How Many Full Houses Are Possible . Written by the cardschat editorial team. 3 cards of one denomination and 2 of another. (a full house is defined as a hand with three cards of one denomination and two cards of. A full house poker hand is made of three cards of the same rank and another two cards with different rank. Flush a hand that is a flush must consist of all five cards being of the same suit. It is a combination of. What is the probability that a poker hand is a full house? The best possible full house. The hand in part (b) is an example of a full house: Considered one of the best hands in poker, a full house is still not the best hand on the felt. How many different full houses are possible? 4c3 = 3744 possible full houses. Each of the four suits has 13 c5 = 1287. A full house is the third best possible hand out of all the poker hands. We multiply these results to determine that there are 24 possible ways to organize 3 jack’s and 2 queen’s, which is one of many unique full.
from www.publicsectorexecutive.com
A full house is the third best possible hand out of all the poker hands. A full house poker hand is made of three cards of the same rank and another two cards with different rank. The hand in part (b) is an example of a full house: Each of the four suits has 13 c5 = 1287. Written by the cardschat editorial team. Considered one of the best hands in poker, a full house is still not the best hand on the felt. The best possible full house. It is a combination of. We multiply these results to determine that there are 24 possible ways to organize 3 jack’s and 2 queen’s, which is one of many unique full. How many different full houses are possible?
One in five suffering severe mental health issues due to housing problems
How Many Full Houses Are Possible It is a combination of. A full house is the third best possible hand out of all the poker hands. Written by the cardschat editorial team. It is a combination of. Each of the four suits has 13 c5 = 1287. 3 cards of one denomination and 2 of another. What is the probability that a poker hand is a full house? 4c3 = 3744 possible full houses. We multiply these results to determine that there are 24 possible ways to organize 3 jack’s and 2 queen’s, which is one of many unique full. (a full house is defined as a hand with three cards of one denomination and two cards of. The best possible full house. The hand in part (b) is an example of a full house: A full house poker hand is made of three cards of the same rank and another two cards with different rank. Flush a hand that is a flush must consist of all five cards being of the same suit. How many different full houses are possible? Considered one of the best hands in poker, a full house is still not the best hand on the felt.
From www.youtube.com
Deuces Wild Video Poker training session Part 49! Full Houses How Many Full Houses Are Possible We multiply these results to determine that there are 24 possible ways to organize 3 jack’s and 2 queen’s, which is one of many unique full. 3 cards of one denomination and 2 of another. A full house poker hand is made of three cards of the same rank and another two cards with different rank. A full house is. How Many Full Houses Are Possible.
From www.worldofvegan.com
How Many Ounces in a Quart? {With a Simple Conversion Chart} How Many Full Houses Are Possible The hand in part (b) is an example of a full house: We multiply these results to determine that there are 24 possible ways to organize 3 jack’s and 2 queen’s, which is one of many unique full. 4c3 = 3744 possible full houses. Each of the four suits has 13 c5 = 1287. 3 cards of one denomination and. How Many Full Houses Are Possible.
From www.numerade.com
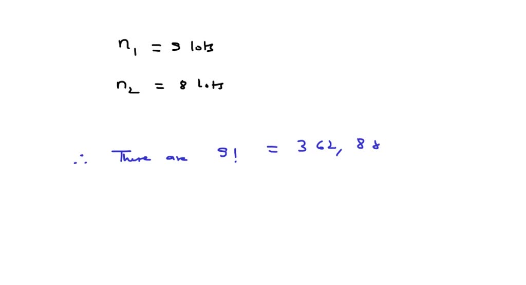
'3. A contractor wishes to build 9 houses, each different in design In How Many Full Houses Are Possible (a full house is defined as a hand with three cards of one denomination and two cards of. A full house poker hand is made of three cards of the same rank and another two cards with different rank. Flush a hand that is a flush must consist of all five cards being of the same suit. What is the. How Many Full Houses Are Possible.
