Two Metal Rods Having Same Length . The materials of the rods have young. Let the thermal conductivity of the first and second metal rod be k and k2. Their thermal conductivities are k 1 and k 2 and. Two uniform metal rods of length \\[{{l}_{1}}\\] and \\[{{l}_{2}}\\] and the linear coefficients of expansion \\[{{\\alpha }_{1}}\\] and \\[{{\\alpha. Derive an expression for the total heat transfer rate between two surfaces at temperature th and te where tr>te. Length of rods 1 and 2 is the same, let us assume the length to be $l$. Their thermal conductivities are k 1 and k 2 and cross sectional areas represents a 1 and a 2. Equal temperature difference exists between the ends of two metallic rods 1 and 2 of length. Equal temperature difference exists between the ends of two metallic rods 1 and 2 of length.
from www.doubtnut.com
Equal temperature difference exists between the ends of two metallic rods 1 and 2 of length. Two uniform metal rods of length \\[{{l}_{1}}\\] and \\[{{l}_{2}}\\] and the linear coefficients of expansion \\[{{\\alpha }_{1}}\\] and \\[{{\\alpha. The materials of the rods have young. Let the thermal conductivity of the first and second metal rod be k and k2. Equal temperature difference exists between the ends of two metallic rods 1 and 2 of length. Their thermal conductivities are k 1 and k 2 and cross sectional areas represents a 1 and a 2. Their thermal conductivities are k 1 and k 2 and. Derive an expression for the total heat transfer rate between two surfaces at temperature th and te where tr>te. Length of rods 1 and 2 is the same, let us assume the length to be $l$.
Two rods are connected as shown. The rods are of same length and same
Two Metal Rods Having Same Length Let the thermal conductivity of the first and second metal rod be k and k2. Equal temperature difference exists between the ends of two metallic rods 1 and 2 of length. Equal temperature difference exists between the ends of two metallic rods 1 and 2 of length. The materials of the rods have young. Let the thermal conductivity of the first and second metal rod be k and k2. Two uniform metal rods of length \\[{{l}_{1}}\\] and \\[{{l}_{2}}\\] and the linear coefficients of expansion \\[{{\\alpha }_{1}}\\] and \\[{{\\alpha. Derive an expression for the total heat transfer rate between two surfaces at temperature th and te where tr>te. Length of rods 1 and 2 is the same, let us assume the length to be $l$. Their thermal conductivities are k 1 and k 2 and cross sectional areas represents a 1 and a 2. Their thermal conductivities are k 1 and k 2 and.
From www.doubtnut.com
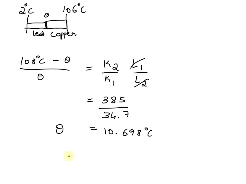
Two metal rods are fixed end to end between two rigid supports as show Two Metal Rods Having Same Length Length of rods 1 and 2 is the same, let us assume the length to be $l$. Two uniform metal rods of length \\[{{l}_{1}}\\] and \\[{{l}_{2}}\\] and the linear coefficients of expansion \\[{{\\alpha }_{1}}\\] and \\[{{\\alpha. Let the thermal conductivity of the first and second metal rod be k and k2. Equal temperature difference exists between the ends of two. Two Metal Rods Having Same Length.
From kunduz.com
[ANSWERED] Two rods B and C having same length and made of the same Two Metal Rods Having Same Length Their thermal conductivities are k 1 and k 2 and. Equal temperature difference exists between the ends of two metallic rods 1 and 2 of length. Derive an expression for the total heat transfer rate between two surfaces at temperature th and te where tr>te. Equal temperature difference exists between the ends of two metallic rods 1 and 2 of. Two Metal Rods Having Same Length.
