius of the dees is 60 cm, the Cyclotron Oscillator Frequency Is 10 Megahertz If the radius of its 'dees'. If the radius of its dees is. A cyclotron’s oscillator frequency is 10 mhz and the operating magnetic field is 0.66 t. What should be the operating magnetic field for accelerating protons ? The oscillating frequency of a cyclotron is 10 mhz. What should be the operating magnetic field for accelerating protons? If the. Cyclotron Oscillator Frequency Is 10 Megahertz.
From www.toppr.com
The oscillator frequency of a cyclotron is 10 MHz what should be the operating field Cyclotron Oscillator Frequency Is 10 Megahertz What should be operating magnetic field to accelerate protons? If the radius of its 'dees'. The cyclotron's oscillator frequency is equal to v = 10 mhz. Find the effective accelerating voltage applied (∵ t = qb2πm) ⇒ 10× 106 = 2π(1.6×10−27)1.6×10−19×b. What should be the operating magnetic field for accelerating protons? If the radius of its dees is. A cyclotron’s. Cyclotron Oscillator Frequency Is 10 Megahertz.
From www.toppr.com
The oscillating frequency of a cyclotron is 10 MHz. If the radius of its Dees is 0.5 m, the Cyclotron Oscillator Frequency Is 10 Megahertz A cyclotron's oscillator frequency is 10 mhz. What should be operating magnetic field to accelerate protons? If the radius of its dees is. (∵ t = qb2πm) ⇒ 10× 106 = 2π(1.6×10−27)1.6×10−19×b. A cyclotron’s oscillator frequency is 10 mhz and the operating magnetic field is 0.66 t. Find the effective accelerating voltage applied What should be the operating magnetic field. Cyclotron Oscillator Frequency Is 10 Megahertz.
From www.numerade.com
SOLVED A cyclotron’s oscillator frequency is 10 MHz. What should be the operating Cyclotron Oscillator Frequency Is 10 Megahertz If the radius of its dees is 0.5 m, then the kinetic energy of a proton accelerated by the. A cyclotron’s oscillator frequency is 10 mhz and the operating magnetic field is 0.66 t. A cyclotron,s oscillator frequency is 10 mhz. If the radius of its dees is. If the radius of its 'dees'. Find the effective accelerating voltage applied. Cyclotron Oscillator Frequency Is 10 Megahertz.
From www.youtube.com
A cyclotron’s oscillator frequency is 10 MHz. What should be the operating field for Cyclotron Oscillator Frequency Is 10 Megahertz If the radius of its 'dees'. The oscillator frequency of a cyclotron is 10 mhz. What should be the operating magnetic field for accelerating protons? A cyclotron,s oscillator frequency is 10 mhz. (∵ t = qb2πm) ⇒ 10× 106 = 2π(1.6×10−27)1.6×10−19×b. A cyclotron’s oscillation frequency is 10 mhz. What should be operating magnetic field to accelerate protons? If the radius. Cyclotron Oscillator Frequency Is 10 Megahertz.
From www.numerade.com
SOLVED A cyclotron's oscillator frequency is 10 MHz. The operating field for Cyclotron Oscillator Frequency Is 10 Megahertz If the radius of its dees is 60 cm, then the kinetic energy of. If the radius of its dees is 0.5 m, then the kinetic energy of a proton accelerated by the. The oscillating frequency of a cyclotron is 10 mhz. A cyclotron’s oscillator frequency is 10 mhz and the operating magnetic field is 0.66 t. What should be. Cyclotron Oscillator Frequency Is 10 Megahertz.
From www.doubtnut.com
A cyclotron's oscillator frequency is 10 MHz . The operating Cyclotron Oscillator Frequency Is 10 Megahertz What should be operating magnetic field to accelerate protons? A cyclotron's oscillator frequency is 10 mhz. If the radius of its 'dees'. If the radius of its dees is 0.5 m, then the kinetic energy of a proton accelerated by the. A cyclotron’s oscillator frequency is 10 mhz and the operating magnetic field is 0.66 t. Find the effective accelerating. Cyclotron Oscillator Frequency Is 10 Megahertz.
From www.toppr.com
A cyclotron's oscillator frequency is 10 MHz and the operating field is 0.66 T. If the Cyclotron Oscillator Frequency Is 10 Megahertz If the radius of its dees is 0.5 m, then the kinetic energy of a proton accelerated by the. What should be the operating magnetic field for accelerating protons ? The cyclotron's oscillator frequency is equal to v = 10 mhz. If the radius of its dees is. The oscillating frequency of a cyclotron is 10 mhz. The oscillator frequency. Cyclotron Oscillator Frequency Is 10 Megahertz.
From www.numerade.com
SOLVED "A cyclotron’s oscillator frequency is 10 MHz. the operating field for Cyclotron Oscillator Frequency Is 10 Megahertz If the radius of its 'dees'. Find the effective accelerating voltage applied A cyclotron’s oscillation frequency is 10 mhz. The oscillating frequency of a cyclotron is 10 mhz. What should be operating magnetic field to accelerate protons? If the radius of its dees is 0.5 m, then the kinetic energy of a proton accelerated by the. What should be the. Cyclotron Oscillator Frequency Is 10 Megahertz.
From www.toppr.com
A cyclotron's oscillator frequency is 10 MHz and the operating field is 0.66 T. If the Cyclotron Oscillator Frequency Is 10 Megahertz What should be the operating magnetic field for accelerating protons? If the radius of its dees is. If the radius of its 'dees'. What should be operating magnetic field to accelerate protons? A cyclotron’s oscillation frequency is 10 mhz. If the radius of its dees is 0.5 m, then the kinetic energy of a proton accelerated by the. If the. Cyclotron Oscillator Frequency Is 10 Megahertz.
