Lead Carbonate Balanced Equation . the balanced chemical equation has 16 carbon atoms, 36 hydrogen atoms, and 50 oxygen atoms on each side. the simplest and most generally useful method for balancing chemical equations is “inspection,” better known as trial and error. balance the reaction of pb(no3)2 + k2co3 = pbco3 + kno3 using this chemical equation balancer! pb (co3) = pbo + co2 is a decomposition reaction where one mole of lead carbonate [pb (co 3)] decomposes into one mole of lead. how do you write the balanced chemical, complete ionic and net ionic equation for the reaction between aqueous solutions of. the chemical equation described in section 4.1 is balanced, meaning that equal numbers of atoms for each element involved in the.
from exohsvhug.blob.core.windows.net
pb (co3) = pbo + co2 is a decomposition reaction where one mole of lead carbonate [pb (co 3)] decomposes into one mole of lead. the balanced chemical equation has 16 carbon atoms, 36 hydrogen atoms, and 50 oxygen atoms on each side. balance the reaction of pb(no3)2 + k2co3 = pbco3 + kno3 using this chemical equation balancer! the simplest and most generally useful method for balancing chemical equations is “inspection,” better known as trial and error. the chemical equation described in section 4.1 is balanced, meaning that equal numbers of atoms for each element involved in the. how do you write the balanced chemical, complete ionic and net ionic equation for the reaction between aqueous solutions of.
Lead Oxide And Sodium Hydroxide Equation at Sebastian Malone blog
Lead Carbonate Balanced Equation balance the reaction of pb(no3)2 + k2co3 = pbco3 + kno3 using this chemical equation balancer! the simplest and most generally useful method for balancing chemical equations is “inspection,” better known as trial and error. how do you write the balanced chemical, complete ionic and net ionic equation for the reaction between aqueous solutions of. the balanced chemical equation has 16 carbon atoms, 36 hydrogen atoms, and 50 oxygen atoms on each side. pb (co3) = pbo + co2 is a decomposition reaction where one mole of lead carbonate [pb (co 3)] decomposes into one mole of lead. the chemical equation described in section 4.1 is balanced, meaning that equal numbers of atoms for each element involved in the. balance the reaction of pb(no3)2 + k2co3 = pbco3 + kno3 using this chemical equation balancer!
From exocoyzqy.blob.core.windows.net
Lead In Water Chemical Equation at Gordon Maxwell blog Lead Carbonate Balanced Equation the balanced chemical equation has 16 carbon atoms, 36 hydrogen atoms, and 50 oxygen atoms on each side. the simplest and most generally useful method for balancing chemical equations is “inspection,” better known as trial and error. balance the reaction of pb(no3)2 + k2co3 = pbco3 + kno3 using this chemical equation balancer! how do you. Lead Carbonate Balanced Equation.
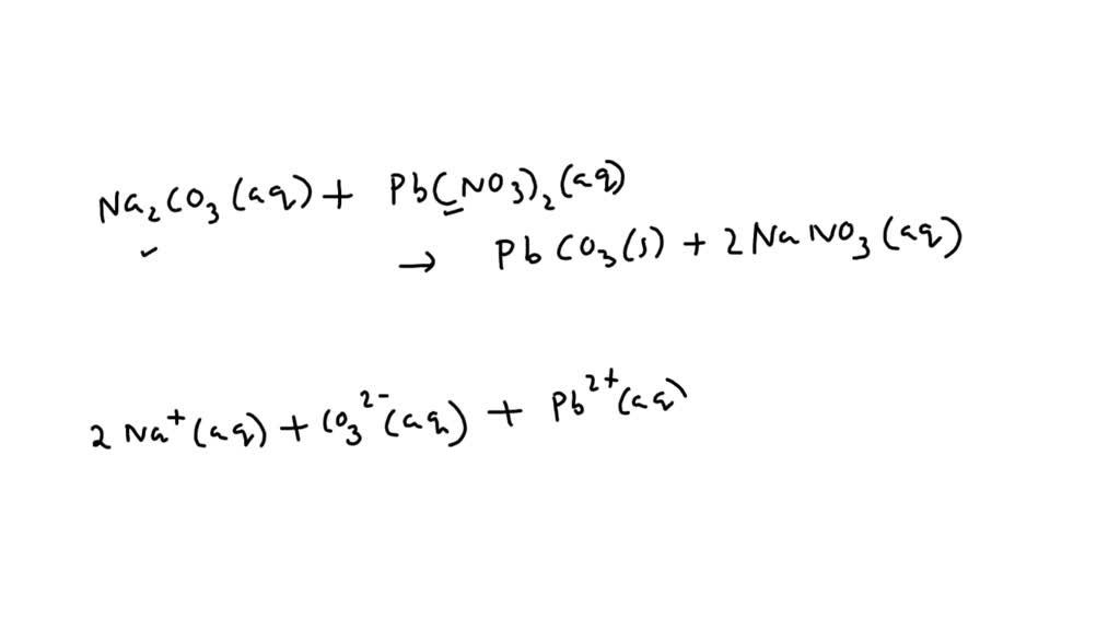
From www.numerade.com
SOLVED Write the balanced net ionic equation for the reaction of aqueous sodium carbonate with Lead Carbonate Balanced Equation pb (co3) = pbo + co2 is a decomposition reaction where one mole of lead carbonate [pb (co 3)] decomposes into one mole of lead. the simplest and most generally useful method for balancing chemical equations is “inspection,” better known as trial and error. the chemical equation described in section 4.1 is balanced, meaning that equal numbers. Lead Carbonate Balanced Equation.
