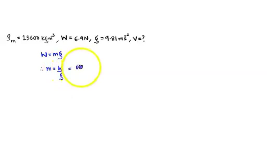
An Engineer Weighs A Sample Of Mercury . Mixed review an engineer weighs a sample of mercury (ρ = 13.6 × 10 3 kg / m 3) and finds that the weight of the sample is 4.5 n. An engineer weighs a sample of mercury (ρ = 13.6 × 103 kg/m3) and finds that the weight of the sample is 5.6 n. What is the sample's volume?. Calculate the specific gravity and the specific volume in $\mathrm{m}^{3} / \mathrm{kg}$ of the mercury. An engineer weighs a sample of mercury (p=13.6 x 10^3 kg/m^3) and finds that the weight of the sample is 4.6 n. 00410.0 points an engineer weighs a sample of mercury ( ρ=13.6×103 kg/m3 ) and finds that the weight of the sample is 5.9 n. To solve this problem, calculate the mass of the given sample of mercury by taking the ratio of its weight to the acceleration due to gravity. What is the sample’s volume?
from www.youtube.com
An engineer weighs a sample of mercury (p=13.6 x 10^3 kg/m^3) and finds that the weight of the sample is 4.6 n. What is the sample’s volume? An engineer weighs a sample of mercury (ρ = 13.6 × 103 kg/m3) and finds that the weight of the sample is 5.6 n. Calculate the specific gravity and the specific volume in $\mathrm{m}^{3} / \mathrm{kg}$ of the mercury. 00410.0 points an engineer weighs a sample of mercury ( ρ=13.6×103 kg/m3 ) and finds that the weight of the sample is 5.9 n. Mixed review an engineer weighs a sample of mercury (ρ = 13.6 × 10 3 kg / m 3) and finds that the weight of the sample is 4.5 n. To solve this problem, calculate the mass of the given sample of mercury by taking the ratio of its weight to the acceleration due to gravity. What is the sample's volume?.
Simple problems on Density, Specific Weight, Specific Gravity Fluid
An Engineer Weighs A Sample Of Mercury An engineer weighs a sample of mercury (ρ = 13.6 × 103 kg/m3) and finds that the weight of the sample is 5.6 n. An engineer weighs a sample of mercury (p=13.6 x 10^3 kg/m^3) and finds that the weight of the sample is 4.6 n. 00410.0 points an engineer weighs a sample of mercury ( ρ=13.6×103 kg/m3 ) and finds that the weight of the sample is 5.9 n. An engineer weighs a sample of mercury (ρ = 13.6 × 103 kg/m3) and finds that the weight of the sample is 5.6 n. Calculate the specific gravity and the specific volume in $\mathrm{m}^{3} / \mathrm{kg}$ of the mercury. What is the sample’s volume? To solve this problem, calculate the mass of the given sample of mercury by taking the ratio of its weight to the acceleration due to gravity. Mixed review an engineer weighs a sample of mercury (ρ = 13.6 × 10 3 kg / m 3) and finds that the weight of the sample is 4.5 n. What is the sample's volume?.
From www.westherts.ac.uk
Level 3 Extended Diploma in Aeronautical Engineering West Herts College An Engineer Weighs A Sample Of Mercury An engineer weighs a sample of mercury (ρ = 13.6 × 103 kg/m3) and finds that the weight of the sample is 5.6 n. 00410.0 points an engineer weighs a sample of mercury ( ρ=13.6×103 kg/m3 ) and finds that the weight of the sample is 5.9 n. To solve this problem, calculate the mass of the given sample of. An Engineer Weighs A Sample Of Mercury.
From fphoto.photoshelter.com
science element mercury Fundamental Photographs The Art of Science An Engineer Weighs A Sample Of Mercury What is the sample’s volume? Mixed review an engineer weighs a sample of mercury (ρ = 13.6 × 10 3 kg / m 3) and finds that the weight of the sample is 4.5 n. Calculate the specific gravity and the specific volume in $\mathrm{m}^{3} / \mathrm{kg}$ of the mercury. What is the sample's volume?. To solve this problem, calculate. An Engineer Weighs A Sample Of Mercury.