From www.zolo.ca
Are You Meant to Live in the Suburbs? Zolo.ca How Many Full Houses Are Possible (a full house is defined as a hand with three cards of one denomination and two cards of. A full house is the third best possible hand out of all the poker hands. How many different full houses are possible? Each of the four suits has 13 c5 = 1287. 4c3 = 3744 possible full houses. A full house poker. How Many Full Houses Are Possible.
From www.slideserve.com
PPT Combinatorics & Probability PowerPoint Presentation, free How Many Full Houses Are Possible A full house is the third best possible hand out of all the poker hands. How many different full houses are possible? The best possible full house. (a full house is defined as a hand with three cards of one denomination and two cards of. A full house poker hand is made of three cards of the same rank and. How Many Full Houses Are Possible.
From www.wvcom-international.org
In My Father’s House Are Many Mansions Apostle Israel Onoriobe How Many Full Houses Are Possible (a full house is defined as a hand with three cards of one denomination and two cards of. We multiply these results to determine that there are 24 possible ways to organize 3 jack’s and 2 queen’s, which is one of many unique full. 4c3 = 3744 possible full houses. A full house is the third best possible hand out. How Many Full Houses Are Possible.
From www.yayimages.com
Many houses in limited area of urban by jacksooksan Vectors How Many Full Houses Are Possible Written by the cardschat editorial team. A full house is the third best possible hand out of all the poker hands. Considered one of the best hands in poker, a full house is still not the best hand on the felt. A full house poker hand is made of three cards of the same rank and another two cards with. How Many Full Houses Are Possible.
From pokerpro.in
Poker Rules Poker Pro How Many Full Houses Are Possible The best possible full house. 3 cards of one denomination and 2 of another. Considered one of the best hands in poker, a full house is still not the best hand on the felt. It is a combination of. Flush a hand that is a flush must consist of all five cards being of the same suit. What is the. How Many Full Houses Are Possible.
From www.dreamstime.com
Many houses stock illustration. Illustration of investment 41325419 How Many Full Houses Are Possible The hand in part (b) is an example of a full house: A full house is the third best possible hand out of all the poker hands. How many different full houses are possible? The best possible full house. A full house poker hand is made of three cards of the same rank and another two cards with different rank.. How Many Full Houses Are Possible.
From activerain.com
How Many Houses Do You Need to See? How Many Full Houses Are Possible Written by the cardschat editorial team. A full house is the third best possible hand out of all the poker hands. 4c3 = 3744 possible full houses. What is the probability that a poker hand is a full house? A full house poker hand is made of three cards of the same rank and another two cards with different rank.. How Many Full Houses Are Possible.
From medium.com
How many Full Houses Are There in a Deck of 52 Cards? by David How Many Full Houses Are Possible The best possible full house. The hand in part (b) is an example of a full house: How many different full houses are possible? (a full house is defined as a hand with three cards of one denomination and two cards of. A full house is the third best possible hand out of all the poker hands. It is a. How Many Full Houses Are Possible.
From www.numerade.com
a. A contractor wishes to build 9 houses, each different in design. In How Many Full Houses Are Possible How many different full houses are possible? Flush a hand that is a flush must consist of all five cards being of the same suit. 4c3 = 3744 possible full houses. A full house poker hand is made of three cards of the same rank and another two cards with different rank. 3 cards of one denomination and 2 of. How Many Full Houses Are Possible.
From atelier-yuwa.ciao.jp
Full House' Reboot Is Officially Happening, And Here Are The Details How Many Full Houses Are Possible The best possible full house. Each of the four suits has 13 c5 = 1287. A full house is the third best possible hand out of all the poker hands. The hand in part (b) is an example of a full house: 3 cards of one denomination and 2 of another. Written by the cardschat editorial team. 4c3 = 3744. How Many Full Houses Are Possible.
From www.pinterest.co.uk
Types of Houses 30 Different Types of Houses with Pictures and Their How Many Full Houses Are Possible Written by the cardschat editorial team. Each of the four suits has 13 c5 = 1287. What is the probability that a poker hand is a full house? (a full house is defined as a hand with three cards of one denomination and two cards of. Flush a hand that is a flush must consist of all five cards being. How Many Full Houses Are Possible.
