What Does Error Propagation Mean . Often we have mathematical models of the system of interest (the output as a function of the input and the system. It is a calculus derived statistical. Error propagation occurs when you measure some quantities a, b, c,. And you then want to calculate some. With uncertainties δa, δb, δc. This method relies on partial derivates from calculus to propagate measurement error through a calculation. Propagation of error (or propagation of uncertainty) is defined as the effects on a function by a variable's uncertainty. If the scale divisions are closer together, you may only be able to estimate to the nearest 1/2 of the least count, and if the scale divisions are very. As before we will only consider three types of operations:
from www.slideserve.com
It is a calculus derived statistical. And you then want to calculate some. Error propagation occurs when you measure some quantities a, b, c,. If the scale divisions are closer together, you may only be able to estimate to the nearest 1/2 of the least count, and if the scale divisions are very. As before we will only consider three types of operations: Often we have mathematical models of the system of interest (the output as a function of the input and the system. This method relies on partial derivates from calculus to propagate measurement error through a calculation. With uncertainties δa, δb, δc. Propagation of error (or propagation of uncertainty) is defined as the effects on a function by a variable's uncertainty.
PPT Measurement Uncertainties PowerPoint Presentation, free download
What Does Error Propagation Mean As before we will only consider three types of operations: And you then want to calculate some. This method relies on partial derivates from calculus to propagate measurement error through a calculation. If the scale divisions are closer together, you may only be able to estimate to the nearest 1/2 of the least count, and if the scale divisions are very. As before we will only consider three types of operations: With uncertainties δa, δb, δc. Propagation of error (or propagation of uncertainty) is defined as the effects on a function by a variable's uncertainty. Often we have mathematical models of the system of interest (the output as a function of the input and the system. Error propagation occurs when you measure some quantities a, b, c,. It is a calculus derived statistical.
From www.chegg.com
Solved propagation of error When one quantity is calculated What Does Error Propagation Mean It is a calculus derived statistical. Error propagation occurs when you measure some quantities a, b, c,. If the scale divisions are closer together, you may only be able to estimate to the nearest 1/2 of the least count, and if the scale divisions are very. Often we have mathematical models of the system of interest (the output as a. What Does Error Propagation Mean.
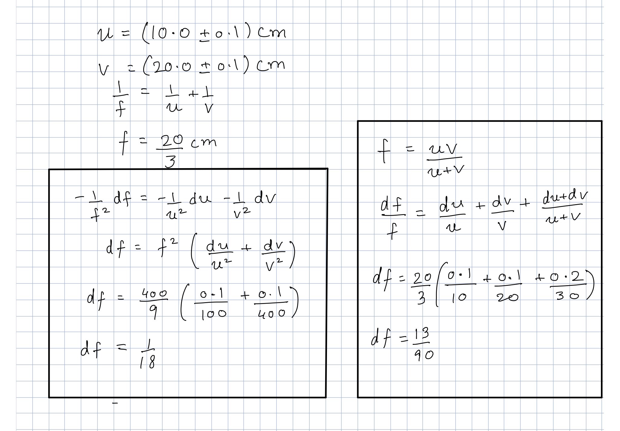
From ar.inspiredpencil.com
Error Propagation Differentiation What Does Error Propagation Mean Propagation of error (or propagation of uncertainty) is defined as the effects on a function by a variable's uncertainty. It is a calculus derived statistical. This method relies on partial derivates from calculus to propagate measurement error through a calculation. Error propagation occurs when you measure some quantities a, b, c,. If the scale divisions are closer together, you may. What Does Error Propagation Mean.
From muler.readthedocs.io
Tutorials — Home What Does Error Propagation Mean Propagation of error (or propagation of uncertainty) is defined as the effects on a function by a variable's uncertainty. This method relies on partial derivates from calculus to propagate measurement error through a calculation. And you then want to calculate some. With uncertainties δa, δb, δc. Error propagation occurs when you measure some quantities a, b, c,. If the scale. What Does Error Propagation Mean.
From www.slideserve.com
PPT Statistical Methods for Data Analysis parameter estimate What Does Error Propagation Mean Often we have mathematical models of the system of interest (the output as a function of the input and the system. And you then want to calculate some. As before we will only consider three types of operations: Error propagation occurs when you measure some quantities a, b, c,. If the scale divisions are closer together, you may only be. What Does Error Propagation Mean.
