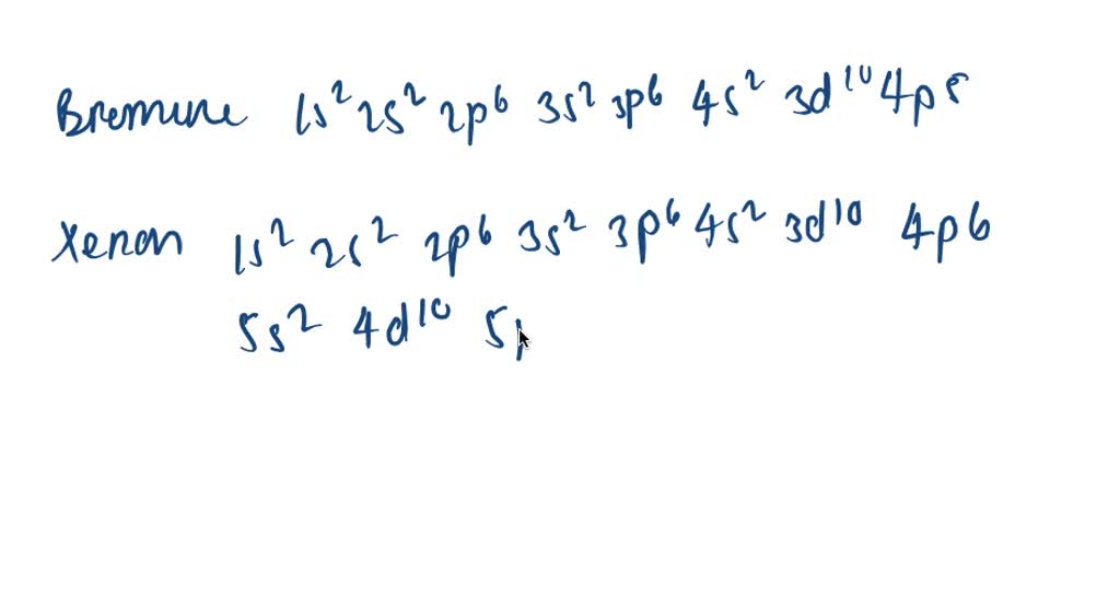
Write The Full Electron Configuration For Bromine . The electron configuration of bromine is 1s22s22p63s23p64s23d104p5. Electron configuration chart of all elements is mentioned in the table below. Bromine belongs to group 17 which is known as halogens. Please read the full article below for more information. The bromine electron configuration, denoted as 4s2 3d10 4p5 or 1s2 2s2 2p6 3s2 3p6 4s2 3d10 4p5, showcases the precise placement of electrons within the atom. The full electronic configuration of bromine is 1 s 2 2 s 2 2 p 6 3 s 2 3 p 6 4 s 2 3 d 10 4 p 5. The elements of group 17 have seven. This diagram shows how the electrons in the bromine Use a chart such as the one below. The bromine orbital diagram is a graphical representation of the electron configuration of the bromine atom. Electronic configuration of group 17: In this article today we are going to tell you about the electron configuration of bromine, its orbital diagram, and valence electron. This can be shortened to [ar]4s23d104p5. The shorthand electron configuration (or noble gas configuration) as well as. Also, we will provide the pictures of the same.
from www.animalia-life.club
The bromine electron configuration, denoted as 4s2 3d10 4p5 or 1s2 2s2 2p6 3s2 3p6 4s2 3d10 4p5, showcases the precise placement of electrons within the atom. This diagram shows how the electrons in the bromine The full electronic configuration of bromine is 1 s 2 2 s 2 2 p 6 3 s 2 3 p 6 4 s 2 3 d 10 4 p 5. In this article today we are going to tell you about the electron configuration of bromine, its orbital diagram, and valence electron. The elements of group 17 have seven. Electron configuration chart of all elements is mentioned in the table below. Also, we will provide the pictures of the same. Please read the full article below for more information. Electronic configuration of group 17: The shorthand electron configuration (or noble gas configuration) as well as.
