Hand Soap Viscosity . Remember that when using thickening agents, always add slowly while stirring continuously and never add them directly to acidic ingredients. Please find below a table of common compounds and their dynamic. Fruit juice gelatine 37% solids glucose glycerine 100% glycerine 100%. Master the fundamentals of liquid detergent viscosity, its impact on cleaning performance, factors affecting it, and methods to optimize viscosity for a better user experience. 100 rows data table of dynamic viscosity of common liquids. This research aims to investigate the influence of mixed surfactants on the viscosity, ph, and stability of liquid soap. Find the dynamic (absolute) viscosity values for a wide range of liquids in both si (mpa·s) and us customary (lbf·s/ft²) units. Gradually sprinkle hpmc into your soap mix and stir well until your soap reaches the desired viscosity. 119 rows a table of common liquids grouped by class or type including information on viscosity at a given temperature & whether the liquid is. Gravy slurry hand cream isopropyl alcohol jam garnish lacquer 25%. Combine all components in phase 1 and mix until homogeneous.
from www.homedepot.com
Fruit juice gelatine 37% solids glucose glycerine 100% glycerine 100%. Master the fundamentals of liquid detergent viscosity, its impact on cleaning performance, factors affecting it, and methods to optimize viscosity for a better user experience. 100 rows data table of dynamic viscosity of common liquids. Combine all components in phase 1 and mix until homogeneous. Find the dynamic (absolute) viscosity values for a wide range of liquids in both si (mpa·s) and us customary (lbf·s/ft²) units. Please find below a table of common compounds and their dynamic. 119 rows a table of common liquids grouped by class or type including information on viscosity at a given temperature & whether the liquid is. Gravy slurry hand cream isopropyl alcohol jam garnish lacquer 25%. Remember that when using thickening agents, always add slowly while stirring continuously and never add them directly to acidic ingredients. This research aims to investigate the influence of mixed surfactants on the viscosity, ph, and stability of liquid soap.
Softsoap 7.5 oz. Lavender and Cham Hand Soap126217 The Home Depot
Hand Soap Viscosity Please find below a table of common compounds and their dynamic. Remember that when using thickening agents, always add slowly while stirring continuously and never add them directly to acidic ingredients. Master the fundamentals of liquid detergent viscosity, its impact on cleaning performance, factors affecting it, and methods to optimize viscosity for a better user experience. 119 rows a table of common liquids grouped by class or type including information on viscosity at a given temperature & whether the liquid is. Gradually sprinkle hpmc into your soap mix and stir well until your soap reaches the desired viscosity. Combine all components in phase 1 and mix until homogeneous. Find the dynamic (absolute) viscosity values for a wide range of liquids in both si (mpa·s) and us customary (lbf·s/ft²) units. 100 rows data table of dynamic viscosity of common liquids. Please find below a table of common compounds and their dynamic. This research aims to investigate the influence of mixed surfactants on the viscosity, ph, and stability of liquid soap. Fruit juice gelatine 37% solids glucose glycerine 100% glycerine 100%. Gravy slurry hand cream isopropyl alcohol jam garnish lacquer 25%.
From yeserchem.com
Mastering Detergent Formulations The Key Role of Salt in Modulating Hand Soap Viscosity 100 rows data table of dynamic viscosity of common liquids. Find the dynamic (absolute) viscosity values for a wide range of liquids in both si (mpa·s) and us customary (lbf·s/ft²) units. Combine all components in phase 1 and mix until homogeneous. 119 rows a table of common liquids grouped by class or type including information on viscosity at a given. Hand Soap Viscosity.
From www.youtube.com
Measuring viscosity of Dish Soap, Shampoo and Conditioner with the Hand Soap Viscosity Find the dynamic (absolute) viscosity values for a wide range of liquids in both si (mpa·s) and us customary (lbf·s/ft²) units. 119 rows a table of common liquids grouped by class or type including information on viscosity at a given temperature & whether the liquid is. Gradually sprinkle hpmc into your soap mix and stir well until your soap reaches. Hand Soap Viscosity.
