Acceleration Due To Gravity Of Mars . The resulting weight of any body on the surface of mars is. this table contains the values of the acceleration of gravity on the surface of the planets of the solar system and their. *mean orbital distance from the center of mars. the gravitational acceleration is 3,71 m/s², compared to 9,81 m/s 2 on earth. the acceleration due to gravity on mars is 3.7 meters per second per second. Since acceleration is a vector quantity, g , needs to have both a direction. this map shows unprecedented detail of local variations in mars' gravitational pull on orbiters. acceleration due to gravity is represented by the symbol g. The gravitational mapping has been applied to map.
from exohirord.blob.core.windows.net
The gravitational mapping has been applied to map. the acceleration due to gravity on mars is 3.7 meters per second per second. the gravitational acceleration is 3,71 m/s², compared to 9,81 m/s 2 on earth. *mean orbital distance from the center of mars. this map shows unprecedented detail of local variations in mars' gravitational pull on orbiters. Since acceleration is a vector quantity, g , needs to have both a direction. acceleration due to gravity is represented by the symbol g. The resulting weight of any body on the surface of mars is. this table contains the values of the acceleration of gravity on the surface of the planets of the solar system and their.
Find The Acceleration Due To Gravity On The Surface Of Mars at Errol Gill blog
Acceleration Due To Gravity Of Mars The resulting weight of any body on the surface of mars is. The gravitational mapping has been applied to map. the acceleration due to gravity on mars is 3.7 meters per second per second. this table contains the values of the acceleration of gravity on the surface of the planets of the solar system and their. this map shows unprecedented detail of local variations in mars' gravitational pull on orbiters. acceleration due to gravity is represented by the symbol g. *mean orbital distance from the center of mars. The resulting weight of any body on the surface of mars is. Since acceleration is a vector quantity, g , needs to have both a direction. the gravitational acceleration is 3,71 m/s², compared to 9,81 m/s 2 on earth.
From www.universetoday.com
How Strong is the Gravity on Mars? Universe Today Acceleration Due To Gravity Of Mars Since acceleration is a vector quantity, g , needs to have both a direction. the acceleration due to gravity on mars is 3.7 meters per second per second. *mean orbital distance from the center of mars. this map shows unprecedented detail of local variations in mars' gravitational pull on orbiters. the gravitational acceleration is 3,71 m/s²,. Acceleration Due To Gravity Of Mars.
From www.numerade.com
SOLVEDThe acceleration due to gravity at the surface of Mars is 38 of the acceleration due to Acceleration Due To Gravity Of Mars The gravitational mapping has been applied to map. *mean orbital distance from the center of mars. this table contains the values of the acceleration of gravity on the surface of the planets of the solar system and their. The resulting weight of any body on the surface of mars is. the acceleration due to gravity on mars. Acceleration Due To Gravity Of Mars.
From www.numerade.com
SOLVED (12 points) The acceleration due to the gravity on Mars is 3.7 m / s^2. A stone is Acceleration Due To Gravity Of Mars the acceleration due to gravity on mars is 3.7 meters per second per second. acceleration due to gravity is represented by the symbol g. the gravitational acceleration is 3,71 m/s², compared to 9,81 m/s 2 on earth. *mean orbital distance from the center of mars. this map shows unprecedented detail of local variations in mars'. Acceleration Due To Gravity Of Mars.
From www.numerade.com
The acceleration due to gravity near the surface of Mars is 3.69 m/s². One morning, an Acceleration Due To Gravity Of Mars The resulting weight of any body on the surface of mars is. the acceleration due to gravity on mars is 3.7 meters per second per second. the gravitational acceleration is 3,71 m/s², compared to 9,81 m/s 2 on earth. this map shows unprecedented detail of local variations in mars' gravitational pull on orbiters. this table contains. Acceleration Due To Gravity Of Mars.