Electron Configuration For Bromine
Write The Full Electron Configuration For Bromine The elements of group 17 have seven. This diagram shows how the electrons in the bromine Electronic configuration of group 17: In this article today we are going to tell you about the electron configuration of bromine, its orbital diagram, and valence electron. This can be shortened to [ar]4s23d104p5. Bromine belongs to group 17 which is known as halogens. Also, we will provide the pictures of the same. Please read the full article below for more information. The bromine electron configuration, denoted as 4s2 3d10 4p5 or 1s2 2s2 2p6 3s2 3p6 4s2 3d10 4p5, showcases the precise placement of electrons within the atom. The electron configuration of bromine is 1s22s22p63s23p64s23d104p5. Use a chart such as the one below. The elements of group 17 have seven. The bromine orbital diagram is a graphical representation of the electron configuration of the bromine atom. Electron configuration chart of all elements is mentioned in the table below. The shorthand electron configuration (or noble gas configuration) as well as. The full electronic configuration of bromine is 1 s 2 2 s 2 2 p 6 3 s 2 3 p 6 4 s 2 3 d 10 4 p 5.
From www.alamy.com
Bromine (Br). Diagram of the nuclear composition, electron Write The Full Electron Configuration For Bromine The shorthand electron configuration (or noble gas configuration) as well as. Please read the full article below for more information. Electron configuration chart of all elements is mentioned in the table below. The bromine orbital diagram is a graphical representation of the electron configuration of the bromine atom. Also, we will provide the pictures of the same. The electron configuration. Write The Full Electron Configuration For Bromine.
From www.animalia-life.club
Electron Configuration For Bromine Write The Full Electron Configuration For Bromine Electron configuration chart of all elements is mentioned in the table below. Use a chart such as the one below. In this article today we are going to tell you about the electron configuration of bromine, its orbital diagram, and valence electron. Bromine belongs to group 17 which is known as halogens. This can be shortened to [ar]4s23d104p5. This diagram. Write The Full Electron Configuration For Bromine.
From www.thoughtco.com
Atom Diagrams Electron Configurations of the Elements Write The Full Electron Configuration For Bromine Electron configuration chart of all elements is mentioned in the table below. The bromine orbital diagram is a graphical representation of the electron configuration of the bromine atom. The electron configuration of bromine is 1s22s22p63s23p64s23d104p5. Please read the full article below for more information. In this article today we are going to tell you about the electron configuration of bromine,. Write The Full Electron Configuration For Bromine.
From www.animalia-life.club
Electron Configuration For Bromine Write The Full Electron Configuration For Bromine Also, we will provide the pictures of the same. In this article today we are going to tell you about the electron configuration of bromine, its orbital diagram, and valence electron. Please read the full article below for more information. The electron configuration of bromine is 1s22s22p63s23p64s23d104p5. Electron configuration chart of all elements is mentioned in the table below. Bromine. Write The Full Electron Configuration For Bromine.
From www.numerade.com
SOLVEDWrite the full electron configuration (1 s^2 2 s^2, etc. ) for Write The Full Electron Configuration For Bromine The shorthand electron configuration (or noble gas configuration) as well as. The elements of group 17 have seven. Electronic configuration of group 17: Also, we will provide the pictures of the same. This diagram shows how the electrons in the bromine In this article today we are going to tell you about the electron configuration of bromine, its orbital diagram,. Write The Full Electron Configuration For Bromine.
From www.youtube.com
Electron Configuration of Bromine, Br YouTube Write The Full Electron Configuration For Bromine Please read the full article below for more information. The shorthand electron configuration (or noble gas configuration) as well as. Electronic configuration of group 17: The elements of group 17 have seven. The bromine electron configuration, denoted as 4s2 3d10 4p5 or 1s2 2s2 2p6 3s2 3p6 4s2 3d10 4p5, showcases the precise placement of electrons within the atom. This. Write The Full Electron Configuration For Bromine.
From www.animalia-life.club
Electron Configuration For Bromine Write The Full Electron Configuration For Bromine Bromine belongs to group 17 which is known as halogens. The shorthand electron configuration (or noble gas configuration) as well as. This can be shortened to [ar]4s23d104p5. This diagram shows how the electrons in the bromine The full electronic configuration of bromine is 1 s 2 2 s 2 2 p 6 3 s 2 3 p 6 4 s. Write The Full Electron Configuration For Bromine.
From periodictable.me
Bromine Electron Configuration (Br) with Orbital Diagram Write The Full Electron Configuration For Bromine Also, we will provide the pictures of the same. The elements of group 17 have seven. The bromine electron configuration, denoted as 4s2 3d10 4p5 or 1s2 2s2 2p6 3s2 3p6 4s2 3d10 4p5, showcases the precise placement of electrons within the atom. Please read the full article below for more information. Use a chart such as the one below.. Write The Full Electron Configuration For Bromine.