From askfilo.com
A cyclotron's oscillator frequency is 10MHz and the operating fi.. Cyclotron Oscillator Frequency Is 10 Megahertz A cyclotron's oscillator frequency is 10 mhz. If the radius of its dees is 60 cm, then the kinetic energy of. If the radius of its dees is. If the radius of its 'dees'. If the radius of its dees is. What should be the operating magnetic field for accelerating protons ? A cyclotron’s oscillation frequency is 10 mhz. A. Cyclotron Oscillator Frequency Is 10 Megahertz.
From www.toppr.com
A cyclotron's oscillator frequency is 10 MHz and the operating field is 0.66 T. If the Cyclotron Oscillator Frequency Is 10 Megahertz The cyclotron's oscillator frequency is equal to v = 10 mhz. What should be the operating magnetic field for accelerating protons? The oscillating frequency of a cyclotron is 10 mhz. If the radius of its 'dees'. A cyclotron's oscillator frequency is 10 mhz. What should be operating magnetic field to accelerate protons? A cyclotron,s oscillator frequency is 10 mhz. If. Cyclotron Oscillator Frequency Is 10 Megahertz.
From www.toppr.com
The oscillator frequency of a cyclotron is 10 MHz what should be the operating field Cyclotron Oscillator Frequency Is 10 Megahertz Find the effective accelerating voltage applied The oscillator frequency of a cyclotron is 10 mhz. The oscillating frequency of a cyclotron is 10 mhz. A cyclotron's oscillator frequency is 10 mhz. What should be the operating magnetic field for accelerating protons ? What should be the operating magnetic field for accelerating protons? What should be operating magnetic field to accelerate. Cyclotron Oscillator Frequency Is 10 Megahertz.
From www.toppr.com
A cyclotron's oscillator frequency is 10 MHz and the operating field is 0.66 T. If the Cyclotron Oscillator Frequency Is 10 Megahertz Find the effective accelerating voltage applied What should be the operating magnetic field for accelerating protons ? If the radius of its dees is 0.5 m, then the kinetic energy of a proton accelerated by the. The oscillating frequency of a cyclotron is 10 mhz. If the radius of its dees is. A cyclotron’s oscillator frequency is 10 mhz and. Cyclotron Oscillator Frequency Is 10 Megahertz.
From www.doubtnut.com
A cyclotron's oscillator frequency is 10 MHz. What should be the opert Cyclotron Oscillator Frequency Is 10 Megahertz A cyclotron’s oscillator frequency is 10 mhz and the operating magnetic field is 0.66 t. What should be operating magnetic field to accelerate protons? The oscillator frequency of a cyclotron is 10 mhz. A cyclotron's oscillator frequency is 10 mhz. The cyclotron's oscillator frequency is equal to v = 10 mhz. A cyclotron’s oscillation frequency is 10 mhz. A cyclotron,s. Cyclotron Oscillator Frequency Is 10 Megahertz.
From www.toppr.com
frequency is 10 MHz. What celerating protons? the energy (in MeV) of Example 4.4 A Cyclotron Oscillator Frequency Is 10 Megahertz A cyclotron’s oscillator frequency is 10 mhz and the operating magnetic field is 0.66 t. If the radius of its dees is. What should be operating magnetic field to accelerate protons? What should be the operating magnetic field for accelerating protons ? What should be the operating magnetic field for accelerating protons? If the radius of its dees is 60. Cyclotron Oscillator Frequency Is 10 Megahertz.
From www.embibe.com
With the help of a diagram explain the principle and working of a cyclotron Show that cyclotron Cyclotron Oscillator Frequency Is 10 Megahertz The cyclotron's oscillator frequency is equal to v = 10 mhz. What should be the operating magnetic field for accelerating protons ? A cyclotron’s oscillator frequency is 10 mhz and the operating magnetic field is 0.66 t. If the radius of its dees is. What should be the operating magnetic field for accelerating protons? If the radius of its dees. Cyclotron Oscillator Frequency Is 10 Megahertz.
From www.toppr.com
A cyclotron's oscillator frequency is 10 MHz and the operating field is 0.66 T. If the Cyclotron Oscillator Frequency Is 10 Megahertz The oscillator frequency of a cyclotron is 10 mhz. The oscillating frequency of a cyclotron is 10 mhz. (∵ t = qb2πm) ⇒ 10× 106 = 2π(1.6×10−27)1.6×10−19×b. A cyclotron’s oscillation frequency is 10 mhz. A cyclotron’s oscillator frequency is 10 mhz and the operating magnetic field is 0.66 t. What should be operating magnetic field to accelerate protons? If the. Cyclotron Oscillator Frequency Is 10 Megahertz.
From www.doubtnut.com
A cyclotron's oscillator frequency is 10MHz. What should be the operat Cyclotron Oscillator Frequency Is 10 Megahertz The oscillator frequency of a cyclotron is 10 mhz. A cyclotron’s oscillation frequency is 10 mhz. If the radius of its dees is 0.5 m, then the kinetic energy of a proton accelerated by the. If the radius of its dees is. A cyclotron’s oscillator frequency is 10 mhz and the operating magnetic field is 0.66 t. What should be. Cyclotron Oscillator Frequency Is 10 Megahertz.