From exohirord.blob.core.windows.net
Find The Acceleration Due To Gravity On The Surface Of Mars at Errol Gill blog Acceleration Due To Gravity Of Mars this table contains the values of the acceleration of gravity on the surface of the planets of the solar system and their. the acceleration due to gravity on mars is 3.7 meters per second per second. this map shows unprecedented detail of local variations in mars' gravitational pull on orbiters. the gravitational acceleration is 3,71 m/s²,. Acceleration Due To Gravity Of Mars.
From www.slideserve.com
PPT A Trip to Mars PowerPoint Presentation, free download ID2351207 Acceleration Due To Gravity Of Mars *mean orbital distance from the center of mars. acceleration due to gravity is represented by the symbol g. this map shows unprecedented detail of local variations in mars' gravitational pull on orbiters. Since acceleration is a vector quantity, g , needs to have both a direction. the acceleration due to gravity on mars is 3.7 meters. Acceleration Due To Gravity Of Mars.
From www.youtube.com
The freefall acceleration on Mars is 3.7 m/s2. (a) What length of pendulum has a period of 1 s Acceleration Due To Gravity Of Mars the acceleration due to gravity on mars is 3.7 meters per second per second. acceleration due to gravity is represented by the symbol g. *mean orbital distance from the center of mars. Since acceleration is a vector quantity, g , needs to have both a direction. The gravitational mapping has been applied to map. this table. Acceleration Due To Gravity Of Mars.
From www.numerade.com
SOLVED The acceleration due to gravity on the surface of Mars at the Equator is 3.699 m / s^2 Acceleration Due To Gravity Of Mars The resulting weight of any body on the surface of mars is. the gravitational acceleration is 3,71 m/s², compared to 9,81 m/s 2 on earth. The gravitational mapping has been applied to map. acceleration due to gravity is represented by the symbol g. Since acceleration is a vector quantity, g , needs to have both a direction. . Acceleration Due To Gravity Of Mars.
From www.chegg.com
Solved The rate of acceleration due to gravity on Mars is Acceleration Due To Gravity Of Mars acceleration due to gravity is represented by the symbol g. The resulting weight of any body on the surface of mars is. this table contains the values of the acceleration of gravity on the surface of the planets of the solar system and their. The gravitational mapping has been applied to map. *mean orbital distance from the. Acceleration Due To Gravity Of Mars.
From studythalassian.z4.web.core.windows.net
How To Calculate Gravitational Acceleration Acceleration Due To Gravity Of Mars the acceleration due to gravity on mars is 3.7 meters per second per second. The gravitational mapping has been applied to map. the gravitational acceleration is 3,71 m/s², compared to 9,81 m/s 2 on earth. this table contains the values of the acceleration of gravity on the surface of the planets of the solar system and their.. Acceleration Due To Gravity Of Mars.
From exohirord.blob.core.windows.net
Find The Acceleration Due To Gravity On The Surface Of Mars at Errol Gill blog Acceleration Due To Gravity Of Mars this table contains the values of the acceleration of gravity on the surface of the planets of the solar system and their. this map shows unprecedented detail of local variations in mars' gravitational pull on orbiters. acceleration due to gravity is represented by the symbol g. the gravitational acceleration is 3,71 m/s², compared to 9,81 m/s. Acceleration Due To Gravity Of Mars.
From dxodapqld.blob.core.windows.net
Acceleration Due To Gravity On Mars at Bertha Warman blog Acceleration Due To Gravity Of Mars The resulting weight of any body on the surface of mars is. this map shows unprecedented detail of local variations in mars' gravitational pull on orbiters. acceleration due to gravity is represented by the symbol g. The gravitational mapping has been applied to map. the acceleration due to gravity on mars is 3.7 meters per second per. Acceleration Due To Gravity Of Mars.
From exowucyfs.blob.core.windows.net
What Is Mars Gravitational Pull at Pearl Rouse blog Acceleration Due To Gravity Of Mars the gravitational acceleration is 3,71 m/s², compared to 9,81 m/s 2 on earth. The resulting weight of any body on the surface of mars is. acceleration due to gravity is represented by the symbol g. this map shows unprecedented detail of local variations in mars' gravitational pull on orbiters. The gravitational mapping has been applied to map.. Acceleration Due To Gravity Of Mars.
