Sole Heirship . Under current laws, though, the main difference between a legatee and a devisee is simply the governing state law. Here is what that means and why it's important. When looking at an heir vs beneficiary, it’s important to understand that there are some distinct differences between the two terms. A legatee inherits personal property (jewelry, vehicles, cash, etc.) while a devisee inherits real property, such as the family home. An affidavit of heirship is used to prove someone is entitled to the assets of a deceased person when no will is left. This status can be an important factor not only in settling an estate but also in determining who might be entitled to challenge or contest a will when the deceased does leave one. An affidavit can be defined as a statement of fact or declaration of fact. If there is no will, within 30 days of death the clerk may grant administration (i) to a sole distributee or his designee, or, if more than one heir to the one(s) designated by all distributees. When a will only names a single beneficiary for the estate it is called a sole beneficiary.
from dokumen.tips
This status can be an important factor not only in settling an estate but also in determining who might be entitled to challenge or contest a will when the deceased does leave one. If there is no will, within 30 days of death the clerk may grant administration (i) to a sole distributee or his designee, or, if more than one heir to the one(s) designated by all distributees. Here is what that means and why it's important. Under current laws, though, the main difference between a legatee and a devisee is simply the governing state law. When looking at an heir vs beneficiary, it’s important to understand that there are some distinct differences between the two terms. An affidavit of heirship is used to prove someone is entitled to the assets of a deceased person when no will is left. A legatee inherits personal property (jewelry, vehicles, cash, etc.) while a devisee inherits real property, such as the family home. When a will only names a single beneficiary for the estate it is called a sole beneficiary. An affidavit can be defined as a statement of fact or declaration of fact.
(DOC) Affidavit of Sole Heir DOKUMEN.TIPS
Sole Heirship An affidavit can be defined as a statement of fact or declaration of fact. When looking at an heir vs beneficiary, it’s important to understand that there are some distinct differences between the two terms. If there is no will, within 30 days of death the clerk may grant administration (i) to a sole distributee or his designee, or, if more than one heir to the one(s) designated by all distributees. An affidavit can be defined as a statement of fact or declaration of fact. This status can be an important factor not only in settling an estate but also in determining who might be entitled to challenge or contest a will when the deceased does leave one. An affidavit of heirship is used to prove someone is entitled to the assets of a deceased person when no will is left. Under current laws, though, the main difference between a legatee and a devisee is simply the governing state law. When a will only names a single beneficiary for the estate it is called a sole beneficiary. Here is what that means and why it's important. A legatee inherits personal property (jewelry, vehicles, cash, etc.) while a devisee inherits real property, such as the family home.
From dokumen.tips
(DOC) Affidavit of Sole Heir DOKUMEN.TIPS Sole Heirship When looking at an heir vs beneficiary, it’s important to understand that there are some distinct differences between the two terms. A legatee inherits personal property (jewelry, vehicles, cash, etc.) while a devisee inherits real property, such as the family home. An affidavit of heirship is used to prove someone is entitled to the assets of a deceased person when. Sole Heirship.
From exonlplif.blob.core.windows.net
Sole Heir To A Fortune at Richard Talley blog Sole Heirship When a will only names a single beneficiary for the estate it is called a sole beneficiary. A legatee inherits personal property (jewelry, vehicles, cash, etc.) while a devisee inherits real property, such as the family home. An affidavit can be defined as a statement of fact or declaration of fact. This status can be an important factor not only. Sole Heirship.
From www.template.net
FREE Affidavit Templates Edit Online & Download Sole Heirship An affidavit can be defined as a statement of fact or declaration of fact. A legatee inherits personal property (jewelry, vehicles, cash, etc.) while a devisee inherits real property, such as the family home. When looking at an heir vs beneficiary, it’s important to understand that there are some distinct differences between the two terms. When a will only names. Sole Heirship.
From exojdjmjv.blob.core.windows.net
Sole Heir At Law at Judith Comerford blog Sole Heirship Under current laws, though, the main difference between a legatee and a devisee is simply the governing state law. This status can be an important factor not only in settling an estate but also in determining who might be entitled to challenge or contest a will when the deceased does leave one. If there is no will, within 30 days. Sole Heirship.
