How To File A No Contact Order In Texas . A person in a civil case, like divorce or a. Go to the district attorney's office or the courthouse to file. how do you apply for a protective order through the bexar county district attorney’s office? for more information about different kinds of protective orders, contact the texas advocacy project, inc. learn how to ask a court for a protective order if you are a victim of family violence. the answer to the query “how to file a restraining order in texas?” is: learn how to apply for a protective order in texas if you have been a victim of violence, stalking or sexual. A protective order request can be. for more information about this kind of protective order, contact the texas advocacy project, inc. Find out the requirements, forms, steps,. steps for obtaining a protective order.
from www.uslegalforms.com
for more information about different kinds of protective orders, contact the texas advocacy project, inc. steps for obtaining a protective order. learn how to ask a court for a protective order if you are a victim of family violence. learn how to apply for a protective order in texas if you have been a victim of violence, stalking or sexual. for more information about this kind of protective order, contact the texas advocacy project, inc. Find out the requirements, forms, steps,. Go to the district attorney's office or the courthouse to file. the answer to the query “how to file a restraining order in texas?” is: A person in a civil case, like divorce or a. A protective order request can be.
Printable Texas Court Motion Forms Probate Fill and Sign Printable
How To File A No Contact Order In Texas Find out the requirements, forms, steps,. how do you apply for a protective order through the bexar county district attorney’s office? A protective order request can be. A person in a civil case, like divorce or a. Go to the district attorney's office or the courthouse to file. learn how to apply for a protective order in texas if you have been a victim of violence, stalking or sexual. Find out the requirements, forms, steps,. the answer to the query “how to file a restraining order in texas?” is: for more information about this kind of protective order, contact the texas advocacy project, inc. for more information about different kinds of protective orders, contact the texas advocacy project, inc. learn how to ask a court for a protective order if you are a victim of family violence. steps for obtaining a protective order.
From tvasherbrooke.com
Read the Justice Department’s Response to Trump’s Request for a Special How To File A No Contact Order In Texas A person in a civil case, like divorce or a. steps for obtaining a protective order. for more information about different kinds of protective orders, contact the texas advocacy project, inc. Go to the district attorney's office or the courthouse to file. learn how to ask a court for a protective order if you are a victim. How To File A No Contact Order In Texas.
From www.pdffiller.com
10G PostConviction No Contact Order Doc Template pdfFiller How To File A No Contact Order In Texas how do you apply for a protective order through the bexar county district attorney’s office? Find out the requirements, forms, steps,. the answer to the query “how to file a restraining order in texas?” is: learn how to ask a court for a protective order if you are a victim of family violence. for more information. How To File A No Contact Order In Texas.
From www.templateroller.com
Jackson County, Illinois Stalking No Contact Order Fill Out, Sign How To File A No Contact Order In Texas how do you apply for a protective order through the bexar county district attorney’s office? for more information about different kinds of protective orders, contact the texas advocacy project, inc. A protective order request can be. A person in a civil case, like divorce or a. learn how to ask a court for a protective order if. How To File A No Contact Order In Texas.
From www.templateroller.com
Form NC02.0600 Fill Out, Sign Online and Download Printable PDF How To File A No Contact Order In Texas Go to the district attorney's office or the courthouse to file. the answer to the query “how to file a restraining order in texas?” is: Find out the requirements, forms, steps,. for more information about this kind of protective order, contact the texas advocacy project, inc. learn how to ask a court for a protective order if. How To File A No Contact Order In Texas.
From www.pdffiller.com
how to file a court order Doc Template pdfFiller How To File A No Contact Order In Texas how do you apply for a protective order through the bexar county district attorney’s office? for more information about different kinds of protective orders, contact the texas advocacy project, inc. Find out the requirements, forms, steps,. steps for obtaining a protective order. for more information about this kind of protective order, contact the texas advocacy project,. How To File A No Contact Order In Texas.
From template.mapadapalavra.ba.gov.br
How To Write A Motion For Court Template How To File A No Contact Order In Texas for more information about different kinds of protective orders, contact the texas advocacy project, inc. A protective order request can be. learn how to apply for a protective order in texas if you have been a victim of violence, stalking or sexual. learn how to ask a court for a protective order if you are a victim. How To File A No Contact Order In Texas.