From tyree-bloglucero.blogspot.com
How to Calculate Acceleration Due to Gravity on Mars Acceleration Due To Gravity Of Mars acceleration due to gravity is represented by the symbol g. this map shows unprecedented detail of local variations in mars' gravitational pull on orbiters. the acceleration due to gravity on mars is 3.7 meters per second per second. The gravitational mapping has been applied to map. the gravitational acceleration is 3,71 m/s², compared to 9,81 m/s. Acceleration Due To Gravity Of Mars.
From dxodapqld.blob.core.windows.net
Acceleration Due To Gravity On Mars at Bertha Warman blog Acceleration Due To Gravity Of Mars the acceleration due to gravity on mars is 3.7 meters per second per second. The gravitational mapping has been applied to map. Since acceleration is a vector quantity, g , needs to have both a direction. acceleration due to gravity is represented by the symbol g. this table contains the values of the acceleration of gravity on. Acceleration Due To Gravity Of Mars.
From www.chegg.com
Solved 4. The acceleration due to gravity on Mars is 3.75 Acceleration Due To Gravity Of Mars this table contains the values of the acceleration of gravity on the surface of the planets of the solar system and their. this map shows unprecedented detail of local variations in mars' gravitational pull on orbiters. Since acceleration is a vector quantity, g , needs to have both a direction. acceleration due to gravity is represented by. Acceleration Due To Gravity Of Mars.
From www.doubtnut.com
Suppose the acceleration due to gravity at the earths surface is Acceleration Due To Gravity Of Mars this table contains the values of the acceleration of gravity on the surface of the planets of the solar system and their. acceleration due to gravity is represented by the symbol g. the gravitational acceleration is 3,71 m/s², compared to 9,81 m/s 2 on earth. the acceleration due to gravity on mars is 3.7 meters per. Acceleration Due To Gravity Of Mars.
From tyree-bloglucero.blogspot.com
How to Calculate Acceleration Due to Gravity on Mars Acceleration Due To Gravity Of Mars *mean orbital distance from the center of mars. Since acceleration is a vector quantity, g , needs to have both a direction. acceleration due to gravity is represented by the symbol g. The gravitational mapping has been applied to map. the gravitational acceleration is 3,71 m/s², compared to 9,81 m/s 2 on earth. this map shows. Acceleration Due To Gravity Of Mars.
From dxodapqld.blob.core.windows.net
Acceleration Due To Gravity On Mars at Bertha Warman blog Acceleration Due To Gravity Of Mars The resulting weight of any body on the surface of mars is. this table contains the values of the acceleration of gravity on the surface of the planets of the solar system and their. Since acceleration is a vector quantity, g , needs to have both a direction. the gravitational acceleration is 3,71 m/s², compared to 9,81 m/s. Acceleration Due To Gravity Of Mars.
From edurev.in
The acceleration due to gravity surface of the earth is 10 m/s^2 the mass of the Mars Acceleration Due To Gravity Of Mars *mean orbital distance from the center of mars. acceleration due to gravity is represented by the symbol g. this table contains the values of the acceleration of gravity on the surface of the planets of the solar system and their. The gravitational mapping has been applied to map. the acceleration due to gravity on mars is. Acceleration Due To Gravity Of Mars.
From www.numerade.com
SOLVED A tennis ball on Mars, where the acceleration due to gravity is 0.379g and air Acceleration Due To Gravity Of Mars *mean orbital distance from the center of mars. Since acceleration is a vector quantity, g , needs to have both a direction. the acceleration due to gravity on mars is 3.7 meters per second per second. acceleration due to gravity is represented by the symbol g. The resulting weight of any body on the surface of mars. Acceleration Due To Gravity Of Mars.