From homeclasp.com
Hand Soap vs Dish Soap Difference Between Both Hand Soap Viscosity Remember that when using thickening agents, always add slowly while stirring continuously and never add them directly to acidic ingredients. Find the dynamic (absolute) viscosity values for a wide range of liquids in both si (mpa·s) and us customary (lbf·s/ft²) units. Please find below a table of common compounds and their dynamic. This research aims to investigate the influence of. Hand Soap Viscosity.
From studiousguy.com
12 Viscosity Examples in Daily Life StudiousGuy Hand Soap Viscosity Please find below a table of common compounds and their dynamic. Combine all components in phase 1 and mix until homogeneous. Gradually sprinkle hpmc into your soap mix and stir well until your soap reaches the desired viscosity. Gravy slurry hand cream isopropyl alcohol jam garnish lacquer 25%. Remember that when using thickening agents, always add slowly while stirring continuously. Hand Soap Viscosity.
From patents.google.com
WO2015172993A2 An aqueous alkaline hand dishwash liquid detergent Hand Soap Viscosity Find the dynamic (absolute) viscosity values for a wide range of liquids in both si (mpa·s) and us customary (lbf·s/ft²) units. Fruit juice gelatine 37% solids glucose glycerine 100% glycerine 100%. Gradually sprinkle hpmc into your soap mix and stir well until your soap reaches the desired viscosity. 119 rows a table of common liquids grouped by class or type. Hand Soap Viscosity.
From shop.yourdoor.co.za
LIQUID HAND SOAP 5L ⋆ Online Shop yourdoor.co.za Hand Soap Viscosity Remember that when using thickening agents, always add slowly while stirring continuously and never add them directly to acidic ingredients. Fruit juice gelatine 37% solids glucose glycerine 100% glycerine 100%. Gradually sprinkle hpmc into your soap mix and stir well until your soap reaches the desired viscosity. This research aims to investigate the influence of mixed surfactants on the viscosity,. Hand Soap Viscosity.
From www.researchgate.net
Change of viscosity of liquid hand soap by adding HEPS4 Download Hand Soap Viscosity Master the fundamentals of liquid detergent viscosity, its impact on cleaning performance, factors affecting it, and methods to optimize viscosity for a better user experience. Combine all components in phase 1 and mix until homogeneous. Find the dynamic (absolute) viscosity values for a wide range of liquids in both si (mpa·s) and us customary (lbf·s/ft²) units. 100 rows data table. Hand Soap Viscosity.
From www.cosmeticspraybottles.com
High Viscosity Foaming Soap Pumps Hand Presses Soap Pump Top Hand Soap Viscosity Gradually sprinkle hpmc into your soap mix and stir well until your soap reaches the desired viscosity. Remember that when using thickening agents, always add slowly while stirring continuously and never add them directly to acidic ingredients. Gravy slurry hand cream isopropyl alcohol jam garnish lacquer 25%. Master the fundamentals of liquid detergent viscosity, its impact on cleaning performance, factors. Hand Soap Viscosity.
From scindustrialsales.com
ViscosityChart Engineered Solutions Hand Soap Viscosity Combine all components in phase 1 and mix until homogeneous. This research aims to investigate the influence of mixed surfactants on the viscosity, ph, and stability of liquid soap. Find the dynamic (absolute) viscosity values for a wide range of liquids in both si (mpa·s) and us customary (lbf·s/ft²) units. Master the fundamentals of liquid detergent viscosity, its impact on. Hand Soap Viscosity.
From www.google.co.in
Patent WO2010005699A2 Antimicrobial foam hand soap Google Patents Hand Soap Viscosity Fruit juice gelatine 37% solids glucose glycerine 100% glycerine 100%. 119 rows a table of common liquids grouped by class or type including information on viscosity at a given temperature & whether the liquid is. Please find below a table of common compounds and their dynamic. 100 rows data table of dynamic viscosity of common liquids. Combine all components in. Hand Soap Viscosity.
From www.walmart.com
Zep Acclaim Liquid Antibacterial Hand Soap 500ML 314916 (Case of 12 Hand Soap Viscosity Remember that when using thickening agents, always add slowly while stirring continuously and never add them directly to acidic ingredients. 100 rows data table of dynamic viscosity of common liquids. Find the dynamic (absolute) viscosity values for a wide range of liquids in both si (mpa·s) and us customary (lbf·s/ft²) units. Combine all components in phase 1 and mix until. Hand Soap Viscosity.