From www.youtube.com
Electron Configuration of Bromine Br Lesson YouTube Write The Full Electron Configuration For Bromine In this article today we are going to tell you about the electron configuration of bromine, its orbital diagram, and valence electron. The bromine electron configuration, denoted as 4s2 3d10 4p5 or 1s2 2s2 2p6 3s2 3p6 4s2 3d10 4p5, showcases the precise placement of electrons within the atom. Please read the full article below for more information. The elements. Write The Full Electron Configuration For Bromine.
From ar.inspiredpencil.com
Electron Configuration For Bromine Write The Full Electron Configuration For Bromine Electronic configuration of group 17: Bromine belongs to group 17 which is known as halogens. Electron configuration chart of all elements is mentioned in the table below. In this article today we are going to tell you about the electron configuration of bromine, its orbital diagram, and valence electron. Use a chart such as the one below. Also, we will. Write The Full Electron Configuration For Bromine.
From www.animalia-life.club
Electron Configuration For Bromine Write The Full Electron Configuration For Bromine Also, we will provide the pictures of the same. The electron configuration of bromine is 1s22s22p63s23p64s23d104p5. Electronic configuration of group 17: The full electronic configuration of bromine is 1 s 2 2 s 2 2 p 6 3 s 2 3 p 6 4 s 2 3 d 10 4 p 5. Please read the full article below for more. Write The Full Electron Configuration For Bromine.
From www.webelements.com
Elements Periodic Table » Bromine » properties of free atoms Write The Full Electron Configuration For Bromine The elements of group 17 have seven. The full electronic configuration of bromine is 1 s 2 2 s 2 2 p 6 3 s 2 3 p 6 4 s 2 3 d 10 4 p 5. This diagram shows how the electrons in the bromine This can be shortened to [ar]4s23d104p5. Electron configuration chart of all elements is. Write The Full Electron Configuration For Bromine.
From www.animalia-life.club
Electron Configuration For Bromine Write The Full Electron Configuration For Bromine Also, we will provide the pictures of the same. This can be shortened to [ar]4s23d104p5. This diagram shows how the electrons in the bromine Please read the full article below for more information. Bromine belongs to group 17 which is known as halogens. The full electronic configuration of bromine is 1 s 2 2 s 2 2 p 6 3. Write The Full Electron Configuration For Bromine.
From www.animalia-life.club
Electron Configuration For Bromine Write The Full Electron Configuration For Bromine Bromine belongs to group 17 which is known as halogens. Electronic configuration of group 17: This can be shortened to [ar]4s23d104p5. Use a chart such as the one below. The elements of group 17 have seven. The bromine orbital diagram is a graphical representation of the electron configuration of the bromine atom. Please read the full article below for more. Write The Full Electron Configuration For Bromine.
From periodictable.me
How Do We Find The Electron Configuration For Bromine Dynamic Write The Full Electron Configuration For Bromine The elements of group 17 have seven. In this article today we are going to tell you about the electron configuration of bromine, its orbital diagram, and valence electron. Bromine belongs to group 17 which is known as halogens. This can be shortened to [ar]4s23d104p5. Use a chart such as the one below. Electron configuration chart of all elements is. Write The Full Electron Configuration For Bromine.
From ar.inspiredpencil.com
Electron Configuration Of Bromine Write The Full Electron Configuration For Bromine This diagram shows how the electrons in the bromine Bromine belongs to group 17 which is known as halogens. Please read the full article below for more information. The shorthand electron configuration (or noble gas configuration) as well as. The bromine electron configuration, denoted as 4s2 3d10 4p5 or 1s2 2s2 2p6 3s2 3p6 4s2 3d10 4p5, showcases the precise. Write The Full Electron Configuration For Bromine.
From www.animalia-life.club
Electron Configuration For Bromine Write The Full Electron Configuration For Bromine Electron configuration chart of all elements is mentioned in the table below. The full electronic configuration of bromine is 1 s 2 2 s 2 2 p 6 3 s 2 3 p 6 4 s 2 3 d 10 4 p 5. The electron configuration of bromine is 1s22s22p63s23p64s23d104p5. In this article today we are going to tell you. Write The Full Electron Configuration For Bromine.
