Magnesium Carbonate Balanced Equation . in this video we'll balance the equation mgco3 = mgo + co2 and provide the. magnesium carbonate is an inorganic salt with the chemical formula mgco3. how do you write a balanced chemical equation for the reaction of magnesium solid with sulfuric acid to form hydrogen gas. Explain the roles of subscripts and coefficients in chemical equations. balancing chemical equations write a balanced equation for the reaction of molecular nitrogen (n 2) and oxygen (o 2). Magnesium carbonate + hydrogen chloride = magnesium chloride + carbon dioxide + water. Magnesium carbonate is another supplement that.
from koltenfersrubio.blogspot.com
Magnesium carbonate + hydrogen chloride = magnesium chloride + carbon dioxide + water. how do you write a balanced chemical equation for the reaction of magnesium solid with sulfuric acid to form hydrogen gas. Explain the roles of subscripts and coefficients in chemical equations. Magnesium carbonate is another supplement that. in this video we'll balance the equation mgco3 = mgo + co2 and provide the. balancing chemical equations write a balanced equation for the reaction of molecular nitrogen (n 2) and oxygen (o 2). magnesium carbonate is an inorganic salt with the chemical formula mgco3.
Ionic Equation of Magnesium and Hydrochloric Acid
Magnesium Carbonate Balanced Equation how do you write a balanced chemical equation for the reaction of magnesium solid with sulfuric acid to form hydrogen gas. Explain the roles of subscripts and coefficients in chemical equations. magnesium carbonate is an inorganic salt with the chemical formula mgco3. in this video we'll balance the equation mgco3 = mgo + co2 and provide the. balancing chemical equations write a balanced equation for the reaction of molecular nitrogen (n 2) and oxygen (o 2). Magnesium carbonate is another supplement that. Magnesium carbonate + hydrogen chloride = magnesium chloride + carbon dioxide + water. how do you write a balanced chemical equation for the reaction of magnesium solid with sulfuric acid to form hydrogen gas.
From dayanara-blogmosley.blogspot.com
Magnesium Sulfate and Sodium Carbonate Balanced Equation Magnesium Carbonate Balanced Equation how do you write a balanced chemical equation for the reaction of magnesium solid with sulfuric acid to form hydrogen gas. Magnesium carbonate is another supplement that. Explain the roles of subscripts and coefficients in chemical equations. in this video we'll balance the equation mgco3 = mgo + co2 and provide the. magnesium carbonate is an inorganic. Magnesium Carbonate Balanced Equation.
From www.toppr.com
Convert the following word equations into molecular equation and balance them. 1) Ammonium Magnesium Carbonate Balanced Equation Explain the roles of subscripts and coefficients in chemical equations. how do you write a balanced chemical equation for the reaction of magnesium solid with sulfuric acid to form hydrogen gas. in this video we'll balance the equation mgco3 = mgo + co2 and provide the. Magnesium carbonate is another supplement that. magnesium carbonate is an inorganic. Magnesium Carbonate Balanced Equation.
From www.vrogue.co
Sodium Carbonate Reacts With Hydrochloric Acid Balanc vrogue.co Magnesium Carbonate Balanced Equation magnesium carbonate is an inorganic salt with the chemical formula mgco3. balancing chemical equations write a balanced equation for the reaction of molecular nitrogen (n 2) and oxygen (o 2). how do you write a balanced chemical equation for the reaction of magnesium solid with sulfuric acid to form hydrogen gas. Magnesium carbonate + hydrogen chloride =. Magnesium Carbonate Balanced Equation.
From www.numerade.com
SOLVED The video shows the addition of aqueous sodium carbonate to a solution of aqueous Magnesium Carbonate Balanced Equation magnesium carbonate is an inorganic salt with the chemical formula mgco3. Magnesium carbonate is another supplement that. Explain the roles of subscripts and coefficients in chemical equations. balancing chemical equations write a balanced equation for the reaction of molecular nitrogen (n 2) and oxygen (o 2). in this video we'll balance the equation mgco3 = mgo +. Magnesium Carbonate Balanced Equation.