From www.numerade.com
SOLVED Consider two rods of metal with the same cross sectional area Two Metal Rods Having Same Length Let the thermal conductivity of the first and second metal rod be k and k2. Two uniform metal rods of length \\[{{l}_{1}}\\] and \\[{{l}_{2}}\\] and the linear coefficients of expansion \\[{{\\alpha }_{1}}\\] and \\[{{\\alpha. Derive an expression for the total heat transfer rate between two surfaces at temperature th and te where tr>te. Their thermal conductivities are k 1 and. Two Metal Rods Having Same Length.
From www.toppr.com
Two rods P and Q of different metals having the same area A and the Two Metal Rods Having Same Length Their thermal conductivities are k 1 and k 2 and cross sectional areas represents a 1 and a 2. Equal temperature difference exists between the ends of two metallic rods 1 and 2 of length. Let the thermal conductivity of the first and second metal rod be k and k2. Equal temperature difference exists between the ends of two metallic. Two Metal Rods Having Same Length.
From www.toppr.com
Two rods are of same material and having same length and area. if heat Two Metal Rods Having Same Length Length of rods 1 and 2 is the same, let us assume the length to be $l$. The materials of the rods have young. Equal temperature difference exists between the ends of two metallic rods 1 and 2 of length. Two uniform metal rods of length \\[{{l}_{1}}\\] and \\[{{l}_{2}}\\] and the linear coefficients of expansion \\[{{\\alpha }_{1}}\\] and \\[{{\\alpha. Their. Two Metal Rods Having Same Length.
From kunduz.com
[ANSWERED] 14. Two metal rods, A and B, have the same resistance R. Rod Two Metal Rods Having Same Length Their thermal conductivities are k 1 and k 2 and. Let the thermal conductivity of the first and second metal rod be k and k2. Length of rods 1 and 2 is the same, let us assume the length to be $l$. The materials of the rods have young. Equal temperature difference exists between the ends of two metallic rods. Two Metal Rods Having Same Length.
From www.numerade.com
SOLVED Two metal rods of equal lengthone aluminum, the other Two Metal Rods Having Same Length Equal temperature difference exists between the ends of two metallic rods 1 and 2 of length. Let the thermal conductivity of the first and second metal rod be k and k2. Length of rods 1 and 2 is the same, let us assume the length to be $l$. Their thermal conductivities are k 1 and k 2 and. Derive an. Two Metal Rods Having Same Length.
From askfilo.com
5. Two metal rods have exactly the same resistance. Rod A has a length LA.. Two Metal Rods Having Same Length Equal temperature difference exists between the ends of two metallic rods 1 and 2 of length. Their thermal conductivities are k 1 and k 2 and. Length of rods 1 and 2 is the same, let us assume the length to be $l$. Derive an expression for the total heat transfer rate between two surfaces at temperature th and te. Two Metal Rods Having Same Length.
From askfilo.com
Two rods of different metals having the same area of cross section A are Two Metal Rods Having Same Length Length of rods 1 and 2 is the same, let us assume the length to be $l$. Equal temperature difference exists between the ends of two metallic rods 1 and 2 of length. Two uniform metal rods of length \\[{{l}_{1}}\\] and \\[{{l}_{2}}\\] and the linear coefficients of expansion \\[{{\\alpha }_{1}}\\] and \\[{{\\alpha. Their thermal conductivities are k 1 and k. Two Metal Rods Having Same Length.
From www.doubtnut.com
Center of mass of two thin uniform rods of same length but made up of Two Metal Rods Having Same Length Their thermal conductivities are k 1 and k 2 and cross sectional areas represents a 1 and a 2. The materials of the rods have young. Length of rods 1 and 2 is the same, let us assume the length to be $l$. Let the thermal conductivity of the first and second metal rod be k and k2. Two uniform. Two Metal Rods Having Same Length.
From www.toppr.com
Two rods A and B of different materials but same cross section are Two Metal Rods Having Same Length Equal temperature difference exists between the ends of two metallic rods 1 and 2 of length. Their thermal conductivities are k 1 and k 2 and. The materials of the rods have young. Length of rods 1 and 2 is the same, let us assume the length to be $l$. Two uniform metal rods of length \\[{{l}_{1}}\\] and \\[{{l}_{2}}\\] and. Two Metal Rods Having Same Length.