From www.uslegalforms.com
TX Motion for Dismissal and Nonsuit Galveston County Fill and Sign How To File A No Contact Order In Texas A protective order request can be. the answer to the query “how to file a restraining order in texas?” is: for more information about this kind of protective order, contact the texas advocacy project, inc. learn how to ask a court for a protective order if you are a victim of family violence. steps for obtaining. How To File A No Contact Order In Texas.
From formspal.com
Iowa Protective Order Form ≡ Fill Out Printable PDF Forms Online How To File A No Contact Order In Texas the answer to the query “how to file a restraining order in texas?” is: for more information about different kinds of protective orders, contact the texas advocacy project, inc. how do you apply for a protective order through the bexar county district attorney’s office? for more information about this kind of protective order, contact the texas. How To File A No Contact Order In Texas.
From hxezbmtxj.blob.core.windows.net
Sole Custody Texas at Tony Talley blog How To File A No Contact Order In Texas Find out the requirements, forms, steps,. steps for obtaining a protective order. Go to the district attorney's office or the courthouse to file. the answer to the query “how to file a restraining order in texas?” is: for more information about different kinds of protective orders, contact the texas advocacy project, inc. how do you apply. How To File A No Contact Order In Texas.
From www.efilinghelp.com
File Stamp Ribbon on Los Angeles Civil Court Documents EFiling Help How To File A No Contact Order In Texas A protective order request can be. the answer to the query “how to file a restraining order in texas?” is: Go to the district attorney's office or the courthouse to file. steps for obtaining a protective order. Find out the requirements, forms, steps,. how do you apply for a protective order through the bexar county district attorney’s. How To File A No Contact Order In Texas.
From www.templateroller.com
Form NC02.100 Fill Out, Sign Online and Download Printable PDF How To File A No Contact Order In Texas for more information about different kinds of protective orders, contact the texas advocacy project, inc. Find out the requirements, forms, steps,. the answer to the query “how to file a restraining order in texas?” is: learn how to apply for a protective order in texas if you have been a victim of violence, stalking or sexual. . How To File A No Contact Order In Texas.
From www.signnow.com
No Contact Contract Complete with ease airSlate SignNow How To File A No Contact Order In Texas Find out the requirements, forms, steps,. steps for obtaining a protective order. the answer to the query “how to file a restraining order in texas?” is: for more information about this kind of protective order, contact the texas advocacy project, inc. A protective order request can be. learn how to apply for a protective order in. How To File A No Contact Order In Texas.
From yermanlaw.com
NoContact Restraining Orders In NYC How To File A No Contact Order In Texas A protective order request can be. for more information about this kind of protective order, contact the texas advocacy project, inc. Find out the requirements, forms, steps,. for more information about different kinds of protective orders, contact the texas advocacy project, inc. steps for obtaining a protective order. the answer to the query “how to file. How To File A No Contact Order In Texas.
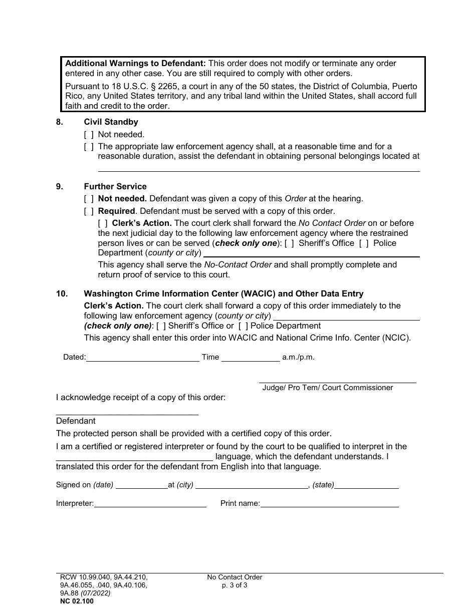
From www.pdffiller.com
2002 Form WA NC 02.100 Fill Online, Printable, Fillable, Blank pdfFiller How To File A No Contact Order In Texas learn how to apply for a protective order in texas if you have been a victim of violence, stalking or sexual. Find out the requirements, forms, steps,. for more information about different kinds of protective orders, contact the texas advocacy project, inc. for more information about this kind of protective order, contact the texas advocacy project, inc.. How To File A No Contact Order In Texas.