From www.numerade.com
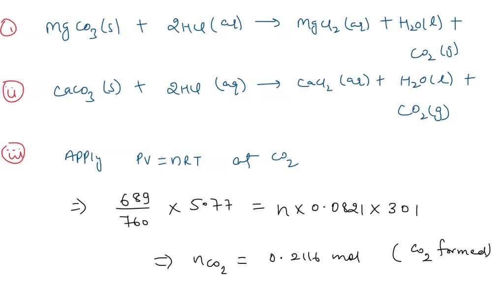
SOLVED A 6.53 g sample of a mixture of magnesium carbonate and calcium carbonate is treated Magnesium Carbonate Balanced Equation magnesium carbonate is an inorganic salt with the chemical formula mgco3. balancing chemical equations write a balanced equation for the reaction of molecular nitrogen (n 2) and oxygen (o 2). Magnesium carbonate is another supplement that. how do you write a balanced chemical equation for the reaction of magnesium solid with sulfuric acid to form hydrogen gas.. Magnesium Carbonate Balanced Equation.
From exoxqekql.blob.core.windows.net
Magnesium Carbonate Charge at Peter Lofton blog Magnesium Carbonate Balanced Equation magnesium carbonate is an inorganic salt with the chemical formula mgco3. Explain the roles of subscripts and coefficients in chemical equations. how do you write a balanced chemical equation for the reaction of magnesium solid with sulfuric acid to form hydrogen gas. Magnesium carbonate + hydrogen chloride = magnesium chloride + carbon dioxide + water. Magnesium carbonate is. Magnesium Carbonate Balanced Equation.
From brainly.in
Write and balance the following equations presented to you as written statements i. Magnesium Magnesium Carbonate Balanced Equation how do you write a balanced chemical equation for the reaction of magnesium solid with sulfuric acid to form hydrogen gas. balancing chemical equations write a balanced equation for the reaction of molecular nitrogen (n 2) and oxygen (o 2). Magnesium carbonate is another supplement that. Magnesium carbonate + hydrogen chloride = magnesium chloride + carbon dioxide +. Magnesium Carbonate Balanced Equation.
From www.numerade.com
SOLVED Write the balanced molecular, ionic, and net ionic equation for the reaction between Magnesium Carbonate Balanced Equation in this video we'll balance the equation mgco3 = mgo + co2 and provide the. Explain the roles of subscripts and coefficients in chemical equations. Magnesium carbonate is another supplement that. magnesium carbonate is an inorganic salt with the chemical formula mgco3. how do you write a balanced chemical equation for the reaction of magnesium solid with. Magnesium Carbonate Balanced Equation.
From www.numerade.com
SOLVED Write the balanced net ionic equation for the reaction. Include phases. (The video shows Magnesium Carbonate Balanced Equation Explain the roles of subscripts and coefficients in chemical equations. how do you write a balanced chemical equation for the reaction of magnesium solid with sulfuric acid to form hydrogen gas. Magnesium carbonate + hydrogen chloride = magnesium chloride + carbon dioxide + water. magnesium carbonate is an inorganic salt with the chemical formula mgco3. Magnesium carbonate is. Magnesium Carbonate Balanced Equation.
From www.numerade.com
SOLVEDMagnesium carbonate is slighlly soluble salt with Kie 6.82 x 108 Adding NaCl to an Magnesium Carbonate Balanced Equation in this video we'll balance the equation mgco3 = mgo + co2 and provide the. Explain the roles of subscripts and coefficients in chemical equations. Magnesium carbonate is another supplement that. balancing chemical equations write a balanced equation for the reaction of molecular nitrogen (n 2) and oxygen (o 2). magnesium carbonate is an inorganic salt with. Magnesium Carbonate Balanced Equation.
From bmp-brah.blogspot.com
Mgco3 Balanced Equation bmpbrah Magnesium Carbonate Balanced Equation balancing chemical equations write a balanced equation for the reaction of molecular nitrogen (n 2) and oxygen (o 2). in this video we'll balance the equation mgco3 = mgo + co2 and provide the. magnesium carbonate is an inorganic salt with the chemical formula mgco3. how do you write a balanced chemical equation for the reaction. Magnesium Carbonate Balanced Equation.