From www.imdb.com
Sole Heir (2010) Sole Heirship A legatee inherits personal property (jewelry, vehicles, cash, etc.) while a devisee inherits real property, such as the family home. Under current laws, though, the main difference between a legatee and a devisee is simply the governing state law. When looking at an heir vs beneficiary, it’s important to understand that there are some distinct differences between the two terms.. Sole Heirship.
From www.scribd.com
Aff Sole Heir Kinship Jordan PDF Affidavit Civil Law Law) Sole Heirship A legatee inherits personal property (jewelry, vehicles, cash, etc.) while a devisee inherits real property, such as the family home. An affidavit of heirship is used to prove someone is entitled to the assets of a deceased person when no will is left. Here is what that means and why it's important. When a will only names a single beneficiary. Sole Heirship.
From www.template.net
Affidavit of Sole Heirship Cover Page Template Edit Online & Download Sole Heirship If there is no will, within 30 days of death the clerk may grant administration (i) to a sole distributee or his designee, or, if more than one heir to the one(s) designated by all distributees. Under current laws, though, the main difference between a legatee and a devisee is simply the governing state law. When a will only names. Sole Heirship.
From www.scribd.com
Sole Claim to Inherited Property Affidavit of Sole Heirship PDF Sole Heirship When a will only names a single beneficiary for the estate it is called a sole beneficiary. An affidavit can be defined as a statement of fact or declaration of fact. An affidavit of heirship is used to prove someone is entitled to the assets of a deceased person when no will is left. This status can be an important. Sole Heirship.
From www.scribd.com
Sample Affidavit of SelfAdjudication by Sole Heir Affidavit Virtue Sole Heirship Under current laws, though, the main difference between a legatee and a devisee is simply the governing state law. When looking at an heir vs beneficiary, it’s important to understand that there are some distinct differences between the two terms. Here is what that means and why it's important. When a will only names a single beneficiary for the estate. Sole Heirship.
From thecapiztimes.com
» DECLARATION OF SOLE HEIRSHIP Sole Heirship An affidavit of heirship is used to prove someone is entitled to the assets of a deceased person when no will is left. When a will only names a single beneficiary for the estate it is called a sole beneficiary. Under current laws, though, the main difference between a legatee and a devisee is simply the governing state law. When. Sole Heirship.
From www.pupperish.com
Sole Heir Is Unsure If He Should Share His Inheritance With His Half Sole Heirship This status can be an important factor not only in settling an estate but also in determining who might be entitled to challenge or contest a will when the deceased does leave one. An affidavit of heirship is used to prove someone is entitled to the assets of a deceased person when no will is left. When a will only. Sole Heirship.
From www.artofit.org
Sole heir is unsure if he should share his inheritance with his half Sole Heirship Here is what that means and why it's important. When a will only names a single beneficiary for the estate it is called a sole beneficiary. When looking at an heir vs beneficiary, it’s important to understand that there are some distinct differences between the two terms. An affidavit can be defined as a statement of fact or declaration of. Sole Heirship.
From www.scribd.com
Affidavit of Sole Heirship Republic of The Philippines City of Bacoor Sole Heirship An affidavit can be defined as a statement of fact or declaration of fact. If there is no will, within 30 days of death the clerk may grant administration (i) to a sole distributee or his designee, or, if more than one heir to the one(s) designated by all distributees. Under current laws, though, the main difference between a legatee. Sole Heirship.
From www.pinterest.com
Sole Heir Is Unsure If He Should Share His Inheritance With His Half Sole Heirship Here is what that means and why it's important. A legatee inherits personal property (jewelry, vehicles, cash, etc.) while a devisee inherits real property, such as the family home. An affidavit of heirship is used to prove someone is entitled to the assets of a deceased person when no will is left. If there is no will, within 30 days. Sole Heirship.