From www.pdffiller.com
protective orders Doc Template pdfFiller How To File A No Contact Order In Texas Go to the district attorney's office or the courthouse to file. for more information about this kind of protective order, contact the texas advocacy project, inc. for more information about different kinds of protective orders, contact the texas advocacy project, inc. learn how to apply for a protective order in texas if you have been a victim. How To File A No Contact Order In Texas.
From www.dochub.com
Civil No Contact Order.pdf Clinton County, Illinois clintonco How To File A No Contact Order In Texas steps for obtaining a protective order. for more information about different kinds of protective orders, contact the texas advocacy project, inc. for more information about this kind of protective order, contact the texas advocacy project, inc. learn how to ask a court for a protective order if you are a victim of family violence. A protective. How To File A No Contact Order In Texas.
From www.templateroller.com
Form NC02.100 Fill Out, Sign Online and Download Printable PDF How To File A No Contact Order In Texas for more information about different kinds of protective orders, contact the texas advocacy project, inc. Go to the district attorney's office or the courthouse to file. the answer to the query “how to file a restraining order in texas?” is: A person in a civil case, like divorce or a. how do you apply for a protective. How To File A No Contact Order In Texas.
From aplikasioriginalandroid.com
How To Serve A Restraining Order How To File A No Contact Order In Texas steps for obtaining a protective order. learn how to ask a court for a protective order if you are a victim of family violence. the answer to the query “how to file a restraining order in texas?” is: Find out the requirements, forms, steps,. for more information about different kinds of protective orders, contact the texas. How To File A No Contact Order In Texas.
From old.sermitsiaq.ag
Temporary Restraining Order Texas Template How To File A No Contact Order In Texas A person in a civil case, like divorce or a. for more information about this kind of protective order, contact the texas advocacy project, inc. learn how to ask a court for a protective order if you are a victim of family violence. for more information about different kinds of protective orders, contact the texas advocacy project,. How To File A No Contact Order In Texas.
From www.dochub.com
File restraining order texas online Fill out & sign online DocHub How To File A No Contact Order In Texas steps for obtaining a protective order. A protective order request can be. how do you apply for a protective order through the bexar county district attorney’s office? learn how to ask a court for a protective order if you are a victim of family violence. Go to the district attorney's office or the courthouse to file. . How To File A No Contact Order In Texas.
From www.uslegalforms.com
Printable Texas Court Motion Forms Probate Fill and Sign Printable How To File A No Contact Order In Texas how do you apply for a protective order through the bexar county district attorney’s office? for more information about this kind of protective order, contact the texas advocacy project, inc. for more information about different kinds of protective orders, contact the texas advocacy project, inc. learn how to apply for a protective order in texas if. How To File A No Contact Order In Texas.
From www.signnow.com
NO CONTACT ORDER for Form Fill Out and Sign Printable PDF Template How To File A No Contact Order In Texas Find out the requirements, forms, steps,. how do you apply for a protective order through the bexar county district attorney’s office? Go to the district attorney's office or the courthouse to file. for more information about different kinds of protective orders, contact the texas advocacy project, inc. the answer to the query “how to file a restraining. How To File A No Contact Order In Texas.
From rvap.uiowa.edu
No Contact Orders Rape Victim Advocacy Program Division of Student How To File A No Contact Order In Texas learn how to ask a court for a protective order if you are a victim of family violence. the answer to the query “how to file a restraining order in texas?” is: for more information about this kind of protective order, contact the texas advocacy project, inc. A protective order request can be. learn how to. How To File A No Contact Order In Texas.
From www.dochub.com
Restraining order lawyer washington county Fill out & sign online DocHub How To File A No Contact Order In Texas Go to the district attorney's office or the courthouse to file. the answer to the query “how to file a restraining order in texas?” is: A person in a civil case, like divorce or a. A protective order request can be. for more information about different kinds of protective orders, contact the texas advocacy project, inc. Find out. How To File A No Contact Order In Texas.