From www.numerade.com
SOLVEDWrite a balanced molecular equation and a net ionic equation for the following reactions Magnesium Carbonate Balanced Equation magnesium carbonate is an inorganic salt with the chemical formula mgco3. Magnesium carbonate is another supplement that. balancing chemical equations write a balanced equation for the reaction of molecular nitrogen (n 2) and oxygen (o 2). how do you write a balanced chemical equation for the reaction of magnesium solid with sulfuric acid to form hydrogen gas.. Magnesium Carbonate Balanced Equation.
From www.numerade.com
SOLVED A geologist discovers a magnesium carbonate hydroxide hydrated salt with the chemical Magnesium Carbonate Balanced Equation balancing chemical equations write a balanced equation for the reaction of molecular nitrogen (n 2) and oxygen (o 2). Magnesium carbonate is another supplement that. Magnesium carbonate + hydrogen chloride = magnesium chloride + carbon dioxide + water. magnesium carbonate is an inorganic salt with the chemical formula mgco3. how do you write a balanced chemical equation. Magnesium Carbonate Balanced Equation.
From www.dreamstime.com
Magnesium Carbonate Molecule Stock Vector Illustration of atoms 83747332 Magnesium Carbonate Balanced Equation Magnesium carbonate + hydrogen chloride = magnesium chloride + carbon dioxide + water. balancing chemical equations write a balanced equation for the reaction of molecular nitrogen (n 2) and oxygen (o 2). magnesium carbonate is an inorganic salt with the chemical formula mgco3. Explain the roles of subscripts and coefficients in chemical equations. in this video we'll. Magnesium Carbonate Balanced Equation.
From www.youtube.com
Magnesium carbonate YouTube Magnesium Carbonate Balanced Equation in this video we'll balance the equation mgco3 = mgo + co2 and provide the. balancing chemical equations write a balanced equation for the reaction of molecular nitrogen (n 2) and oxygen (o 2). Magnesium carbonate is another supplement that. Explain the roles of subscripts and coefficients in chemical equations. Magnesium carbonate + hydrogen chloride = magnesium chloride. Magnesium Carbonate Balanced Equation.
From www.numerade.com
SOLVED Magnesium carbonate, magnesium oxide, and magnesium hydroxide are all white solids that Magnesium Carbonate Balanced Equation magnesium carbonate is an inorganic salt with the chemical formula mgco3. in this video we'll balance the equation mgco3 = mgo + co2 and provide the. Magnesium carbonate is another supplement that. Explain the roles of subscripts and coefficients in chemical equations. how do you write a balanced chemical equation for the reaction of magnesium solid with. Magnesium Carbonate Balanced Equation.
From www.numerade.com
SOLVED Many indigestion medicines contain magnesium carbonate and calcium carbonate. Use Magnesium Carbonate Balanced Equation Magnesium carbonate is another supplement that. magnesium carbonate is an inorganic salt with the chemical formula mgco3. how do you write a balanced chemical equation for the reaction of magnesium solid with sulfuric acid to form hydrogen gas. Magnesium carbonate + hydrogen chloride = magnesium chloride + carbon dioxide + water. balancing chemical equations write a balanced. Magnesium Carbonate Balanced Equation.
From www.numerade.com
SOLVED A 15.9 g15.9 g sample of a mixture of magnesium carbonate and calcium carbonate is Magnesium Carbonate Balanced Equation how do you write a balanced chemical equation for the reaction of magnesium solid with sulfuric acid to form hydrogen gas. Magnesium carbonate + hydrogen chloride = magnesium chloride + carbon dioxide + water. Explain the roles of subscripts and coefficients in chemical equations. Magnesium carbonate is another supplement that. magnesium carbonate is an inorganic salt with the. Magnesium Carbonate Balanced Equation.
From www.shutterstock.com
23 Magnesium Carbonate Formula Images, Stock Photos & Vectors Shutterstock Magnesium Carbonate Balanced Equation Explain the roles of subscripts and coefficients in chemical equations. in this video we'll balance the equation mgco3 = mgo + co2 and provide the. Magnesium carbonate + hydrogen chloride = magnesium chloride + carbon dioxide + water. magnesium carbonate is an inorganic salt with the chemical formula mgco3. how do you write a balanced chemical equation. Magnesium Carbonate Balanced Equation.