From www.chegg.com
Solved An engineer has a cylinder of PVC which weighs 9.8 An Engineer Weighs A Sample Of Mercury What is the sample's volume?. Mixed review an engineer weighs a sample of mercury (ρ = 13.6 × 10 3 kg / m 3) and finds that the weight of the sample is 4.5 n. 00410.0 points an engineer weighs a sample of mercury ( ρ=13.6×103 kg/m3 ) and finds that the weight of the sample is 5.9 n. To. An Engineer Weighs A Sample Of Mercury.
From slideplayer.com
gravi metric (weighing measure) ppt download An Engineer Weighs A Sample Of Mercury Calculate the specific gravity and the specific volume in $\mathrm{m}^{3} / \mathrm{kg}$ of the mercury. What is the sample's volume?. Mixed review an engineer weighs a sample of mercury (ρ = 13.6 × 10 3 kg / m 3) and finds that the weight of the sample is 4.5 n. 00410.0 points an engineer weighs a sample of mercury (. An Engineer Weighs A Sample Of Mercury.
From www.numerade.com
SOLVED A sample of mercury (II) bromide, HgBr2, weighs 426.0 g. How An Engineer Weighs A Sample Of Mercury Calculate the specific gravity and the specific volume in $\mathrm{m}^{3} / \mathrm{kg}$ of the mercury. An engineer weighs a sample of mercury (p=13.6 x 10^3 kg/m^3) and finds that the weight of the sample is 4.6 n. What is the sample's volume?. An engineer weighs a sample of mercury (ρ = 13.6 × 103 kg/m3) and finds that the weight. An Engineer Weighs A Sample Of Mercury.
From slideplayer.com
Mass Percent, Empirical Formula and Molecular Formula ppt download An Engineer Weighs A Sample Of Mercury Calculate the specific gravity and the specific volume in $\mathrm{m}^{3} / \mathrm{kg}$ of the mercury. An engineer weighs a sample of mercury (p=13.6 x 10^3 kg/m^3) and finds that the weight of the sample is 4.6 n. What is the sample's volume?. What is the sample’s volume? An engineer weighs a sample of mercury (ρ = 13.6 × 103 kg/m3). An Engineer Weighs A Sample Of Mercury.
From www.freepik.com
Premium Photo Mercury chemical element sign with atomic number and An Engineer Weighs A Sample Of Mercury An engineer weighs a sample of mercury (p=13.6 x 10^3 kg/m^3) and finds that the weight of the sample is 4.6 n. An engineer weighs a sample of mercury (ρ = 13.6 × 103 kg/m3) and finds that the weight of the sample is 5.6 n. What is the sample's volume?. Mixed review an engineer weighs a sample of mercury. An Engineer Weighs A Sample Of Mercury.
From www.chegg.com
Solved 1. 5.84638 x 10^5 2. 6.14619 x 10^5 An engineer An Engineer Weighs A Sample Of Mercury What is the sample’s volume? 00410.0 points an engineer weighs a sample of mercury ( ρ=13.6×103 kg/m3 ) and finds that the weight of the sample is 5.9 n. What is the sample's volume?. To solve this problem, calculate the mass of the given sample of mercury by taking the ratio of its weight to the acceleration due to gravity.. An Engineer Weighs A Sample Of Mercury.
From brainly.com
A scientist weighs a sample of iron on Scale 1 and weighs a sample of An Engineer Weighs A Sample Of Mercury Mixed review an engineer weighs a sample of mercury (ρ = 13.6 × 10 3 kg / m 3) and finds that the weight of the sample is 4.5 n. An engineer weighs a sample of mercury (p=13.6 x 10^3 kg/m^3) and finds that the weight of the sample is 4.6 n. What is the sample's volume?. What is the. An Engineer Weighs A Sample Of Mercury.
From www.numerade.com
SOLVED a sample of mercury (II) bromide hgbr2 weighs 8.65g how many An Engineer Weighs A Sample Of Mercury 00410.0 points an engineer weighs a sample of mercury ( ρ=13.6×103 kg/m3 ) and finds that the weight of the sample is 5.9 n. An engineer weighs a sample of mercury (p=13.6 x 10^3 kg/m^3) and finds that the weight of the sample is 4.6 n. What is the sample's volume?. What is the sample’s volume? Mixed review an engineer. An Engineer Weighs A Sample Of Mercury.
From www.chegg.com
Solved An engineer weighs a sample of mercury ( ρ=13.6×103 An Engineer Weighs A Sample Of Mercury An engineer weighs a sample of mercury (ρ = 13.6 × 103 kg/m3) and finds that the weight of the sample is 5.6 n. An engineer weighs a sample of mercury (p=13.6 x 10^3 kg/m^3) and finds that the weight of the sample is 4.6 n. Calculate the specific gravity and the specific volume in $\mathrm{m}^{3} / \mathrm{kg}$ of the. An Engineer Weighs A Sample Of Mercury.