From www.google.com
Patent EP2464427A1 Concentrated liquid soap formulations having Hand Soap Viscosity 100 rows data table of dynamic viscosity of common liquids. Fruit juice gelatine 37% solids glucose glycerine 100% glycerine 100%. This research aims to investigate the influence of mixed surfactants on the viscosity, ph, and stability of liquid soap. Find the dynamic (absolute) viscosity values for a wide range of liquids in both si (mpa·s) and us customary (lbf·s/ft²) units.. Hand Soap Viscosity.
From www.indiamart.com
For Hand Wash Perfumed Viscous Liquid Soap at Rs 45/litre in Vapi ID Hand Soap Viscosity Remember that when using thickening agents, always add slowly while stirring continuously and never add them directly to acidic ingredients. 119 rows a table of common liquids grouped by class or type including information on viscosity at a given temperature & whether the liquid is. Combine all components in phase 1 and mix until homogeneous. 100 rows data table of. Hand Soap Viscosity.
From www.globalindustrial.com
Global Industrial™ Liquid Hand Soap, Pink Case Of Four 1 Gallon Hand Soap Viscosity This research aims to investigate the influence of mixed surfactants on the viscosity, ph, and stability of liquid soap. Fruit juice gelatine 37% solids glucose glycerine 100% glycerine 100%. Please find below a table of common compounds and their dynamic. Master the fundamentals of liquid detergent viscosity, its impact on cleaning performance, factors affecting it, and methods to optimize viscosity. Hand Soap Viscosity.
From gamma.app
Understanding Viscosity Hand Soap Viscosity Combine all components in phase 1 and mix until homogeneous. 119 rows a table of common liquids grouped by class or type including information on viscosity at a given temperature & whether the liquid is. 100 rows data table of dynamic viscosity of common liquids. Fruit juice gelatine 37% solids glucose glycerine 100% glycerine 100%. Gravy slurry hand cream isopropyl. Hand Soap Viscosity.
From www.carterspackaging.com
Senses Bactericidal Hand Soap Hand Soap Viscosity Find the dynamic (absolute) viscosity values for a wide range of liquids in both si (mpa·s) and us customary (lbf·s/ft²) units. This research aims to investigate the influence of mixed surfactants on the viscosity, ph, and stability of liquid soap. Gradually sprinkle hpmc into your soap mix and stir well until your soap reaches the desired viscosity. Combine all components. Hand Soap Viscosity.
From wastherapy.weebly.com
Viscosity comparison chart Wastherapy Hand Soap Viscosity Master the fundamentals of liquid detergent viscosity, its impact on cleaning performance, factors affecting it, and methods to optimize viscosity for a better user experience. Fruit juice gelatine 37% solids glucose glycerine 100% glycerine 100%. Gravy slurry hand cream isopropyl alcohol jam garnish lacquer 25%. Combine all components in phase 1 and mix until homogeneous. 100 rows data table of. Hand Soap Viscosity.
From www.homedepot.com
Softsoap 7.5 oz. Lavender and Cham Hand Soap126217 The Home Depot Hand Soap Viscosity Find the dynamic (absolute) viscosity values for a wide range of liquids in both si (mpa·s) and us customary (lbf·s/ft²) units. Gravy slurry hand cream isopropyl alcohol jam garnish lacquer 25%. 119 rows a table of common liquids grouped by class or type including information on viscosity at a given temperature & whether the liquid is. Gradually sprinkle hpmc into. Hand Soap Viscosity.
From ar.inspiredpencil.com
Viscosity Diagram Hand Soap Viscosity Master the fundamentals of liquid detergent viscosity, its impact on cleaning performance, factors affecting it, and methods to optimize viscosity for a better user experience. Fruit juice gelatine 37% solids glucose glycerine 100% glycerine 100%. Please find below a table of common compounds and their dynamic. Combine all components in phase 1 and mix until homogeneous. This research aims to. Hand Soap Viscosity.
From elchoroukhost.net
Viscosity Table Of Common Liquids Elcho Table Hand Soap Viscosity 119 rows a table of common liquids grouped by class or type including information on viscosity at a given temperature & whether the liquid is. Gradually sprinkle hpmc into your soap mix and stir well until your soap reaches the desired viscosity. Remember that when using thickening agents, always add slowly while stirring continuously and never add them directly to. Hand Soap Viscosity.