From www.animalia-life.club
Electron Configuration For Bromine Write The Full Electron Configuration For Bromine In this article today we are going to tell you about the electron configuration of bromine, its orbital diagram, and valence electron. Please read the full article below for more information. This diagram shows how the electrons in the bromine Bromine belongs to group 17 which is known as halogens. This can be shortened to [ar]4s23d104p5. Use a chart such. Write The Full Electron Configuration For Bromine.
From www.alamy.com
Bromine (Br). Diagram of the nuclear composition, electron Write The Full Electron Configuration For Bromine The shorthand electron configuration (or noble gas configuration) as well as. The electron configuration of bromine is 1s22s22p63s23p64s23d104p5. In this article today we are going to tell you about the electron configuration of bromine, its orbital diagram, and valence electron. The elements of group 17 have seven. Also, we will provide the pictures of the same. This can be shortened. Write The Full Electron Configuration For Bromine.
From www.animalia-life.club
Electron Configuration For Bromine Write The Full Electron Configuration For Bromine Electron configuration chart of all elements is mentioned in the table below. This can be shortened to [ar]4s23d104p5. The bromine electron configuration, denoted as 4s2 3d10 4p5 or 1s2 2s2 2p6 3s2 3p6 4s2 3d10 4p5, showcases the precise placement of electrons within the atom. The bromine orbital diagram is a graphical representation of the electron configuration of the bromine. Write The Full Electron Configuration For Bromine.
From www.youtube.com
Br Electron Configuration (Bromide Ion) YouTube Write The Full Electron Configuration For Bromine The full electronic configuration of bromine is 1 s 2 2 s 2 2 p 6 3 s 2 3 p 6 4 s 2 3 d 10 4 p 5. The bromine electron configuration, denoted as 4s2 3d10 4p5 or 1s2 2s2 2p6 3s2 3p6 4s2 3d10 4p5, showcases the precise placement of electrons within the atom. This can. Write The Full Electron Configuration For Bromine.
From www.numerade.com
SOLVED Write the i) full electron configuration ii) the orbital Write The Full Electron Configuration For Bromine The elements of group 17 have seven. The shorthand electron configuration (or noble gas configuration) as well as. Use a chart such as the one below. Please read the full article below for more information. The electron configuration of bromine is 1s22s22p63s23p64s23d104p5. Bromine belongs to group 17 which is known as halogens. In this article today we are going to. Write The Full Electron Configuration For Bromine.
From www.youtube.com
Full and Abbreviated Electron Configuration of Bromine Br YouTube Write The Full Electron Configuration For Bromine Electron configuration chart of all elements is mentioned in the table below. The bromine orbital diagram is a graphical representation of the electron configuration of the bromine atom. Use a chart such as the one below. The electron configuration of bromine is 1s22s22p63s23p64s23d104p5. Please read the full article below for more information. The full electronic configuration of bromine is 1. Write The Full Electron Configuration For Bromine.
From www.numerade.com
SOLVEDWrite the full electron configuration (1 s^2 2 s^2, etc. ) for Write The Full Electron Configuration For Bromine In this article today we are going to tell you about the electron configuration of bromine, its orbital diagram, and valence electron. Please read the full article below for more information. This diagram shows how the electrons in the bromine The full electronic configuration of bromine is 1 s 2 2 s 2 2 p 6 3 s 2 3. Write The Full Electron Configuration For Bromine.
From www.youtube.com
Br electronic configurationHow to write electronic configuration of Write The Full Electron Configuration For Bromine The full electronic configuration of bromine is 1 s 2 2 s 2 2 p 6 3 s 2 3 p 6 4 s 2 3 d 10 4 p 5. Electron configuration chart of all elements is mentioned in the table below. This can be shortened to [ar]4s23d104p5. The electron configuration of bromine is 1s22s22p63s23p64s23d104p5. Use a chart such. Write The Full Electron Configuration For Bromine.
From www.youtube.com
Electron configuration, Orbital notation and Quantum Numbers for Write The Full Electron Configuration For Bromine This diagram shows how the electrons in the bromine In this article today we are going to tell you about the electron configuration of bromine, its orbital diagram, and valence electron. Electronic configuration of group 17: The bromine orbital diagram is a graphical representation of the electron configuration of the bromine atom. Use a chart such as the one below.. Write The Full Electron Configuration For Bromine.