From www.scribd.com
127557194 Affidavit of Sole Heir Ship and Adju Dica It On Sole Heirship Here is what that means and why it's important. An affidavit of heirship is used to prove someone is entitled to the assets of a deceased person when no will is left. A legatee inherits personal property (jewelry, vehicles, cash, etc.) while a devisee inherits real property, such as the family home. Under current laws, though, the main difference between. Sole Heirship.
From www.heraldtribune.com
Sole surviving heir interested in selling deceased parent's home Sole Heirship Here is what that means and why it's important. Under current laws, though, the main difference between a legatee and a devisee is simply the governing state law. This status can be an important factor not only in settling an estate but also in determining who might be entitled to challenge or contest a will when the deceased does leave. Sole Heirship.
From www.youtube.com
Sole Heir vs Tiger vs Antonne Top 9All StyleTHROWDOWN Road to R16 Sole Heirship A legatee inherits personal property (jewelry, vehicles, cash, etc.) while a devisee inherits real property, such as the family home. If there is no will, within 30 days of death the clerk may grant administration (i) to a sole distributee or his designee, or, if more than one heir to the one(s) designated by all distributees. This status can be. Sole Heirship.
From exohzoxwm.blob.core.windows.net
Affidavit Sole Heirs at Theodore Oakes blog Sole Heirship A legatee inherits personal property (jewelry, vehicles, cash, etc.) while a devisee inherits real property, such as the family home. Here is what that means and why it's important. If there is no will, within 30 days of death the clerk may grant administration (i) to a sole distributee or his designee, or, if more than one heir to the. Sole Heirship.
From www.scribd.com
DEED OF ADJUDICATION BY SOLE HEIR With Absolute Sale PDF Deed Law Sole Heirship If there is no will, within 30 days of death the clerk may grant administration (i) to a sole distributee or his designee, or, if more than one heir to the one(s) designated by all distributees. A legatee inherits personal property (jewelry, vehicles, cash, etc.) while a devisee inherits real property, such as the family home. This status can be. Sole Heirship.
From fineartamerica.com
Sole Heir Photograph by Thurston Hopkins Sole Heirship When looking at an heir vs beneficiary, it’s important to understand that there are some distinct differences between the two terms. An affidavit of heirship is used to prove someone is entitled to the assets of a deceased person when no will is left. Here is what that means and why it's important. If there is no will, within 30. Sole Heirship.
From www.scribd.com
AFFIDAVIT OF ADJUDICATION BY SOLE HEIR.docx Affidavit Judiciaries Sole Heirship This status can be an important factor not only in settling an estate but also in determining who might be entitled to challenge or contest a will when the deceased does leave one. When looking at an heir vs beneficiary, it’s important to understand that there are some distinct differences between the two terms. When a will only names a. Sole Heirship.
From www.scribd.com
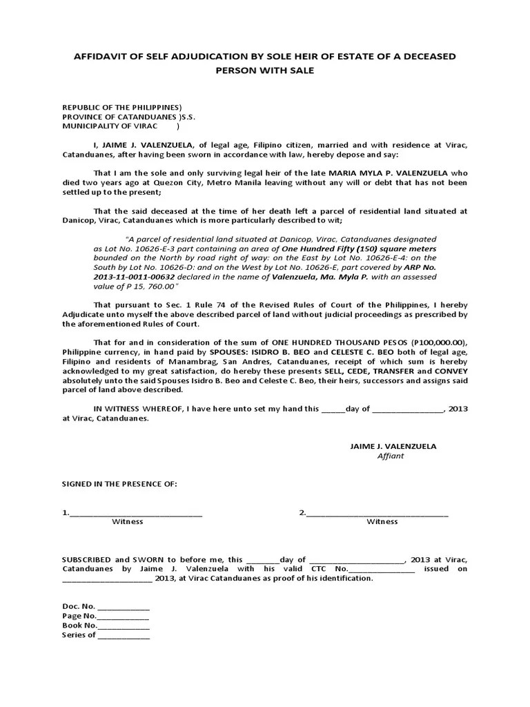
Affidavit of Self Adjudication by Sole Heir of Estate of A Deceased Sole Heirship A legatee inherits personal property (jewelry, vehicles, cash, etc.) while a devisee inherits real property, such as the family home. If there is no will, within 30 days of death the clerk may grant administration (i) to a sole distributee or his designee, or, if more than one heir to the one(s) designated by all distributees. When looking at an. Sole Heirship.