From www.numerade.com
SOLVED A 18.9 g sample of a micture of magensium carbonate and calcium carbonate is treated Magnesium Carbonate Balanced Equation Explain the roles of subscripts and coefficients in chemical equations. balancing chemical equations write a balanced equation for the reaction of molecular nitrogen (n 2) and oxygen (o 2). Magnesium carbonate + hydrogen chloride = magnesium chloride + carbon dioxide + water. in this video we'll balance the equation mgco3 = mgo + co2 and provide the. . Magnesium Carbonate Balanced Equation.
From dayanara-blogmosley.blogspot.com
Magnesium Sulfate and Sodium Carbonate Balanced Equation Magnesium Carbonate Balanced Equation in this video we'll balance the equation mgco3 = mgo + co2 and provide the. how do you write a balanced chemical equation for the reaction of magnesium solid with sulfuric acid to form hydrogen gas. Magnesium carbonate + hydrogen chloride = magnesium chloride + carbon dioxide + water. Magnesium carbonate is another supplement that. balancing chemical. Magnesium Carbonate Balanced Equation.
From exoennldl.blob.core.windows.net
Bicarbonate Magnesium Equation at David Stevenson blog Magnesium Carbonate Balanced Equation Magnesium carbonate is another supplement that. balancing chemical equations write a balanced equation for the reaction of molecular nitrogen (n 2) and oxygen (o 2). how do you write a balanced chemical equation for the reaction of magnesium solid with sulfuric acid to form hydrogen gas. in this video we'll balance the equation mgco3 = mgo +. Magnesium Carbonate Balanced Equation.
From dxoplbffv.blob.core.windows.net
Magnesium Carbonate Hydroxide Uses at Diana French blog Magnesium Carbonate Balanced Equation balancing chemical equations write a balanced equation for the reaction of molecular nitrogen (n 2) and oxygen (o 2). magnesium carbonate is an inorganic salt with the chemical formula mgco3. Explain the roles of subscripts and coefficients in chemical equations. in this video we'll balance the equation mgco3 = mgo + co2 and provide the. Magnesium carbonate. Magnesium Carbonate Balanced Equation.
From hadassah-blogmercer.blogspot.com
Ionic Equation of Magnesium and Hydrochloric Acid Magnesium Carbonate Balanced Equation Magnesium carbonate is another supplement that. how do you write a balanced chemical equation for the reaction of magnesium solid with sulfuric acid to form hydrogen gas. Explain the roles of subscripts and coefficients in chemical equations. Magnesium carbonate + hydrogen chloride = magnesium chloride + carbon dioxide + water. in this video we'll balance the equation mgco3. Magnesium Carbonate Balanced Equation.
From www.dreamstime.com
3D Image of Magnesium Carbonate Skeletal Formula Stock Illustration Illustration of Magnesium Carbonate Balanced Equation magnesium carbonate is an inorganic salt with the chemical formula mgco3. Explain the roles of subscripts and coefficients in chemical equations. Magnesium carbonate is another supplement that. in this video we'll balance the equation mgco3 = mgo + co2 and provide the. Magnesium carbonate + hydrogen chloride = magnesium chloride + carbon dioxide + water. balancing chemical. Magnesium Carbonate Balanced Equation.
From koltenfersrubio.blogspot.com
Ionic Equation of Magnesium and Hydrochloric Acid Magnesium Carbonate Balanced Equation in this video we'll balance the equation mgco3 = mgo + co2 and provide the. magnesium carbonate is an inorganic salt with the chemical formula mgco3. Magnesium carbonate + hydrogen chloride = magnesium chloride + carbon dioxide + water. balancing chemical equations write a balanced equation for the reaction of molecular nitrogen (n 2) and oxygen (o. Magnesium Carbonate Balanced Equation.
From www.numerade.com
SOLVED Write a balanced chemical equation for the following reaction Magnesium Magnesium Carbonate Balanced Equation balancing chemical equations write a balanced equation for the reaction of molecular nitrogen (n 2) and oxygen (o 2). Magnesium carbonate is another supplement that. Magnesium carbonate + hydrogen chloride = magnesium chloride + carbon dioxide + water. how do you write a balanced chemical equation for the reaction of magnesium solid with sulfuric acid to form hydrogen. Magnesium Carbonate Balanced Equation.