From www.toppr.com
9 C IL DIL V A C Uw neutral gases combine to give a basic gas Certain thermal Lead Carbonate Balanced Equation the balanced chemical equation has 16 carbon atoms, 36 hydrogen atoms, and 50 oxygen atoms on each side. how do you write the balanced chemical, complete ionic and net ionic equation for the reaction between aqueous solutions of. balance the reaction of pb(no3)2 + k2co3 = pbco3 + kno3 using this chemical equation balancer! the chemical. Lead Carbonate Balanced Equation.
From www.youtube.com
How to Write the Formula for Lead (II) carbonate YouTube Lead Carbonate Balanced Equation the chemical equation described in section 4.1 is balanced, meaning that equal numbers of atoms for each element involved in the. the balanced chemical equation has 16 carbon atoms, 36 hydrogen atoms, and 50 oxygen atoms on each side. the simplest and most generally useful method for balancing chemical equations is “inspection,” better known as trial and. Lead Carbonate Balanced Equation.
From www.youtube.com
How to Balance Pb(NO3)2 + NaBr = PbBr2 + NaNO3 Lead (II) nitrate + Sodium bromide YouTube Lead Carbonate Balanced Equation the balanced chemical equation has 16 carbon atoms, 36 hydrogen atoms, and 50 oxygen atoms on each side. balance the reaction of pb(no3)2 + k2co3 = pbco3 + kno3 using this chemical equation balancer! the simplest and most generally useful method for balancing chemical equations is “inspection,” better known as trial and error. how do you. Lead Carbonate Balanced Equation.
From www.chegg.com
Solved Compare the solubility of lead carbonate in each of Lead Carbonate Balanced Equation how do you write the balanced chemical, complete ionic and net ionic equation for the reaction between aqueous solutions of. the chemical equation described in section 4.1 is balanced, meaning that equal numbers of atoms for each element involved in the. the balanced chemical equation has 16 carbon atoms, 36 hydrogen atoms, and 50 oxygen atoms on. Lead Carbonate Balanced Equation.
From brainly.in
Give balanced chemical equation to prepare lead sulphate from lead carbonate Brainly.in Lead Carbonate Balanced Equation the chemical equation described in section 4.1 is balanced, meaning that equal numbers of atoms for each element involved in the. balance the reaction of pb(no3)2 + k2co3 = pbco3 + kno3 using this chemical equation balancer! how do you write the balanced chemical, complete ionic and net ionic equation for the reaction between aqueous solutions of.. Lead Carbonate Balanced Equation.
From www.numerade.com
SOLVED Write balanced complete chemical equation the complete ionic equation net ionic Lead Carbonate Balanced Equation how do you write the balanced chemical, complete ionic and net ionic equation for the reaction between aqueous solutions of. the simplest and most generally useful method for balancing chemical equations is “inspection,” better known as trial and error. balance the reaction of pb(no3)2 + k2co3 = pbco3 + kno3 using this chemical equation balancer! pb. Lead Carbonate Balanced Equation.