From www.youtube.com
Propagation of error IB Physics YouTube What Does Error Propagation Mean Often we have mathematical models of the system of interest (the output as a function of the input and the system. With uncertainties δa, δb, δc. It is a calculus derived statistical. As before we will only consider three types of operations: Error propagation occurs when you measure some quantities a, b, c,. Propagation of error (or propagation of uncertainty). What Does Error Propagation Mean.
From www.animalia-life.club
Error Propagation Differentiation What Does Error Propagation Mean With uncertainties δa, δb, δc. This method relies on partial derivates from calculus to propagate measurement error through a calculation. And you then want to calculate some. If the scale divisions are closer together, you may only be able to estimate to the nearest 1/2 of the least count, and if the scale divisions are very. Often we have mathematical. What Does Error Propagation Mean.
From www.youtube.com
Propagation of Error YouTube What Does Error Propagation Mean Propagation of error (or propagation of uncertainty) is defined as the effects on a function by a variable's uncertainty. With uncertainties δa, δb, δc. It is a calculus derived statistical. Error propagation occurs when you measure some quantities a, b, c,. If the scale divisions are closer together, you may only be able to estimate to the nearest 1/2 of. What Does Error Propagation Mean.
From studylib.net
Error Propagation What Does Error Propagation Mean Often we have mathematical models of the system of interest (the output as a function of the input and the system. Propagation of error (or propagation of uncertainty) is defined as the effects on a function by a variable's uncertainty. With uncertainties δa, δb, δc. This method relies on partial derivates from calculus to propagate measurement error through a calculation.. What Does Error Propagation Mean.
From www.slideserve.com
PPT SDS Architectures PowerPoint Presentation, free download ID1518888 What Does Error Propagation Mean This method relies on partial derivates from calculus to propagate measurement error through a calculation. Error propagation occurs when you measure some quantities a, b, c,. Propagation of error (or propagation of uncertainty) is defined as the effects on a function by a variable's uncertainty. As before we will only consider three types of operations: And you then want to. What Does Error Propagation Mean.
From haldaneolubanke.blogspot.com
52+ mean of the distribution of sample means calculator HaldaneOlubanke What Does Error Propagation Mean As before we will only consider three types of operations: If the scale divisions are closer together, you may only be able to estimate to the nearest 1/2 of the least count, and if the scale divisions are very. And you then want to calculate some. With uncertainties δa, δb, δc. This method relies on partial derivates from calculus to. What Does Error Propagation Mean.
From ar.inspiredpencil.com
Error Propagation Differentiation What Does Error Propagation Mean It is a calculus derived statistical. This method relies on partial derivates from calculus to propagate measurement error through a calculation. And you then want to calculate some. Often we have mathematical models of the system of interest (the output as a function of the input and the system. Error propagation occurs when you measure some quantities a, b, c,.. What Does Error Propagation Mean.
From slidetodoc.com
Uncertainty and Error Propagation Uncertainty Representation 2 4 What Does Error Propagation Mean Propagation of error (or propagation of uncertainty) is defined as the effects on a function by a variable's uncertainty. This method relies on partial derivates from calculus to propagate measurement error through a calculation. And you then want to calculate some. As before we will only consider three types of operations: Error propagation occurs when you measure some quantities a,. What Does Error Propagation Mean.
From www.slideserve.com
PPT Measurement Uncertainties PowerPoint Presentation, free download What Does Error Propagation Mean Error propagation occurs when you measure some quantities a, b, c,. If the scale divisions are closer together, you may only be able to estimate to the nearest 1/2 of the least count, and if the scale divisions are very. It is a calculus derived statistical. With uncertainties δa, δb, δc. Often we have mathematical models of the system of. What Does Error Propagation Mean.
From www.slideserve.com
PPT Measurement Uncertainties PowerPoint Presentation, free download What Does Error Propagation Mean If the scale divisions are closer together, you may only be able to estimate to the nearest 1/2 of the least count, and if the scale divisions are very. It is a calculus derived statistical. With uncertainties δa, δb, δc. Error propagation occurs when you measure some quantities a, b, c,. As before we will only consider three types of. What Does Error Propagation Mean.