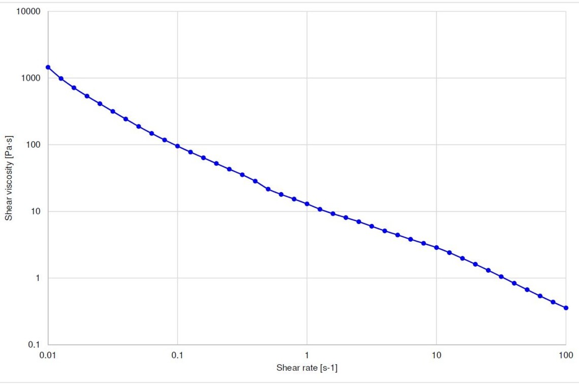
From www.researchgate.net
Viscosity curves of the samples tested. The changes in viscosity with Hand Soap Viscosity Please find below a table of common compounds and their dynamic. 100 rows data table of dynamic viscosity of common liquids. Find the dynamic (absolute) viscosity values for a wide range of liquids in both si (mpa·s) and us customary (lbf·s/ft²) units. Gradually sprinkle hpmc into your soap mix and stir well until your soap reaches the desired viscosity. Remember. Hand Soap Viscosity.
From www.google.com
Patent EP2300592A2 Antimicrobial foam hand soap Google Patents Hand Soap Viscosity Fruit juice gelatine 37% solids glucose glycerine 100% glycerine 100%. This research aims to investigate the influence of mixed surfactants on the viscosity, ph, and stability of liquid soap. Gradually sprinkle hpmc into your soap mix and stir well until your soap reaches the desired viscosity. 100 rows data table of dynamic viscosity of common liquids. Master the fundamentals of. Hand Soap Viscosity.
From analyzing-testing.netzsch.com
Rheology for Beginners Determining the Viscosity of a Hand Cream Hand Soap Viscosity Fruit juice gelatine 37% solids glucose glycerine 100% glycerine 100%. This research aims to investigate the influence of mixed surfactants on the viscosity, ph, and stability of liquid soap. Master the fundamentals of liquid detergent viscosity, its impact on cleaning performance, factors affecting it, and methods to optimize viscosity for a better user experience. Gravy slurry hand cream isopropyl alcohol. Hand Soap Viscosity.
From analyzing-testing.netzsch.com
Rheology for Beginners Determining the Viscosity of a Hand Cream Hand Soap Viscosity Gradually sprinkle hpmc into your soap mix and stir well until your soap reaches the desired viscosity. Find the dynamic (absolute) viscosity values for a wide range of liquids in both si (mpa·s) and us customary (lbf·s/ft²) units. This research aims to investigate the influence of mixed surfactants on the viscosity, ph, and stability of liquid soap. Gravy slurry hand. Hand Soap Viscosity.
From www.google.com
Patent WO2003014275A1 Thickening on dilution liquid soap Google Patents Hand Soap Viscosity Combine all components in phase 1 and mix until homogeneous. Find the dynamic (absolute) viscosity values for a wide range of liquids in both si (mpa·s) and us customary (lbf·s/ft²) units. Remember that when using thickening agents, always add slowly while stirring continuously and never add them directly to acidic ingredients. 119 rows a table of common liquids grouped by. Hand Soap Viscosity.
From www.epakmachinery.com
Viscosity Chart Liquid Fill Viscous Data for Bottle Filling Hand Soap Viscosity 119 rows a table of common liquids grouped by class or type including information on viscosity at a given temperature & whether the liquid is. Gradually sprinkle hpmc into your soap mix and stir well until your soap reaches the desired viscosity. Master the fundamentals of liquid detergent viscosity, its impact on cleaning performance, factors affecting it, and methods to. Hand Soap Viscosity.
From sciencenotes.org
Viscosity Definition and Examples Hand Soap Viscosity Fruit juice gelatine 37% solids glucose glycerine 100% glycerine 100%. Remember that when using thickening agents, always add slowly while stirring continuously and never add them directly to acidic ingredients. 100 rows data table of dynamic viscosity of common liquids. Find the dynamic (absolute) viscosity values for a wide range of liquids in both si (mpa·s) and us customary (lbf·s/ft²). Hand Soap Viscosity.