From cekpqokm.blob.core.windows.net
Lead Carbonate Equation For Thermal at Kathleen Rosales blog Lead Carbonate Balanced Equation pb (co3) = pbo + co2 is a decomposition reaction where one mole of lead carbonate [pb (co 3)] decomposes into one mole of lead. how do you write the balanced chemical, complete ionic and net ionic equation for the reaction between aqueous solutions of. balance the reaction of pb(no3)2 + k2co3 = pbco3 + kno3 using. Lead Carbonate Balanced Equation.
From www.numerade.com
SOLVED Write the balanced net ionic equation for the reaction of aqueous sodium carbonate with Lead Carbonate Balanced Equation pb (co3) = pbo + co2 is a decomposition reaction where one mole of lead carbonate [pb (co 3)] decomposes into one mole of lead. the simplest and most generally useful method for balancing chemical equations is “inspection,” better known as trial and error. the chemical equation described in section 4.1 is balanced, meaning that equal numbers. Lead Carbonate Balanced Equation.
From brainly.in
Lead oxide + carbon gives lead + carbon dioxide balanced chemical equation Brainly.in Lead Carbonate Balanced Equation the chemical equation described in section 4.1 is balanced, meaning that equal numbers of atoms for each element involved in the. how do you write the balanced chemical, complete ionic and net ionic equation for the reaction between aqueous solutions of. the balanced chemical equation has 16 carbon atoms, 36 hydrogen atoms, and 50 oxygen atoms on. Lead Carbonate Balanced Equation.
From brainly.in
c. Lead dioxide [lead (IV) oxide]= Lead monoxide + Oxygen balance Brainly.in Lead Carbonate Balanced Equation how do you write the balanced chemical, complete ionic and net ionic equation for the reaction between aqueous solutions of. the simplest and most generally useful method for balancing chemical equations is “inspection,” better known as trial and error. the balanced chemical equation has 16 carbon atoms, 36 hydrogen atoms, and 50 oxygen atoms on each side.. Lead Carbonate Balanced Equation.
From www.toppr.com
In the of lead (ll) nitrate to give lead (ll) oxide, nitrogen dioxide and oxygen Lead Carbonate Balanced Equation the balanced chemical equation has 16 carbon atoms, 36 hydrogen atoms, and 50 oxygen atoms on each side. the chemical equation described in section 4.1 is balanced, meaning that equal numbers of atoms for each element involved in the. how do you write the balanced chemical, complete ionic and net ionic equation for the reaction between aqueous. Lead Carbonate Balanced Equation.
From www.youtube.com
Write balanced chemical equation only for the reaction of hydrogen with lead oxide CLASS 8 H Lead Carbonate Balanced Equation the balanced chemical equation has 16 carbon atoms, 36 hydrogen atoms, and 50 oxygen atoms on each side. pb (co3) = pbo + co2 is a decomposition reaction where one mole of lead carbonate [pb (co 3)] decomposes into one mole of lead. how do you write the balanced chemical, complete ionic and net ionic equation for. Lead Carbonate Balanced Equation.
From www.fishersci.ca
Lead(II) carbonate, ACS, Thermo Scientific Chemicals Fisher Scientific Lead Carbonate Balanced Equation the simplest and most generally useful method for balancing chemical equations is “inspection,” better known as trial and error. the balanced chemical equation has 16 carbon atoms, 36 hydrogen atoms, and 50 oxygen atoms on each side. how do you write the balanced chemical, complete ionic and net ionic equation for the reaction between aqueous solutions of.. Lead Carbonate Balanced Equation.
From www.numerade.com
Lead (II) carbonate to form lead (II) oxide and carbon dioxide a) Write the balanced Lead Carbonate Balanced Equation how do you write the balanced chemical, complete ionic and net ionic equation for the reaction between aqueous solutions of. balance the reaction of pb(no3)2 + k2co3 = pbco3 + kno3 using this chemical equation balancer! the chemical equation described in section 4.1 is balanced, meaning that equal numbers of atoms for each element involved in the.. Lead Carbonate Balanced Equation.
From exohsvhug.blob.core.windows.net
Lead Oxide And Sodium Hydroxide Equation at Sebastian Malone blog Lead Carbonate Balanced Equation the balanced chemical equation has 16 carbon atoms, 36 hydrogen atoms, and 50 oxygen atoms on each side. how do you write the balanced chemical, complete ionic and net ionic equation for the reaction between aqueous solutions of. pb (co3) = pbo + co2 is a decomposition reaction where one mole of lead carbonate [pb (co 3)]. Lead Carbonate Balanced Equation.