From www.animalia-life.club
Electron Configuration For Bromine Write The Full Electron Configuration For Bromine This diagram shows how the electrons in the bromine Electron configuration chart of all elements is mentioned in the table below. The shorthand electron configuration (or noble gas configuration) as well as. Also, we will provide the pictures of the same. The elements of group 17 have seven. The full electronic configuration of bromine is 1 s 2 2 s. Write The Full Electron Configuration For Bromine.
From www.animalia-life.club
Electron Configuration For Bromine Write The Full Electron Configuration For Bromine Bromine belongs to group 17 which is known as halogens. The electron configuration of bromine is 1s22s22p63s23p64s23d104p5. The bromine orbital diagram is a graphical representation of the electron configuration of the bromine atom. In this article today we are going to tell you about the electron configuration of bromine, its orbital diagram, and valence electron. The bromine electron configuration, denoted. Write The Full Electron Configuration For Bromine.
From www.animalia-life.club
Electron Configuration For Bromine Write The Full Electron Configuration For Bromine This can be shortened to [ar]4s23d104p5. Bromine belongs to group 17 which is known as halogens. Electronic configuration of group 17: In this article today we are going to tell you about the electron configuration of bromine, its orbital diagram, and valence electron. Electron configuration chart of all elements is mentioned in the table below. This diagram shows how the. Write The Full Electron Configuration For Bromine.
From autoctrls.com
Understanding the Bromine Electron Dot Diagram A Comprehensive Guide Write The Full Electron Configuration For Bromine This can be shortened to [ar]4s23d104p5. Use a chart such as the one below. The shorthand electron configuration (or noble gas configuration) as well as. The bromine electron configuration, denoted as 4s2 3d10 4p5 or 1s2 2s2 2p6 3s2 3p6 4s2 3d10 4p5, showcases the precise placement of electrons within the atom. The full electronic configuration of bromine is 1. Write The Full Electron Configuration For Bromine.
From www.nuclear-power.com
Bromine Atomic Number Atomic Mass Density of Bromine nuclear Write The Full Electron Configuration For Bromine The electron configuration of bromine is 1s22s22p63s23p64s23d104p5. The bromine electron configuration, denoted as 4s2 3d10 4p5 or 1s2 2s2 2p6 3s2 3p6 4s2 3d10 4p5, showcases the precise placement of electrons within the atom. In this article today we are going to tell you about the electron configuration of bromine, its orbital diagram, and valence electron. Also, we will provide. Write The Full Electron Configuration For Bromine.
From www.schoolmykids.com
Bromine (Br) Element Information, Facts, Properties, Uses Periodic Write The Full Electron Configuration For Bromine This diagram shows how the electrons in the bromine The bromine orbital diagram is a graphical representation of the electron configuration of the bromine atom. The bromine electron configuration, denoted as 4s2 3d10 4p5 or 1s2 2s2 2p6 3s2 3p6 4s2 3d10 4p5, showcases the precise placement of electrons within the atom. The shorthand electron configuration (or noble gas configuration). Write The Full Electron Configuration For Bromine.
From valenceelectrons.com
Complete Electron Configuration for Bromine (Br, Br ion) Write The Full Electron Configuration For Bromine The bromine orbital diagram is a graphical representation of the electron configuration of the bromine atom. Bromine belongs to group 17 which is known as halogens. Please read the full article below for more information. Electron configuration chart of all elements is mentioned in the table below. Electronic configuration of group 17: This can be shortened to [ar]4s23d104p5. The full. Write The Full Electron Configuration For Bromine.
From www.animalia-life.club
Electron Configuration For Bromine Write The Full Electron Configuration For Bromine Bromine belongs to group 17 which is known as halogens. Please read the full article below for more information. In this article today we are going to tell you about the electron configuration of bromine, its orbital diagram, and valence electron. Also, we will provide the pictures of the same. This can be shortened to [ar]4s23d104p5. The electron configuration of. Write The Full Electron Configuration For Bromine.
From periodictable.me
Bromine Electron Configuration (Br) with Orbital Diagram Write The Full Electron Configuration For Bromine The bromine orbital diagram is a graphical representation of the electron configuration of the bromine atom. Electronic configuration of group 17: The bromine electron configuration, denoted as 4s2 3d10 4p5 or 1s2 2s2 2p6 3s2 3p6 4s2 3d10 4p5, showcases the precise placement of electrons within the atom. Please read the full article below for more information. The shorthand electron. Write The Full Electron Configuration For Bromine.