From www.studocu.com
Propagation of errors This is the subject of the propagation of What Does Error Propagation Mean Error propagation occurs when you measure some quantities a, b, c,. Propagation of error (or propagation of uncertainty) is defined as the effects on a function by a variable's uncertainty. And you then want to calculate some. As before we will only consider three types of operations: This method relies on partial derivates from calculus to propagate measurement error through. What Does Error Propagation Mean.
From www.slideserve.com
PPT A. Error propagation and least square method PowerPoint What Does Error Propagation Mean Often we have mathematical models of the system of interest (the output as a function of the input and the system. This method relies on partial derivates from calculus to propagate measurement error through a calculation. If the scale divisions are closer together, you may only be able to estimate to the nearest 1/2 of the least count, and if. What Does Error Propagation Mean.
From www.youtube.com
Uncertainty Propagation the simple way YouTube What Does Error Propagation Mean With uncertainties δa, δb, δc. Error propagation occurs when you measure some quantities a, b, c,. And you then want to calculate some. Often we have mathematical models of the system of interest (the output as a function of the input and the system. This method relies on partial derivates from calculus to propagate measurement error through a calculation. Propagation. What Does Error Propagation Mean.
From www.slideserve.com
PPT Propagation of Errors PowerPoint Presentation, free download ID What Does Error Propagation Mean As before we will only consider three types of operations: Often we have mathematical models of the system of interest (the output as a function of the input and the system. It is a calculus derived statistical. With uncertainties δa, δb, δc. This method relies on partial derivates from calculus to propagate measurement error through a calculation. Error propagation occurs. What Does Error Propagation Mean.
From studylib.net
Physics 509 Error Propagation, and the Meaning of Error Bars What Does Error Propagation Mean It is a calculus derived statistical. This method relies on partial derivates from calculus to propagate measurement error through a calculation. With uncertainties δa, δb, δc. If the scale divisions are closer together, you may only be able to estimate to the nearest 1/2 of the least count, and if the scale divisions are very. Error propagation occurs when you. What Does Error Propagation Mean.
From www.youtube.com
Error Propagation YouTube What Does Error Propagation Mean With uncertainties δa, δb, δc. As before we will only consider three types of operations: If the scale divisions are closer together, you may only be able to estimate to the nearest 1/2 of the least count, and if the scale divisions are very. Error propagation occurs when you measure some quantities a, b, c,. And you then want to. What Does Error Propagation Mean.
From www.youtube.com
Propagating Uncertainty Addition and Subtraction IB Physics YouTube What Does Error Propagation Mean Propagation of error (or propagation of uncertainty) is defined as the effects on a function by a variable's uncertainty. As before we will only consider three types of operations: With uncertainties δa, δb, δc. If the scale divisions are closer together, you may only be able to estimate to the nearest 1/2 of the least count, and if the scale. What Does Error Propagation Mean.
From www.thecuvette.org
Error propagation in projectile motion lab · Volume 1 (2023) What Does Error Propagation Mean With uncertainties δa, δb, δc. This method relies on partial derivates from calculus to propagate measurement error through a calculation. As before we will only consider three types of operations: If the scale divisions are closer together, you may only be able to estimate to the nearest 1/2 of the least count, and if the scale divisions are very. And. What Does Error Propagation Mean.
From www.slideserve.com
PPT Physics 114 Exam 2 Review Lectures 1116 PowerPoint Presentation What Does Error Propagation Mean Propagation of error (or propagation of uncertainty) is defined as the effects on a function by a variable's uncertainty. As before we will only consider three types of operations: Error propagation occurs when you measure some quantities a, b, c,. If the scale divisions are closer together, you may only be able to estimate to the nearest 1/2 of the. What Does Error Propagation Mean.
From www.slideserve.com
PPT Propagation of errors PowerPoint Presentation, free download ID What Does Error Propagation Mean If the scale divisions are closer together, you may only be able to estimate to the nearest 1/2 of the least count, and if the scale divisions are very. With uncertainties δa, δb, δc. As before we will only consider three types of operations: Error propagation occurs when you measure some quantities a, b, c,. And you then want to. What Does Error Propagation Mean.
From www.animalia-life.club
Error Propagation Differentiation What Does Error Propagation Mean This method relies on partial derivates from calculus to propagate measurement error through a calculation. With uncertainties δa, δb, δc. And you then want to calculate some. If the scale divisions are closer together, you may only be able to estimate to the nearest 1/2 of the least count, and if the scale divisions are very. As before we will. What Does Error Propagation Mean.