From www.globalindustrial.ca
Bathroom Supplies Soaps & Lotions Global Industrial™ Liquid Hand Hand Soap Viscosity Find the dynamic (absolute) viscosity values for a wide range of liquids in both si (mpa·s) and us customary (lbf·s/ft²) units. This research aims to investigate the influence of mixed surfactants on the viscosity, ph, and stability of liquid soap. Gradually sprinkle hpmc into your soap mix and stir well until your soap reaches the desired viscosity. Master the fundamentals. Hand Soap Viscosity.
From tammarketing.co.uk
Senses Luxury Liquid Hand Soap 500ml TAM Marketing Ltd Hand Soap Viscosity Fruit juice gelatine 37% solids glucose glycerine 100% glycerine 100%. Gravy slurry hand cream isopropyl alcohol jam garnish lacquer 25%. 119 rows a table of common liquids grouped by class or type including information on viscosity at a given temperature & whether the liquid is. This research aims to investigate the influence of mixed surfactants on the viscosity, ph, and. Hand Soap Viscosity.
From chunlaimachine.en.made-in-china.com
Hand Sanitizer Viscosity Cosmetic Thick Cream Gel Bottle Packing Hand Soap Viscosity Fruit juice gelatine 37% solids glucose glycerine 100% glycerine 100%. Remember that when using thickening agents, always add slowly while stirring continuously and never add them directly to acidic ingredients. Please find below a table of common compounds and their dynamic. Gradually sprinkle hpmc into your soap mix and stir well until your soap reaches the desired viscosity. 119 rows. Hand Soap Viscosity.
From www.scribd.com
Viscous Liquid Soap Liquids Viscosity Hand Soap Viscosity 100 rows data table of dynamic viscosity of common liquids. This research aims to investigate the influence of mixed surfactants on the viscosity, ph, and stability of liquid soap. Find the dynamic (absolute) viscosity values for a wide range of liquids in both si (mpa·s) and us customary (lbf·s/ft²) units. Please find below a table of common compounds and their. Hand Soap Viscosity.
From www.lazada.com.ph
Wise Choice LIQUID HAND SOAP 1Gallon (HEAVEN SCENT) AntibacterialRf8 Hand Soap Viscosity Remember that when using thickening agents, always add slowly while stirring continuously and never add them directly to acidic ingredients. 119 rows a table of common liquids grouped by class or type including information on viscosity at a given temperature & whether the liquid is. Find the dynamic (absolute) viscosity values for a wide range of liquids in both si. Hand Soap Viscosity.
From www.leaf.tv
How to Increase the Viscosity of Liquid Castile Soap LEAFtv Hand Soap Viscosity Fruit juice gelatine 37% solids glucose glycerine 100% glycerine 100%. Master the fundamentals of liquid detergent viscosity, its impact on cleaning performance, factors affecting it, and methods to optimize viscosity for a better user experience. This research aims to investigate the influence of mixed surfactants on the viscosity, ph, and stability of liquid soap. Please find below a table of. Hand Soap Viscosity.
From littlebinsforlittlehands.com
Simple Viscosity Experiment For Kids Little Bins for Little Hands Hand Soap Viscosity Fruit juice gelatine 37% solids glucose glycerine 100% glycerine 100%. Find the dynamic (absolute) viscosity values for a wide range of liquids in both si (mpa·s) and us customary (lbf·s/ft²) units. Remember that when using thickening agents, always add slowly while stirring continuously and never add them directly to acidic ingredients. Gravy slurry hand cream isopropyl alcohol jam garnish lacquer. Hand Soap Viscosity.
From www.walmart.com
Softsoap Liquid Hand Soap Refill, Clean Splash, 50 oz Hand Soap Viscosity 100 rows data table of dynamic viscosity of common liquids. Remember that when using thickening agents, always add slowly while stirring continuously and never add them directly to acidic ingredients. 119 rows a table of common liquids grouped by class or type including information on viscosity at a given temperature & whether the liquid is. Gravy slurry hand cream isopropyl. Hand Soap Viscosity.