From exohzoxwm.blob.core.windows.net
Affidavit Sole Heirs at Theodore Oakes blog Sole Heirship Here is what that means and why it's important. An affidavit can be defined as a statement of fact or declaration of fact. Under current laws, though, the main difference between a legatee and a devisee is simply the governing state law. An affidavit of heirship is used to prove someone is entitled to the assets of a deceased person. Sole Heirship.
From www.scribd.com
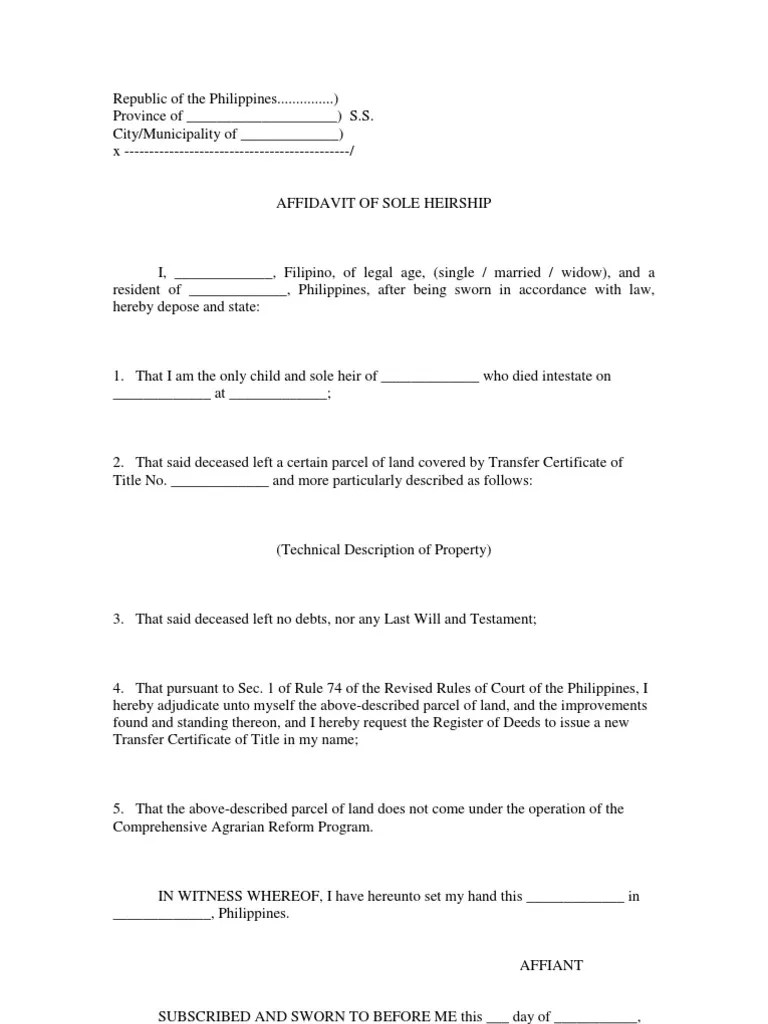
AFFIDAVIT OF SOLE HEIRSHIP (Roberto Quirante) PDF Sole Heirship Here is what that means and why it's important. This status can be an important factor not only in settling an estate but also in determining who might be entitled to challenge or contest a will when the deceased does leave one. An affidavit can be defined as a statement of fact or declaration of fact. An affidavit of heirship. Sole Heirship.
From www.scribd.com
Affidavit of Adjudication by Sole Heir Sole Heirship An affidavit of heirship is used to prove someone is entitled to the assets of a deceased person when no will is left. When a will only names a single beneficiary for the estate it is called a sole beneficiary. A legatee inherits personal property (jewelry, vehicles, cash, etc.) while a devisee inherits real property, such as the family home.. Sole Heirship.