From www.youtube.com
Propagating Uncertainty in IB Physics Problems IB Physics YouTube What Does Error Propagation Mean Error propagation occurs when you measure some quantities a, b, c,. If the scale divisions are closer together, you may only be able to estimate to the nearest 1/2 of the least count, and if the scale divisions are very. With uncertainties δa, δb, δc. Propagation of error (or propagation of uncertainty) is defined as the effects on a function. What Does Error Propagation Mean.
From www.slideserve.com
PPT Observational procedures and data reduction Lecture 4 Data What Does Error Propagation Mean And you then want to calculate some. It is a calculus derived statistical. With uncertainties δa, δb, δc. This method relies on partial derivates from calculus to propagate measurement error through a calculation. Error propagation occurs when you measure some quantities a, b, c,. As before we will only consider three types of operations: If the scale divisions are closer. What Does Error Propagation Mean.
From www.studocu.com
Error Propagation Practice Problems1 Error Propagation Practice What Does Error Propagation Mean With uncertainties δa, δb, δc. It is a calculus derived statistical. As before we will only consider three types of operations: And you then want to calculate some. This method relies on partial derivates from calculus to propagate measurement error through a calculation. Often we have mathematical models of the system of interest (the output as a function of the. What Does Error Propagation Mean.
From www.animalia-life.club
Error Propagation Differentiation What Does Error Propagation Mean This method relies on partial derivates from calculus to propagate measurement error through a calculation. As before we will only consider three types of operations: Error propagation occurs when you measure some quantities a, b, c,. Often we have mathematical models of the system of interest (the output as a function of the input and the system. With uncertainties δa,. What Does Error Propagation Mean.
From www.isobudgets.com
Propagation of Uncertainty Rules for Estimating Uncertainty isobudgets What Does Error Propagation Mean It is a calculus derived statistical. Often we have mathematical models of the system of interest (the output as a function of the input and the system. As before we will only consider three types of operations: Propagation of error (or propagation of uncertainty) is defined as the effects on a function by a variable's uncertainty. If the scale divisions. What Does Error Propagation Mean.
From www.slideserve.com
PPT A. Error propagation and least square method PowerPoint What Does Error Propagation Mean With uncertainties δa, δb, δc. Error propagation occurs when you measure some quantities a, b, c,. Often we have mathematical models of the system of interest (the output as a function of the input and the system. And you then want to calculate some. It is a calculus derived statistical. This method relies on partial derivates from calculus to propagate. What Does Error Propagation Mean.
From www.animalia-life.club
Error Propagation Differentiation What Does Error Propagation Mean Error propagation occurs when you measure some quantities a, b, c,. This method relies on partial derivates from calculus to propagate measurement error through a calculation. And you then want to calculate some. As before we will only consider three types of operations: It is a calculus derived statistical. With uncertainties δa, δb, δc. Often we have mathematical models of. What Does Error Propagation Mean.
From www.slideserve.com
PPT Homework I Discussion PowerPoint Presentation, free download ID What Does Error Propagation Mean If the scale divisions are closer together, you may only be able to estimate to the nearest 1/2 of the least count, and if the scale divisions are very. With uncertainties δa, δb, δc. As before we will only consider three types of operations: Error propagation occurs when you measure some quantities a, b, c,. Often we have mathematical models. What Does Error Propagation Mean.
From www.youtube.com
11 Propagation of Uncertainty 1 YouTube What Does Error Propagation Mean Error propagation occurs when you measure some quantities a, b, c,. If the scale divisions are closer together, you may only be able to estimate to the nearest 1/2 of the least count, and if the scale divisions are very. As before we will only consider three types of operations: It is a calculus derived statistical. Propagation of error (or. What Does Error Propagation Mean.
From slideplayer.com
Uncertainty and Error Propagation ppt download What Does Error Propagation Mean Error propagation occurs when you measure some quantities a, b, c,. If the scale divisions are closer together, you may only be able to estimate to the nearest 1/2 of the least count, and if the scale divisions are very. This method relies on partial derivates from calculus to propagate measurement error through a calculation. And you then want to. What Does Error Propagation Mean.