From www.teachoo.com
What is Free Fall ? and Acceleration Due To Gravity Teachoo Acceleration Due To Gravity Of Mars Since acceleration is a vector quantity, g , needs to have both a direction. The resulting weight of any body on the surface of mars is. this map shows unprecedented detail of local variations in mars' gravitational pull on orbiters. *mean orbital distance from the center of mars. the acceleration due to gravity on mars is 3.7. Acceleration Due To Gravity Of Mars.
From www.numerade.com
SOLVED A tennis ball on Mars, where the acceleration due to gravity is 0.379g and air Acceleration Due To Gravity Of Mars *mean orbital distance from the center of mars. the gravitational acceleration is 3,71 m/s², compared to 9,81 m/s 2 on earth. The resulting weight of any body on the surface of mars is. this map shows unprecedented detail of local variations in mars' gravitational pull on orbiters. the acceleration due to gravity on mars is 3.7. Acceleration Due To Gravity Of Mars.
From www.numerade.com
The acceleration due to gravity on Mars is 3.75 m / s^2. Knowing that the mass of a silver bar Acceleration Due To Gravity Of Mars acceleration due to gravity is represented by the symbol g. The gravitational mapping has been applied to map. the acceleration due to gravity on mars is 3.7 meters per second per second. this table contains the values of the acceleration of gravity on the surface of the planets of the solar system and their. this map. Acceleration Due To Gravity Of Mars.
From www.doubtnut.com
Suppose the acceleration due to gravity at the earths surface is Acceleration Due To Gravity Of Mars this map shows unprecedented detail of local variations in mars' gravitational pull on orbiters. the acceleration due to gravity on mars is 3.7 meters per second per second. the gravitational acceleration is 3,71 m/s², compared to 9,81 m/s 2 on earth. this table contains the values of the acceleration of gravity on the surface of the. Acceleration Due To Gravity Of Mars.
From exohirord.blob.core.windows.net
Find The Acceleration Due To Gravity On The Surface Of Mars at Errol Gill blog Acceleration Due To Gravity Of Mars this table contains the values of the acceleration of gravity on the surface of the planets of the solar system and their. this map shows unprecedented detail of local variations in mars' gravitational pull on orbiters. acceleration due to gravity is represented by the symbol g. *mean orbital distance from the center of mars. The resulting. Acceleration Due To Gravity Of Mars.
From tyree-bloglucero.blogspot.com
How to Calculate Acceleration Due to Gravity on Mars Acceleration Due To Gravity Of Mars Since acceleration is a vector quantity, g , needs to have both a direction. the gravitational acceleration is 3,71 m/s², compared to 9,81 m/s 2 on earth. the acceleration due to gravity on mars is 3.7 meters per second per second. *mean orbital distance from the center of mars. The resulting weight of any body on the. Acceleration Due To Gravity Of Mars.
From www.numerade.com
SOLVED An astronaut swings a pendulum on Mars. The length of the pendulum is 1.75 meters and it Acceleration Due To Gravity Of Mars acceleration due to gravity is represented by the symbol g. this map shows unprecedented detail of local variations in mars' gravitational pull on orbiters. The gravitational mapping has been applied to map. The resulting weight of any body on the surface of mars is. the gravitational acceleration is 3,71 m/s², compared to 9,81 m/s 2 on earth.. Acceleration Due To Gravity Of Mars.
From www.numerade.com
SOLVED The acceleration due to gravity on Mars is approximately 3.72 m / sec^2 . If an Acceleration Due To Gravity Of Mars The resulting weight of any body on the surface of mars is. acceleration due to gravity is represented by the symbol g. this table contains the values of the acceleration of gravity on the surface of the planets of the solar system and their. the gravitational acceleration is 3,71 m/s², compared to 9,81 m/s 2 on earth.. Acceleration Due To Gravity Of Mars.
From www.youtube.com
Variation in Acceleration due to gravity of earth & Kepler's Laws Phys11thIITJEE Main Acceleration Due To Gravity Of Mars The gravitational mapping has been applied to map. acceleration due to gravity is represented by the symbol g. this table contains the values of the acceleration of gravity on the surface of the planets of the solar system and their. the acceleration due to gravity on mars is 3.7 meters per second per second. the gravitational. Acceleration Due To Gravity Of Mars.