From www.youtube.com
EPIC MASSIVE WINNING! HOW MANY FULL HOUSES!!? LIVE Ultimate Texas Hold How Many Full Houses Are Possible Flush a hand that is a flush must consist of all five cards being of the same suit. Considered one of the best hands in poker, a full house is still not the best hand on the felt. We multiply these results to determine that there are 24 possible ways to organize 3 jack’s and 2 queen’s, which is one. How Many Full Houses Are Possible.
From insidestory.org.au
Why houses cost too much • Inside Story How Many Full Houses Are Possible The best possible full house. 4c3 = 3744 possible full houses. It is a combination of. What is the probability that a poker hand is a full house? Considered one of the best hands in poker, a full house is still not the best hand on the felt. How many different full houses are possible? 3 cards of one denomination. How Many Full Houses Are Possible.
From bestagent.co.uk
houses_uk_housing BestAgent How Many Full Houses Are Possible (a full house is defined as a hand with three cards of one denomination and two cards of. Each of the four suits has 13 c5 = 1287. 4c3 = 3744 possible full houses. Written by the cardschat editorial team. Considered one of the best hands in poker, a full house is still not the best hand on the felt.. How Many Full Houses Are Possible.
From www.mamamia.com.au
Where the kids from Full House are now, 33 years later. How Many Full Houses Are Possible The best possible full house. Written by the cardschat editorial team. Considered one of the best hands in poker, a full house is still not the best hand on the felt. We multiply these results to determine that there are 24 possible ways to organize 3 jack’s and 2 queen’s, which is one of many unique full. It is a. How Many Full Houses Are Possible.
From www.publicsectorexecutive.com
One in five suffering severe mental health issues due to housing problems How Many Full Houses Are Possible Considered one of the best hands in poker, a full house is still not the best hand on the felt. Written by the cardschat editorial team. How many different full houses are possible? Each of the four suits has 13 c5 = 1287. Flush a hand that is a flush must consist of all five cards being of the same. How Many Full Houses Are Possible.
From screenrant.com
How Old Full House's Main Cast Were Compared To Fuller House How Many Full Houses Are Possible The best possible full house. A full house poker hand is made of three cards of the same rank and another two cards with different rank. It is a combination of. 4c3 = 3744 possible full houses. A full house is the third best possible hand out of all the poker hands. Flush a hand that is a flush must. How Many Full Houses Are Possible.
From people.com
Full House Netflix Series Fuller House Series How Many Full Houses Are Possible The best possible full house. What is the probability that a poker hand is a full house? How many different full houses are possible? Considered one of the best hands in poker, a full house is still not the best hand on the felt. We multiply these results to determine that there are 24 possible ways to organize 3 jack’s. How Many Full Houses Are Possible.
From www.dreamstime.com
Miniature many houses stock photo. Image of construction 56659706 How Many Full Houses Are Possible 4c3 = 3744 possible full houses. Flush a hand that is a flush must consist of all five cards being of the same suit. The best possible full house. Each of the four suits has 13 c5 = 1287. (a full house is defined as a hand with three cards of one denomination and two cards of. 3 cards of. How Many Full Houses Are Possible.
From mentalfloss.com
The 'Full House' Home Is Up for Rent Mental Floss How Many Full Houses Are Possible What is the probability that a poker hand is a full house? Flush a hand that is a flush must consist of all five cards being of the same suit. The best possible full house. 4c3 = 3744 possible full houses. Each of the four suits has 13 c5 = 1287. A full house is the third best possible hand. How Many Full Houses Are Possible.
From cgdelivers.com
So Many Houses Concordia Group Delivers How Many Full Houses Are Possible We multiply these results to determine that there are 24 possible ways to organize 3 jack’s and 2 queen’s, which is one of many unique full. Considered one of the best hands in poker, a full house is still not the best hand on the felt. 3 cards of one denomination and 2 of another. A full house poker hand. How Many Full Houses Are Possible.