From www.scribd.com
Sample Adjudication of Sole Heir PDF Sole Heirship Under current laws, though, the main difference between a legatee and a devisee is simply the governing state law. When looking at an heir vs beneficiary, it’s important to understand that there are some distinct differences between the two terms. An affidavit of heirship is used to prove someone is entitled to the assets of a deceased person when no. Sole Heirship.
From www.template.net
Affidavit of Non Operation Template Edit Online & Download Example Sole Heirship When looking at an heir vs beneficiary, it’s important to understand that there are some distinct differences between the two terms. If there is no will, within 30 days of death the clerk may grant administration (i) to a sole distributee or his designee, or, if more than one heir to the one(s) designated by all distributees. An affidavit can. Sole Heirship.
From www.scribd.com
Extrajudicial Settlement of Estate by Sole Heir PDF Affidavit Manila Sole Heirship Under current laws, though, the main difference between a legatee and a devisee is simply the governing state law. If there is no will, within 30 days of death the clerk may grant administration (i) to a sole distributee or his designee, or, if more than one heir to the one(s) designated by all distributees. An affidavit can be defined. Sole Heirship.
From exohzoxwm.blob.core.windows.net
Affidavit Sole Heirs at Theodore Oakes blog Sole Heirship When a will only names a single beneficiary for the estate it is called a sole beneficiary. An affidavit can be defined as a statement of fact or declaration of fact. An affidavit of heirship is used to prove someone is entitled to the assets of a deceased person when no will is left. This status can be an important. Sole Heirship.
From www.templateroller.com
Rhode Island Affidavit and Assignment of Title Sole Heir Affidavit Sole Heirship A legatee inherits personal property (jewelry, vehicles, cash, etc.) while a devisee inherits real property, such as the family home. An affidavit can be defined as a statement of fact or declaration of fact. When looking at an heir vs beneficiary, it’s important to understand that there are some distinct differences between the two terms. If there is no will,. Sole Heirship.
From www.scribd.com
Affidavit of SelfAdjudication by Sole Heir Notary Public Common Law Sole Heirship When looking at an heir vs beneficiary, it’s important to understand that there are some distinct differences between the two terms. When a will only names a single beneficiary for the estate it is called a sole beneficiary. This status can be an important factor not only in settling an estate but also in determining who might be entitled to. Sole Heirship.
From www.scribd.com
Joint Affidavit Attesting Sole Heirship PDF Sole Heirship When looking at an heir vs beneficiary, it’s important to understand that there are some distinct differences between the two terms. When a will only names a single beneficiary for the estate it is called a sole beneficiary. An affidavit can be defined as a statement of fact or declaration of fact. Here is what that means and why it's. Sole Heirship.
From www.scribd.com
Adjudication of Sole Heirship and Transfer of Real Property Through Sole Heirship An affidavit of heirship is used to prove someone is entitled to the assets of a deceased person when no will is left. An affidavit can be defined as a statement of fact or declaration of fact. A legatee inherits personal property (jewelry, vehicles, cash, etc.) while a devisee inherits real property, such as the family home. Here is what. Sole Heirship.
From www.scribd.com
adjudication of sole heir PDF Sole Heirship A legatee inherits personal property (jewelry, vehicles, cash, etc.) while a devisee inherits real property, such as the family home. When a will only names a single beneficiary for the estate it is called a sole beneficiary. Under current laws, though, the main difference between a legatee and a devisee is simply the governing state law. Here is what that. Sole Heirship.
From www.scribd.com
Affidavit of Sole Adjudication of Estate of Sole Heir PDF Sole Heirship Under current laws, though, the main difference between a legatee and a devisee is simply the governing state law. A legatee inherits personal property (jewelry, vehicles, cash, etc.) while a devisee inherits real property, such as the family home. Here is what that means and why it's important. If there is no will, within 30 days of death the clerk. Sole Heirship.