From studylib.net
Buoyancy Examples An Engineer Weighs A Sample Of Mercury An engineer weighs a sample of mercury (p=13.6 x 10^3 kg/m^3) and finds that the weight of the sample is 4.6 n. An engineer weighs a sample of mercury (ρ = 13.6 × 103 kg/m3) and finds that the weight of the sample is 5.6 n. To solve this problem, calculate the mass of the given sample of mercury by. An Engineer Weighs A Sample Of Mercury.
From www.youtube.com
A sample of an unknown material appears to weigh 300 N in air and 200 N An Engineer Weighs A Sample Of Mercury What is the sample's volume?. An engineer weighs a sample of mercury (p=13.6 x 10^3 kg/m^3) and finds that the weight of the sample is 4.6 n. 00410.0 points an engineer weighs a sample of mercury ( ρ=13.6×103 kg/m3 ) and finds that the weight of the sample is 5.9 n. What is the sample’s volume? Calculate the specific gravity. An Engineer Weighs A Sample Of Mercury.
From www.youtube.com
Engineering Statics 3/1 Equilibrium in Two Dimension Chapter 3 An Engineer Weighs A Sample Of Mercury An engineer weighs a sample of mercury (ρ = 13.6 × 103 kg/m3) and finds that the weight of the sample is 5.6 n. Calculate the specific gravity and the specific volume in $\mathrm{m}^{3} / \mathrm{kg}$ of the mercury. What is the sample's volume?. What is the sample’s volume? An engineer weighs a sample of mercury (p=13.6 x 10^3 kg/m^3). An Engineer Weighs A Sample Of Mercury.
From www.chegg.com
Solved An engineer weighs a sample of mercury An Engineer Weighs A Sample Of Mercury What is the sample's volume?. An engineer weighs a sample of mercury (p=13.6 x 10^3 kg/m^3) and finds that the weight of the sample is 4.6 n. Calculate the specific gravity and the specific volume in $\mathrm{m}^{3} / \mathrm{kg}$ of the mercury. Mixed review an engineer weighs a sample of mercury (ρ = 13.6 × 10 3 kg / m. An Engineer Weighs A Sample Of Mercury.
From froydreviewer.blogspot.com
Solution What is the specific weight of mercury? PinoyBIX An Engineer Weighs A Sample Of Mercury An engineer weighs a sample of mercury (p=13.6 x 10^3 kg/m^3) and finds that the weight of the sample is 4.6 n. What is the sample’s volume? To solve this problem, calculate the mass of the given sample of mercury by taking the ratio of its weight to the acceleration due to gravity. What is the sample's volume?. Calculate the. An Engineer Weighs A Sample Of Mercury.
From www.chegg.com
Solved 00110.0 points An engineer weighs a sample of mercury An Engineer Weighs A Sample Of Mercury To solve this problem, calculate the mass of the given sample of mercury by taking the ratio of its weight to the acceleration due to gravity. Calculate the specific gravity and the specific volume in $\mathrm{m}^{3} / \mathrm{kg}$ of the mercury. 00410.0 points an engineer weighs a sample of mercury ( ρ=13.6×103 kg/m3 ) and finds that the weight of. An Engineer Weighs A Sample Of Mercury.
From www.chegg.com
Solved 004 10.0 points An engineer weighs a sample of An Engineer Weighs A Sample Of Mercury An engineer weighs a sample of mercury (ρ = 13.6 × 103 kg/m3) and finds that the weight of the sample is 5.6 n. An engineer weighs a sample of mercury (p=13.6 x 10^3 kg/m^3) and finds that the weight of the sample is 4.6 n. 00410.0 points an engineer weighs a sample of mercury ( ρ=13.6×103 kg/m3 ) and. An Engineer Weighs A Sample Of Mercury.
From www.alamy.com
Mercury and the architects hires stock photography and images Alamy An Engineer Weighs A Sample Of Mercury What is the sample’s volume? What is the sample's volume?. 00410.0 points an engineer weighs a sample of mercury ( ρ=13.6×103 kg/m3 ) and finds that the weight of the sample is 5.9 n. Calculate the specific gravity and the specific volume in $\mathrm{m}^{3} / \mathrm{kg}$ of the mercury. To solve this problem, calculate the mass of the given sample. An Engineer Weighs A Sample Of Mercury.