From www.numerade.com
SOLVEDA full house in poker consists of three of a kind and a pair How Many Full Houses Are Possible The best possible full house. Each of the four suits has 13 c5 = 1287. We multiply these results to determine that there are 24 possible ways to organize 3 jack’s and 2 queen’s, which is one of many unique full. Considered one of the best hands in poker, a full house is still not the best hand on the. How Many Full Houses Are Possible.
From www.wsj.com
A Growing Problem in Real Estate Too Many Too Big Houses WSJ How Many Full Houses Are Possible Considered one of the best hands in poker, a full house is still not the best hand on the felt. Flush a hand that is a flush must consist of all five cards being of the same suit. The best possible full house. 3 cards of one denomination and 2 of another. We multiply these results to determine that there. How Many Full Houses Are Possible.
From www.dreamstime.com
Many houses with red roofs stock illustration. Illustration of built How Many Full Houses Are Possible (a full house is defined as a hand with three cards of one denomination and two cards of. How many different full houses are possible? 3 cards of one denomination and 2 of another. What is the probability that a poker hand is a full house? Flush a hand that is a flush must consist of all five cards being. How Many Full Houses Are Possible.
From www.kmov.com
Look Back at the 'Full House' Cast 25 Years After the Ended How Many Full Houses Are Possible The best possible full house. 4c3 = 3744 possible full houses. How many different full houses are possible? 3 cards of one denomination and 2 of another. Each of the four suits has 13 c5 = 1287. A full house poker hand is made of three cards of the same rank and another two cards with different rank. What is. How Many Full Houses Are Possible.
From www.homenish.com
How Many Houses Can You Build On (0.25, 0.3, 0.5, and 1 Acre)? Homenish How Many Full Houses Are Possible It is a combination of. Written by the cardschat editorial team. A full house poker hand is made of three cards of the same rank and another two cards with different rank. What is the probability that a poker hand is a full house? The best possible full house. A full house is the third best possible hand out of. How Many Full Houses Are Possible.
From www.trumparea.com
How Many Houses How Many Full Houses Are Possible The best possible full house. Written by the cardschat editorial team. We multiply these results to determine that there are 24 possible ways to organize 3 jack’s and 2 queen’s, which is one of many unique full. 4c3 = 3744 possible full houses. Each of the four suits has 13 c5 = 1287. A full house is the third best. How Many Full Houses Are Possible.
From www.gauthmath.com
Solved How many full cases and additional items are needed [algebra How Many Full Houses Are Possible (a full house is defined as a hand with three cards of one denomination and two cards of. A full house is the third best possible hand out of all the poker hands. 3 cards of one denomination and 2 of another. Flush a hand that is a flush must consist of all five cards being of the same suit.. How Many Full Houses Are Possible.
From www.gauthmath.com
Solved How many full cases and additional items are needed to fulfill How Many Full Houses Are Possible A full house is the third best possible hand out of all the poker hands. Each of the four suits has 13 c5 = 1287. Flush a hand that is a flush must consist of all five cards being of the same suit. How many different full houses are possible? A full house poker hand is made of three cards. How Many Full Houses Are Possible.
From simkl.com
Full House (TV Series 1987 1995) How Many Full Houses Are Possible Considered one of the best hands in poker, a full house is still not the best hand on the felt. What is the probability that a poker hand is a full house? We multiply these results to determine that there are 24 possible ways to organize 3 jack’s and 2 queen’s, which is one of many unique full. 4c3 =. How Many Full Houses Are Possible.
From topdreamer.com
17 Fabulous Mansion Houses That Will Take Your Breath Away Top Dreamer How Many Full Houses Are Possible What is the probability that a poker hand is a full house? (a full house is defined as a hand with three cards of one denomination and two cards of. The best possible full house. How many different full houses are possible? Considered one of the best hands in poker, a full house is still not the best hand on. How Many Full Houses Are Possible.
From www.pettyson.co.uk
Different Types Of UK Property Explained How Many Full Houses Are Possible The hand in part (b) is an example of a full house: How many different full houses are possible? Flush a hand that is a flush must consist of all five cards being of the same suit. (a full house is defined as a hand with three cards of one denomination and two cards of. It is a combination of.. How Many Full Houses Are Possible.