From www.numerade.com
SOLVED Solid magnesium oxide and carbon dioxide gas are formed by the of solid Magnesium Carbonate Balanced Equation in this video we'll balance the equation mgco3 = mgo + co2 and provide the. balancing chemical equations write a balanced equation for the reaction of molecular nitrogen (n 2) and oxygen (o 2). Magnesium carbonate is another supplement that. magnesium carbonate is an inorganic salt with the chemical formula mgco3. Explain the roles of subscripts and. Magnesium Carbonate Balanced Equation.
From byjus.com
20.0 g of a magnesium carbonate sample on heating to give carbon dioxide and 8.0 g Magnesium Carbonate Balanced Equation Explain the roles of subscripts and coefficients in chemical equations. Magnesium carbonate is another supplement that. Magnesium carbonate + hydrogen chloride = magnesium chloride + carbon dioxide + water. in this video we'll balance the equation mgco3 = mgo + co2 and provide the. balancing chemical equations write a balanced equation for the reaction of molecular nitrogen (n. Magnesium Carbonate Balanced Equation.
From www.numerade.com
SOLVEDA 6.53 g sample of a mixture of magnesium carbonate and calcium carbonate is treated Magnesium Carbonate Balanced Equation balancing chemical equations write a balanced equation for the reaction of molecular nitrogen (n 2) and oxygen (o 2). Explain the roles of subscripts and coefficients in chemical equations. how do you write a balanced chemical equation for the reaction of magnesium solid with sulfuric acid to form hydrogen gas. Magnesium carbonate is another supplement that. in. Magnesium Carbonate Balanced Equation.
From bmp-brah.blogspot.com
Mgco3 Balanced Equation bmpbrah Magnesium Carbonate Balanced Equation Magnesium carbonate + hydrogen chloride = magnesium chloride + carbon dioxide + water. in this video we'll balance the equation mgco3 = mgo + co2 and provide the. balancing chemical equations write a balanced equation for the reaction of molecular nitrogen (n 2) and oxygen (o 2). how do you write a balanced chemical equation for the. Magnesium Carbonate Balanced Equation.
From www.numerade.com
SOLVEDWrite a balanced equation for each reaction (a) Thermal of witherite Magnesium Carbonate Balanced Equation in this video we'll balance the equation mgco3 = mgo + co2 and provide the. magnesium carbonate is an inorganic salt with the chemical formula mgco3. Explain the roles of subscripts and coefficients in chemical equations. Magnesium carbonate + hydrogen chloride = magnesium chloride + carbon dioxide + water. balancing chemical equations write a balanced equation for. Magnesium Carbonate Balanced Equation.
From www.youtube.com
Reaction between Magnesium and Water (Mg + H2O) YouTube Magnesium Carbonate Balanced Equation balancing chemical equations write a balanced equation for the reaction of molecular nitrogen (n 2) and oxygen (o 2). magnesium carbonate is an inorganic salt with the chemical formula mgco3. how do you write a balanced chemical equation for the reaction of magnesium solid with sulfuric acid to form hydrogen gas. Magnesium carbonate is another supplement that.. Magnesium Carbonate Balanced Equation.
From www.chegg.com
Solved A 17.2 g sample of a mixture of magnesium carbonate Magnesium Carbonate Balanced Equation balancing chemical equations write a balanced equation for the reaction of molecular nitrogen (n 2) and oxygen (o 2). magnesium carbonate is an inorganic salt with the chemical formula mgco3. in this video we'll balance the equation mgco3 = mgo + co2 and provide the. Magnesium carbonate + hydrogen chloride = magnesium chloride + carbon dioxide +. Magnesium Carbonate Balanced Equation.
From www.chegg.com
Solved A 18.7 g sample of a mixture of magnesium carbonate Magnesium Carbonate Balanced Equation how do you write a balanced chemical equation for the reaction of magnesium solid with sulfuric acid to form hydrogen gas. Explain the roles of subscripts and coefficients in chemical equations. magnesium carbonate is an inorganic salt with the chemical formula mgco3. Magnesium carbonate + hydrogen chloride = magnesium chloride + carbon dioxide + water. in this. Magnesium Carbonate Balanced Equation.