From www.doubtnut.com
Two metal rods of the same length and area of crosssection are fi Two Metal Rods Having Same Length Length of rods 1 and 2 is the same, let us assume the length to be $l$. Let the thermal conductivity of the first and second metal rod be k and k2. Their thermal conductivities are k 1 and k 2 and cross sectional areas represents a 1 and a 2. Equal temperature difference exists between the ends of two. Two Metal Rods Having Same Length.
From askfilo.com
Two rods are connected as shown. The rods are of same length and same cro.. Two Metal Rods Having Same Length Equal temperature difference exists between the ends of two metallic rods 1 and 2 of length. Derive an expression for the total heat transfer rate between two surfaces at temperature th and te where tr>te. Their thermal conductivities are k 1 and k 2 and. Their thermal conductivities are k 1 and k 2 and cross sectional areas represents a. Two Metal Rods Having Same Length.
From www.toppr.com
UUUUUUUUUU LILLIUS 19. Two identical rods AC and CB made of two Two Metal Rods Having Same Length Length of rods 1 and 2 is the same, let us assume the length to be $l$. Equal temperature difference exists between the ends of two metallic rods 1 and 2 of length. Equal temperature difference exists between the ends of two metallic rods 1 and 2 of length. Their thermal conductivities are k 1 and k 2 and. Derive. Two Metal Rods Having Same Length.
From www.doubtnut.com
Two metal rods are fixed end to end between two rigid supports, as sho Two Metal Rods Having Same Length Two uniform metal rods of length \\[{{l}_{1}}\\] and \\[{{l}_{2}}\\] and the linear coefficients of expansion \\[{{\\alpha }_{1}}\\] and \\[{{\\alpha. Equal temperature difference exists between the ends of two metallic rods 1 and 2 of length. Equal temperature difference exists between the ends of two metallic rods 1 and 2 of length. Let the thermal conductivity of the first and second. Two Metal Rods Having Same Length.
From www.youtube.com
The length of the two rods made up of the same metal and having the Two Metal Rods Having Same Length Equal temperature difference exists between the ends of two metallic rods 1 and 2 of length. Their thermal conductivities are k 1 and k 2 and. The materials of the rods have young. Their thermal conductivities are k 1 and k 2 and cross sectional areas represents a 1 and a 2. Equal temperature difference exists between the ends of. Two Metal Rods Having Same Length.
From brainly.in
Two metal rods 1 and 2 of same lengths have same temperature difference Two Metal Rods Having Same Length Let the thermal conductivity of the first and second metal rod be k and k2. Their thermal conductivities are k 1 and k 2 and cross sectional areas represents a 1 and a 2. The materials of the rods have young. Derive an expression for the total heat transfer rate between two surfaces at temperature th and te where tr>te.. Two Metal Rods Having Same Length.
From www.chegg.com
Solved 1. Two metal rods, A and B, are made of the same Two Metal Rods Having Same Length Equal temperature difference exists between the ends of two metallic rods 1 and 2 of length. Length of rods 1 and 2 is the same, let us assume the length to be $l$. Let the thermal conductivity of the first and second metal rod be k and k2. Their thermal conductivities are k 1 and k 2 and. Derive an. Two Metal Rods Having Same Length.
From www.doubtnut.com
Two rods are connected as shown. The rods are of same length and same Two Metal Rods Having Same Length Their thermal conductivities are k 1 and k 2 and. The materials of the rods have young. Two uniform metal rods of length \\[{{l}_{1}}\\] and \\[{{l}_{2}}\\] and the linear coefficients of expansion \\[{{\\alpha }_{1}}\\] and \\[{{\\alpha. Equal temperature difference exists between the ends of two metallic rods 1 and 2 of length. Their thermal conductivities are k 1 and k. Two Metal Rods Having Same Length.