From www.numerade.com
SOLVEDWrite the balanced chemical equation for each reaction. a. Solid lead(II) sulfide reacts Lead Carbonate Balanced Equation balance the reaction of pb(no3)2 + k2co3 = pbco3 + kno3 using this chemical equation balancer! pb (co3) = pbo + co2 is a decomposition reaction where one mole of lead carbonate [pb (co 3)] decomposes into one mole of lead. the balanced chemical equation has 16 carbon atoms, 36 hydrogen atoms, and 50 oxygen atoms on. Lead Carbonate Balanced Equation.
From www.youtube.com
How to write the equation for PbCO3 + H2O Lead (II) carbonate + Water YouTube Lead Carbonate Balanced Equation how do you write the balanced chemical, complete ionic and net ionic equation for the reaction between aqueous solutions of. the simplest and most generally useful method for balancing chemical equations is “inspection,” better known as trial and error. the chemical equation described in section 4.1 is balanced, meaning that equal numbers of atoms for each element. Lead Carbonate Balanced Equation.
From brainly.in
lead 2 oxide formula Brainly.in Lead Carbonate Balanced Equation how do you write the balanced chemical, complete ionic and net ionic equation for the reaction between aqueous solutions of. the chemical equation described in section 4.1 is balanced, meaning that equal numbers of atoms for each element involved in the. pb (co3) = pbo + co2 is a decomposition reaction where one mole of lead carbonate. Lead Carbonate Balanced Equation.
From dxolebnih.blob.core.windows.net
Lead Carbonate Complexes at Justin Diaz blog Lead Carbonate Balanced Equation pb (co3) = pbo + co2 is a decomposition reaction where one mole of lead carbonate [pb (co 3)] decomposes into one mole of lead. the simplest and most generally useful method for balancing chemical equations is “inspection,” better known as trial and error. balance the reaction of pb(no3)2 + k2co3 = pbco3 + kno3 using this. Lead Carbonate Balanced Equation.
From classschoolhelms.z22.web.core.windows.net
50 Examples Of Balanced Chemical Equations Lead Carbonate Balanced Equation pb (co3) = pbo + co2 is a decomposition reaction where one mole of lead carbonate [pb (co 3)] decomposes into one mole of lead. the simplest and most generally useful method for balancing chemical equations is “inspection,” better known as trial and error. the balanced chemical equation has 16 carbon atoms, 36 hydrogen atoms, and 50. Lead Carbonate Balanced Equation.
From www.coursehero.com
[Solved] What is the balanced equation for carbonate ion (CO 3 ) acting as a... Course Hero Lead Carbonate Balanced Equation the simplest and most generally useful method for balancing chemical equations is “inspection,” better known as trial and error. how do you write the balanced chemical, complete ionic and net ionic equation for the reaction between aqueous solutions of. pb (co3) = pbo + co2 is a decomposition reaction where one mole of lead carbonate [pb (co. Lead Carbonate Balanced Equation.
From brainly.com
Which chemical equation describes the balanced reaction between lead and oxygen to form lead Lead Carbonate Balanced Equation the balanced chemical equation has 16 carbon atoms, 36 hydrogen atoms, and 50 oxygen atoms on each side. pb (co3) = pbo + co2 is a decomposition reaction where one mole of lead carbonate [pb (co 3)] decomposes into one mole of lead. balance the reaction of pb(no3)2 + k2co3 = pbco3 + kno3 using this chemical. Lead Carbonate Balanced Equation.
From www.toppr.com
Write the balanced chemical equation the following reactions & identify the of reaction i Lead Carbonate Balanced Equation the chemical equation described in section 4.1 is balanced, meaning that equal numbers of atoms for each element involved in the. how do you write the balanced chemical, complete ionic and net ionic equation for the reaction between aqueous solutions of. the simplest and most generally useful method for balancing chemical equations is “inspection,” better known as. Lead Carbonate Balanced Equation.
From exohqbjbg.blob.core.windows.net
Lead Hydroxide State Of Matter at Lester Brand blog Lead Carbonate Balanced Equation pb (co3) = pbo + co2 is a decomposition reaction where one mole of lead carbonate [pb (co 3)] decomposes into one mole of lead. the simplest and most generally useful method for balancing chemical equations is “inspection,” better known as trial and error. balance the reaction of pb(no3)2 + k2co3 = pbco3 + kno3 using this. Lead Carbonate Balanced Equation.