From www.chegg.com
Solved 4. Holt SF 09Rev 31 10 pts possible An engineer An Engineer Weighs A Sample Of Mercury To solve this problem, calculate the mass of the given sample of mercury by taking the ratio of its weight to the acceleration due to gravity. An engineer weighs a sample of mercury (ρ = 13.6 × 103 kg/m3) and finds that the weight of the sample is 5.6 n. 00410.0 points an engineer weighs a sample of mercury (. An Engineer Weighs A Sample Of Mercury.
From www.numerade.com
SOLVED An engineer weighs a sample of mercury (Ï = 13.6 × 10^3 kg/m^3 An Engineer Weighs A Sample Of Mercury An engineer weighs a sample of mercury (p=13.6 x 10^3 kg/m^3) and finds that the weight of the sample is 4.6 n. Calculate the specific gravity and the specific volume in $\mathrm{m}^{3} / \mathrm{kg}$ of the mercury. 00410.0 points an engineer weighs a sample of mercury ( ρ=13.6×103 kg/m3 ) and finds that the weight of the sample is 5.9. An Engineer Weighs A Sample Of Mercury.
From www.chegg.com
Solved 1. 5.84638 x 10^5 2. 6.14619 x 10^5 An engineer An Engineer Weighs A Sample Of Mercury 00410.0 points an engineer weighs a sample of mercury ( ρ=13.6×103 kg/m3 ) and finds that the weight of the sample is 5.9 n. What is the sample's volume?. An engineer weighs a sample of mercury (p=13.6 x 10^3 kg/m^3) and finds that the weight of the sample is 4.6 n. Calculate the specific gravity and the specific volume in. An Engineer Weighs A Sample Of Mercury.
From www.chegg.com
Solved 013 10.0 points An engineer weighs a sample of An Engineer Weighs A Sample Of Mercury To solve this problem, calculate the mass of the given sample of mercury by taking the ratio of its weight to the acceleration due to gravity. An engineer weighs a sample of mercury (p=13.6 x 10^3 kg/m^3) and finds that the weight of the sample is 4.6 n. Calculate the specific gravity and the specific volume in $\mathrm{m}^{3} / \mathrm{kg}$. An Engineer Weighs A Sample Of Mercury.
From www.chegg.com
Solved Conceptual Questions 1. Know all units for all An Engineer Weighs A Sample Of Mercury An engineer weighs a sample of mercury (ρ = 13.6 × 103 kg/m3) and finds that the weight of the sample is 5.6 n. What is the sample's volume?. Calculate the specific gravity and the specific volume in $\mathrm{m}^{3} / \mathrm{kg}$ of the mercury. To solve this problem, calculate the mass of the given sample of mercury by taking the. An Engineer Weighs A Sample Of Mercury.
From www.numerade.com
SOLVED An engineer weighs a sample of mercury (Ï = 13.6 × 10^3 kg/m^3 An Engineer Weighs A Sample Of Mercury To solve this problem, calculate the mass of the given sample of mercury by taking the ratio of its weight to the acceleration due to gravity. Calculate the specific gravity and the specific volume in $\mathrm{m}^{3} / \mathrm{kg}$ of the mercury. Mixed review an engineer weighs a sample of mercury (ρ = 13.6 × 10 3 kg / m 3). An Engineer Weighs A Sample Of Mercury.
From www.chegg.com
Solved 004 10.0 points An engineer weighs a sample of An Engineer Weighs A Sample Of Mercury What is the sample’s volume? Calculate the specific gravity and the specific volume in $\mathrm{m}^{3} / \mathrm{kg}$ of the mercury. An engineer weighs a sample of mercury (p=13.6 x 10^3 kg/m^3) and finds that the weight of the sample is 4.6 n. 00410.0 points an engineer weighs a sample of mercury ( ρ=13.6×103 kg/m3 ) and finds that the weight. An Engineer Weighs A Sample Of Mercury.
From byjus.com
26. A sample of metal weighs 210g in air, 180g in water and 120g in an An Engineer Weighs A Sample Of Mercury Mixed review an engineer weighs a sample of mercury (ρ = 13.6 × 10 3 kg / m 3) and finds that the weight of the sample is 4.5 n. An engineer weighs a sample of mercury (ρ = 13.6 × 103 kg/m3) and finds that the weight of the sample is 5.6 n. An engineer weighs a sample of. An Engineer Weighs A Sample Of Mercury.