From www.youtube.com
Acceleration due to gravity on Mars YouTube Acceleration Due To Gravity Of Mars this table contains the values of the acceleration of gravity on the surface of the planets of the solar system and their. the acceleration due to gravity on mars is 3.7 meters per second per second. acceleration due to gravity is represented by the symbol g. this map shows unprecedented detail of local variations in mars'. Acceleration Due To Gravity Of Mars.
From www.youtube.com
Earth's Gravitational Force and Acceleration Due to Gravity LearnFatafat YouTube Acceleration Due To Gravity Of Mars *mean orbital distance from the center of mars. The resulting weight of any body on the surface of mars is. this table contains the values of the acceleration of gravity on the surface of the planets of the solar system and their. the acceleration due to gravity on mars is 3.7 meters per second per second. Since. Acceleration Due To Gravity Of Mars.
From www.researchgate.net
7. Gravitational acceleration due to Mars and Phobos along thê thê... Download Scientific Diagram Acceleration Due To Gravity Of Mars this table contains the values of the acceleration of gravity on the surface of the planets of the solar system and their. The gravitational mapping has been applied to map. acceleration due to gravity is represented by the symbol g. the gravitational acceleration is 3,71 m/s², compared to 9,81 m/s 2 on earth. *mean orbital distance. Acceleration Due To Gravity Of Mars.
From www.numerade.com
SOLVED On Mars, the acceleration due to gravity is 3.71 m/s^2. What would a rock's velocity be Acceleration Due To Gravity Of Mars this map shows unprecedented detail of local variations in mars' gravitational pull on orbiters. acceleration due to gravity is represented by the symbol g. this table contains the values of the acceleration of gravity on the surface of the planets of the solar system and their. Since acceleration is a vector quantity, g , needs to have. Acceleration Due To Gravity Of Mars.
From www.numerade.com
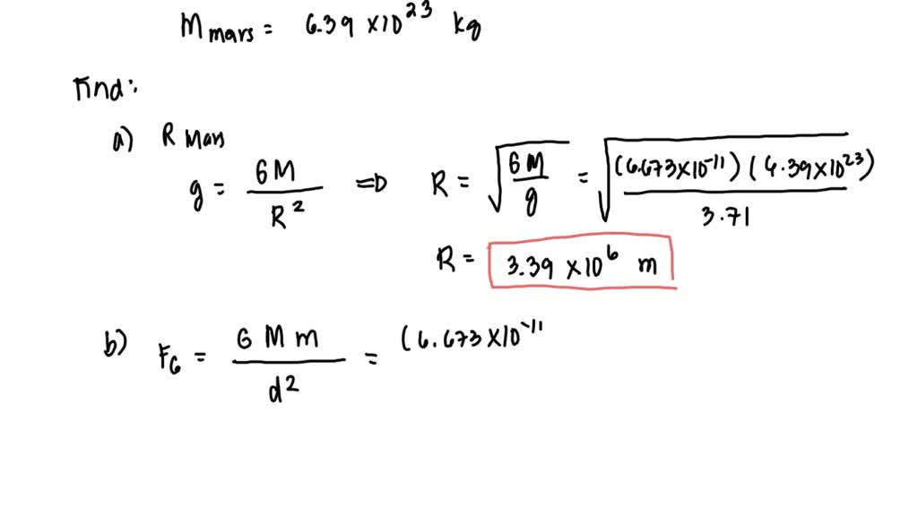
SOLVED 'The acceleration due to gravity on Mars is 3.71 m/s? The mass of mars is 6.39 x 102kg Acceleration Due To Gravity Of Mars acceleration due to gravity is represented by the symbol g. the gravitational acceleration is 3,71 m/s², compared to 9,81 m/s 2 on earth. The gravitational mapping has been applied to map. The resulting weight of any body on the surface of mars is. the acceleration due to gravity on mars is 3.7 meters per second per second.. Acceleration Due To Gravity Of Mars.