From brainly.in
Give balanced chemical equation to prepare the following salt Lead sulphate from lead carbonate Lead Carbonate Balanced Equation the balanced chemical equation has 16 carbon atoms, 36 hydrogen atoms, and 50 oxygen atoms on each side. how do you write the balanced chemical, complete ionic and net ionic equation for the reaction between aqueous solutions of. pb (co3) = pbo + co2 is a decomposition reaction where one mole of lead carbonate [pb (co 3)]. Lead Carbonate Balanced Equation.
From www.toppr.com
5. Write a balanced chemical equations the following chemical reactions (a) Hydrogen Lead Carbonate Balanced Equation pb (co3) = pbo + co2 is a decomposition reaction where one mole of lead carbonate [pb (co 3)] decomposes into one mole of lead. how do you write the balanced chemical, complete ionic and net ionic equation for the reaction between aqueous solutions of. the chemical equation described in section 4.1 is balanced, meaning that equal. Lead Carbonate Balanced Equation.
From www.numerade.com
SOLVED Part Write a balanced equation for the of lead (Il) carbonate to yield Lead Carbonate Balanced Equation the simplest and most generally useful method for balancing chemical equations is “inspection,” better known as trial and error. the balanced chemical equation has 16 carbon atoms, 36 hydrogen atoms, and 50 oxygen atoms on each side. balance the reaction of pb(no3)2 + k2co3 = pbco3 + kno3 using this chemical equation balancer! pb (co3) =. Lead Carbonate Balanced Equation.
From cekpqokm.blob.core.windows.net
Lead Carbonate Equation For Thermal at Kathleen Rosales blog Lead Carbonate Balanced Equation balance the reaction of pb(no3)2 + k2co3 = pbco3 + kno3 using this chemical equation balancer! the simplest and most generally useful method for balancing chemical equations is “inspection,” better known as trial and error. the chemical equation described in section 4.1 is balanced, meaning that equal numbers of atoms for each element involved in the. . Lead Carbonate Balanced Equation.
From www.numerade.com
write a balanced equation to represent the of lead(IV) oxide into it's constituent Lead Carbonate Balanced Equation how do you write the balanced chemical, complete ionic and net ionic equation for the reaction between aqueous solutions of. the balanced chemical equation has 16 carbon atoms, 36 hydrogen atoms, and 50 oxygen atoms on each side. the simplest and most generally useful method for balancing chemical equations is “inspection,” better known as trial and error.. Lead Carbonate Balanced Equation.
From www.chegg.com
Solved Write the balanced net ionic equation for the Lead Carbonate Balanced Equation the balanced chemical equation has 16 carbon atoms, 36 hydrogen atoms, and 50 oxygen atoms on each side. pb (co3) = pbo + co2 is a decomposition reaction where one mole of lead carbonate [pb (co 3)] decomposes into one mole of lead. the chemical equation described in section 4.1 is balanced, meaning that equal numbers of. Lead Carbonate Balanced Equation.
From cekpqokm.blob.core.windows.net
Lead Carbonate Equation For Thermal at Kathleen Rosales blog Lead Carbonate Balanced Equation the chemical equation described in section 4.1 is balanced, meaning that equal numbers of atoms for each element involved in the. the balanced chemical equation has 16 carbon atoms, 36 hydrogen atoms, and 50 oxygen atoms on each side. balance the reaction of pb(no3)2 + k2co3 = pbco3 + kno3 using this chemical equation balancer! pb. Lead Carbonate Balanced Equation.
From www.doubtnut.com
Give balanced equations for the following reactions Lead[II] oxide Lead Carbonate Balanced Equation pb (co3) = pbo + co2 is a decomposition reaction where one mole of lead carbonate [pb (co 3)] decomposes into one mole of lead. how do you write the balanced chemical, complete ionic and net ionic equation for the reaction between aqueous solutions of. the simplest and most generally useful method for balancing chemical equations is. Lead Carbonate Balanced Equation.
From exouyldhc.blob.core.windows.net
Lead Carbonate + Sulphuric Acid at Harold Petersen blog Lead Carbonate Balanced Equation pb (co3) = pbo + co2 is a decomposition reaction where one mole of lead carbonate [pb (co 3)] decomposes into one mole of lead. the simplest and most generally useful method for balancing chemical equations is “inspection,” better known as trial and error. the balanced chemical equation has 16 carbon atoms, 36 hydrogen atoms, and 50. Lead Carbonate Balanced Equation.