From www.toppr.com
Two metallic rods are connected in series. Both are of same material Two Metal Rods Having Same Length The materials of the rods have young. Two uniform metal rods of length \\[{{l}_{1}}\\] and \\[{{l}_{2}}\\] and the linear coefficients of expansion \\[{{\\alpha }_{1}}\\] and \\[{{\\alpha. Their thermal conductivities are k 1 and k 2 and. Let the thermal conductivity of the first and second metal rod be k and k2. Their thermal conductivities are k 1 and k 2. Two Metal Rods Having Same Length.
From www.doubtnut.com
Two metal rods of the same length and area of crosssection are fi Two Metal Rods Having Same Length Derive an expression for the total heat transfer rate between two surfaces at temperature th and te where tr>te. Let the thermal conductivity of the first and second metal rod be k and k2. Equal temperature difference exists between the ends of two metallic rods 1 and 2 of length. Two uniform metal rods of length \\[{{l}_{1}}\\] and \\[{{l}_{2}}\\] and. Two Metal Rods Having Same Length.
From www.youtube.com
Two metal rods of the same length and area of crosssection are fixed Two Metal Rods Having Same Length Their thermal conductivities are k 1 and k 2 and. Let the thermal conductivity of the first and second metal rod be k and k2. The materials of the rods have young. Equal temperature difference exists between the ends of two metallic rods 1 and 2 of length. Equal temperature difference exists between the ends of two metallic rods 1. Two Metal Rods Having Same Length.
From www.toppr.com
Two rods P and Q of different metals having the same area A and the Two Metal Rods Having Same Length Equal temperature difference exists between the ends of two metallic rods 1 and 2 of length. Let the thermal conductivity of the first and second metal rod be k and k2. Equal temperature difference exists between the ends of two metallic rods 1 and 2 of length. Their thermal conductivities are k 1 and k 2 and. Length of rods. Two Metal Rods Having Same Length.
From www.toppr.com
Two metal rods 1 and 2 of same lengths have same temperature difference Two Metal Rods Having Same Length Their thermal conductivities are k 1 and k 2 and. Equal temperature difference exists between the ends of two metallic rods 1 and 2 of length. Their thermal conductivities are k 1 and k 2 and cross sectional areas represents a 1 and a 2. The materials of the rods have young. Let the thermal conductivity of the first and. Two Metal Rods Having Same Length.
From www.numerade.com
SOLVED Two metal rods of equal length L = 0.525 m are connected in Two Metal Rods Having Same Length Length of rods 1 and 2 is the same, let us assume the length to be $l$. Two uniform metal rods of length \\[{{l}_{1}}\\] and \\[{{l}_{2}}\\] and the linear coefficients of expansion \\[{{\\alpha }_{1}}\\] and \\[{{\\alpha. Equal temperature difference exists between the ends of two metallic rods 1 and 2 of length. Let the thermal conductivity of the first and. Two Metal Rods Having Same Length.
From www.youtube.com
Two rods of different metals having the same area of cross section A Two Metal Rods Having Same Length Derive an expression for the total heat transfer rate between two surfaces at temperature th and te where tr>te. Length of rods 1 and 2 is the same, let us assume the length to be $l$. Their thermal conductivities are k 1 and k 2 and. Two uniform metal rods of length \\[{{l}_{1}}\\] and \\[{{l}_{2}}\\] and the linear coefficients of. Two Metal Rods Having Same Length.
From www.chegg.com
Solved length L Two rods are made of the same kind of steel Two Metal Rods Having Same Length Their thermal conductivities are k 1 and k 2 and cross sectional areas represents a 1 and a 2. Equal temperature difference exists between the ends of two metallic rods 1 and 2 of length. Their thermal conductivities are k 1 and k 2 and. The materials of the rods have young. Derive an expression for the total heat transfer. Two Metal Rods Having Same Length.