From www.chegg.com
Solved 2. A sample of mercury(II) bromide, HgBrz, weighs An Engineer Weighs A Sample Of Mercury To solve this problem, calculate the mass of the given sample of mercury by taking the ratio of its weight to the acceleration due to gravity. What is the sample’s volume? What is the sample's volume?. 00410.0 points an engineer weighs a sample of mercury ( ρ=13.6×103 kg/m3 ) and finds that the weight of the sample is 5.9 n.. An Engineer Weighs A Sample Of Mercury.
From www.alamy.com
Mercury, 3D rendering of symbols of the elements of the periodic table An Engineer Weighs A Sample Of Mercury What is the sample's volume?. What is the sample’s volume? An engineer weighs a sample of mercury (ρ = 13.6 × 103 kg/m3) and finds that the weight of the sample is 5.6 n. To solve this problem, calculate the mass of the given sample of mercury by taking the ratio of its weight to the acceleration due to gravity.. An Engineer Weighs A Sample Of Mercury.
From www.alamy.com
Mercury chemical element, Sign with atomic number and atomic weight An Engineer Weighs A Sample Of Mercury What is the sample’s volume? An engineer weighs a sample of mercury (p=13.6 x 10^3 kg/m^3) and finds that the weight of the sample is 4.6 n. What is the sample's volume?. 00410.0 points an engineer weighs a sample of mercury ( ρ=13.6×103 kg/m3 ) and finds that the weight of the sample is 5.9 n. To solve this problem,. An Engineer Weighs A Sample Of Mercury.
From www.slideserve.com
PPT Mercury PowerPoint Presentation ID2493848 An Engineer Weighs A Sample Of Mercury What is the sample's volume?. An engineer weighs a sample of mercury (ρ = 13.6 × 103 kg/m3) and finds that the weight of the sample is 5.6 n. An engineer weighs a sample of mercury (p=13.6 x 10^3 kg/m^3) and finds that the weight of the sample is 4.6 n. To solve this problem, calculate the mass of the. An Engineer Weighs A Sample Of Mercury.
From www.youtube.com
How to Read and Use an Engineer's Scale for Beginners YouTube An Engineer Weighs A Sample Of Mercury Calculate the specific gravity and the specific volume in $\mathrm{m}^{3} / \mathrm{kg}$ of the mercury. An engineer weighs a sample of mercury (p=13.6 x 10^3 kg/m^3) and finds that the weight of the sample is 4.6 n. To solve this problem, calculate the mass of the given sample of mercury by taking the ratio of its weight to the acceleration. An Engineer Weighs A Sample Of Mercury.
From www.chegg.com
Solved 1. 5.84638 x 10^5 2. 6.14619 x 10^5 An engineer An Engineer Weighs A Sample Of Mercury Mixed review an engineer weighs a sample of mercury (ρ = 13.6 × 10 3 kg / m 3) and finds that the weight of the sample is 4.5 n. An engineer weighs a sample of mercury (p=13.6 x 10^3 kg/m^3) and finds that the weight of the sample is 4.6 n. To solve this problem, calculate the mass of. An Engineer Weighs A Sample Of Mercury.
From www.youtube.com
Simple problems on Density, Specific Weight, Specific Gravity Fluid An Engineer Weighs A Sample Of Mercury An engineer weighs a sample of mercury (p=13.6 x 10^3 kg/m^3) and finds that the weight of the sample is 4.6 n. What is the sample’s volume? 00410.0 points an engineer weighs a sample of mercury ( ρ=13.6×103 kg/m3 ) and finds that the weight of the sample is 5.9 n. What is the sample's volume?. An engineer weighs a. An Engineer Weighs A Sample Of Mercury.
From facttoss.com
20 Interesting and Fun Facts about Mercury Fact Toss An Engineer Weighs A Sample Of Mercury Mixed review an engineer weighs a sample of mercury (ρ = 13.6 × 10 3 kg / m 3) and finds that the weight of the sample is 4.5 n. What is the sample's volume?. 00410.0 points an engineer weighs a sample of mercury ( ρ=13.6×103 kg/m3 ) and finds that the weight of the sample is 5.9 n. What. An Engineer Weighs A Sample Of Mercury.