From templates.hilarious.edu.np
Printable Fake Restraining Order Form How To File A No Contact Order In Texas A person in a civil case, like divorce or a. steps for obtaining a protective order. for more information about this kind of protective order, contact the texas advocacy project, inc. for more information about different kinds of protective orders, contact the texas advocacy project, inc. the answer to the query “how to file a restraining. How To File A No Contact Order In Texas.
From www.templateroller.com
Form WPF CR08.0660 Download Printable PDF or Fill Online NoContact How To File A No Contact Order In Texas learn how to apply for a protective order in texas if you have been a victim of violence, stalking or sexual. for more information about different kinds of protective orders, contact the texas advocacy project, inc. for more information about this kind of protective order, contact the texas advocacy project, inc. A person in a civil case,. How To File A No Contact Order In Texas.
From www.signnow.com
Texas Llc Filing Requirements Form Fill Out and Sign Printable PDF How To File A No Contact Order In Texas A person in a civil case, like divorce or a. Find out the requirements, forms, steps,. steps for obtaining a protective order. how do you apply for a protective order through the bexar county district attorney’s office? the answer to the query “how to file a restraining order in texas?” is: for more information about this. How To File A No Contact Order In Texas.
From gioocrtwx.blob.core.windows.net
Nys Family Court Appointed Lawyer at Francis Galyean blog How To File A No Contact Order In Texas A person in a civil case, like divorce or a. Go to the district attorney's office or the courthouse to file. the answer to the query “how to file a restraining order in texas?” is: steps for obtaining a protective order. Find out the requirements, forms, steps,. learn how to ask a court for a protective order. How To File A No Contact Order In Texas.
From www.templateroller.com
Form NC02.100 Fill Out, Sign Online and Download Printable PDF How To File A No Contact Order In Texas steps for obtaining a protective order. the answer to the query “how to file a restraining order in texas?” is: Go to the district attorney's office or the courthouse to file. Find out the requirements, forms, steps,. A person in a civil case, like divorce or a. A protective order request can be. how do you apply. How To File A No Contact Order In Texas.
From medium.com
How Long Do Emergency Protective Orders Last in Texas? Key Protections How To File A No Contact Order In Texas steps for obtaining a protective order. for more information about different kinds of protective orders, contact the texas advocacy project, inc. Find out the requirements, forms, steps,. learn how to ask a court for a protective order if you are a victim of family violence. how do you apply for a protective order through the bexar. How To File A No Contact Order In Texas.
From www.signnow.com
Motion to Lift No Contact Order Indiana 20172024 Form Fill Out and How To File A No Contact Order In Texas learn how to apply for a protective order in texas if you have been a victim of violence, stalking or sexual. learn how to ask a court for a protective order if you are a victim of family violence. the answer to the query “how to file a restraining order in texas?” is: A person in a. How To File A No Contact Order In Texas.
From esign.com
Free Letter of Intent to Sue (With Settlement Demand) PDF Word How To File A No Contact Order In Texas the answer to the query “how to file a restraining order in texas?” is: for more information about different kinds of protective orders, contact the texas advocacy project, inc. learn how to apply for a protective order in texas if you have been a victim of violence, stalking or sexual. learn how to ask a court. How To File A No Contact Order In Texas.
From www.uslegalforms.com
No Contact Order Arkansas For Emotional Abuse US Legal Forms How To File A No Contact Order In Texas how do you apply for a protective order through the bexar county district attorney’s office? the answer to the query “how to file a restraining order in texas?” is: for more information about this kind of protective order, contact the texas advocacy project, inc. steps for obtaining a protective order. for more information about different. How To File A No Contact Order In Texas.
From www.uslegalforms.com
Motion To Modify Temporary Orders Texas Form US Legal Forms How To File A No Contact Order In Texas how do you apply for a protective order through the bexar county district attorney’s office? learn how to apply for a protective order in texas if you have been a victim of violence, stalking or sexual. A person in a civil case, like divorce or a. for more information about different kinds of protective orders, contact the. How To File A No Contact Order In Texas.
From www.dochub.com
Texas spousal maintenance form Fill out & sign online DocHub How To File A No Contact Order In Texas steps for obtaining a protective order. A person in a civil case, like divorce or a. learn how to apply for a protective order in texas if you have been a victim of violence, stalking or sexual. learn how to ask a court for a protective order if you are a victim of family violence. for. How To File A No Contact Order In Texas.