From www.toppr.com
82. Two metal rods of same length and same cross sectional area are Two Metal Rods Having Same Length Two uniform metal rods of length \\[{{l}_{1}}\\] and \\[{{l}_{2}}\\] and the linear coefficients of expansion \\[{{\\alpha }_{1}}\\] and \\[{{\\alpha. Derive an expression for the total heat transfer rate between two surfaces at temperature th and te where tr>te. Equal temperature difference exists between the ends of two metallic rods 1 and 2 of length. Length of rods 1 and 2. Two Metal Rods Having Same Length.
From www.toppr.com
Two rods of different materials having the same area of cross section A Two Metal Rods Having Same Length Length of rods 1 and 2 is the same, let us assume the length to be $l$. Equal temperature difference exists between the ends of two metallic rods 1 and 2 of length. The materials of the rods have young. Two uniform metal rods of length \\[{{l}_{1}}\\] and \\[{{l}_{2}}\\] and the linear coefficients of expansion \\[{{\\alpha }_{1}}\\] and \\[{{\\alpha. Their. Two Metal Rods Having Same Length.
From www.toppr.com
Two metal rods having same length and area of crosssection are fixed Two Metal Rods Having Same Length Let the thermal conductivity of the first and second metal rod be k and k2. Equal temperature difference exists between the ends of two metallic rods 1 and 2 of length. Equal temperature difference exists between the ends of two metallic rods 1 and 2 of length. Two uniform metal rods of length \\[{{l}_{1}}\\] and \\[{{l}_{2}}\\] and the linear coefficients. Two Metal Rods Having Same Length.
From www.toppr.com
Two rods are of same material and having same length and area. if heat Two Metal Rods Having Same Length The materials of the rods have young. Their thermal conductivities are k 1 and k 2 and. Equal temperature difference exists between the ends of two metallic rods 1 and 2 of length. Derive an expression for the total heat transfer rate between two surfaces at temperature th and te where tr>te. Let the thermal conductivity of the first and. Two Metal Rods Having Same Length.
From www.toppr.com
82. Two metal rods of same length and same cross sectional area are Two Metal Rods Having Same Length Equal temperature difference exists between the ends of two metallic rods 1 and 2 of length. Derive an expression for the total heat transfer rate between two surfaces at temperature th and te where tr>te. The materials of the rods have young. Length of rods 1 and 2 is the same, let us assume the length to be $l$. Equal. Two Metal Rods Having Same Length.
From www.toppr.com
82. Two metal rods of same length and same cross sectional area are Two Metal Rods Having Same Length Their thermal conductivities are k 1 and k 2 and. Two uniform metal rods of length \\[{{l}_{1}}\\] and \\[{{l}_{2}}\\] and the linear coefficients of expansion \\[{{\\alpha }_{1}}\\] and \\[{{\\alpha. Derive an expression for the total heat transfer rate between two surfaces at temperature th and te where tr>te. The materials of the rods have young. Let the thermal conductivity of. Two Metal Rods Having Same Length.
From www.toppr.com
Two rods A and B of different materials but same cross section are Two Metal Rods Having Same Length Equal temperature difference exists between the ends of two metallic rods 1 and 2 of length. Let the thermal conductivity of the first and second metal rod be k and k2. Equal temperature difference exists between the ends of two metallic rods 1 and 2 of length. Two uniform metal rods of length \\[{{l}_{1}}\\] and \\[{{l}_{2}}\\] and the linear coefficients. Two Metal Rods Having Same Length.
From www.toppr.com
Two metal rods of same length and same material conduct a given amount Two Metal Rods Having Same Length The materials of the rods have young. Equal temperature difference exists between the ends of two metallic rods 1 and 2 of length. Two uniform metal rods of length \\[{{l}_{1}}\\] and \\[{{l}_{2}}\\] and the linear coefficients of expansion \\[{{\\alpha }_{1}}\\] and \\[{{\\alpha. Equal temperature difference exists between the ends of two metallic rods 1 and 2 of length. Derive an. Two Metal Rods Having Same Length.