Candle Energy Equation . Candles these days are commonly made out of paraffine, which is basically $\mathrm{c_{many}h_{many}}$. When you burn a candle, you end up with less wax after burning than you started with. In this investigation, students will study the rate of burning of a candle as a function of the mass of the candle and as a function of the concentration, or partial pressure of o 2 (g). All waxes are essentially hydrocarbons, which means they are largely composed of hydrogen (h) and carbon (c) atoms. In a candle, the chemical potential energy stored within the wax's molecular bonds is converted into other forms of energy when the wax burns. Chemical energy of the candle wax is converted to light energy and heat energy. When you light a candle, the heat of the flame melts the. Chemical reaction of a burning candle: Energy is released as the bonds in the candle wax molecules and oxygen molecules break. This is because the wax oxidizes or burns to yield. Some of the energy remains in the chemical bonds of.
from slideplayer.com
Some of the energy remains in the chemical bonds of. Candles these days are commonly made out of paraffine, which is basically $\mathrm{c_{many}h_{many}}$. In this investigation, students will study the rate of burning of a candle as a function of the mass of the candle and as a function of the concentration, or partial pressure of o 2 (g). Chemical reaction of a burning candle: Chemical energy of the candle wax is converted to light energy and heat energy. All waxes are essentially hydrocarbons, which means they are largely composed of hydrogen (h) and carbon (c) atoms. When you light a candle, the heat of the flame melts the. In a candle, the chemical potential energy stored within the wax's molecular bonds is converted into other forms of energy when the wax burns. When you burn a candle, you end up with less wax after burning than you started with. This is because the wax oxidizes or burns to yield.
Cosmology How big is the Universe. ppt download
Candle Energy Equation In this investigation, students will study the rate of burning of a candle as a function of the mass of the candle and as a function of the concentration, or partial pressure of o 2 (g). Chemical energy of the candle wax is converted to light energy and heat energy. This is because the wax oxidizes or burns to yield. In a candle, the chemical potential energy stored within the wax's molecular bonds is converted into other forms of energy when the wax burns. All waxes are essentially hydrocarbons, which means they are largely composed of hydrogen (h) and carbon (c) atoms. In this investigation, students will study the rate of burning of a candle as a function of the mass of the candle and as a function of the concentration, or partial pressure of o 2 (g). Energy is released as the bonds in the candle wax molecules and oxygen molecules break. When you light a candle, the heat of the flame melts the. Chemical reaction of a burning candle: Candles these days are commonly made out of paraffine, which is basically $\mathrm{c_{many}h_{many}}$. When you burn a candle, you end up with less wax after burning than you started with. Some of the energy remains in the chemical bonds of.
From www.teachoo.com
Structure of a Candle Flame 3 Zones and their hotness Teachoo Candle Energy Equation In a candle, the chemical potential energy stored within the wax's molecular bonds is converted into other forms of energy when the wax burns. In this investigation, students will study the rate of burning of a candle as a function of the mass of the candle and as a function of the concentration, or partial pressure of o 2 (g).. Candle Energy Equation.
From www.dreamstime.com
Burning Candle, Lack of Energy. Stock Photo Image of crisis, burning Candle Energy Equation All waxes are essentially hydrocarbons, which means they are largely composed of hydrogen (h) and carbon (c) atoms. Energy is released as the bonds in the candle wax molecules and oxygen molecules break. Some of the energy remains in the chemical bonds of. This is because the wax oxidizes or burns to yield. Chemical energy of the candle wax is. Candle Energy Equation.
From www.numerade.com
SOLVED A candle is 18 inches tall after burning for 3 hours. After 5 Candle Energy Equation In a candle, the chemical potential energy stored within the wax's molecular bonds is converted into other forms of energy when the wax burns. All waxes are essentially hydrocarbons, which means they are largely composed of hydrogen (h) and carbon (c) atoms. Some of the energy remains in the chemical bonds of. Energy is released as the bonds in the. Candle Energy Equation.
From www.youtube.com
Graph Length of Burning Candle and Model Using Linear Equation YouTube Candle Energy Equation All waxes are essentially hydrocarbons, which means they are largely composed of hydrogen (h) and carbon (c) atoms. Candles these days are commonly made out of paraffine, which is basically $\mathrm{c_{many}h_{many}}$. Chemical energy of the candle wax is converted to light energy and heat energy. In this investigation, students will study the rate of burning of a candle as a. Candle Energy Equation.
From learningarticlez.blogspot.com
The Chemical Change in a Candle Learning Articles Candle Energy Equation Candles these days are commonly made out of paraffine, which is basically $\mathrm{c_{many}h_{many}}$. When you burn a candle, you end up with less wax after burning than you started with. Energy is released as the bonds in the candle wax molecules and oxygen molecules break. In this investigation, students will study the rate of burning of a candle as a. Candle Energy Equation.
From tapintoteenminds.com
Candle's Burning 3 Act Math Task Correlation & Predictions Candle Energy Equation Chemical energy of the candle wax is converted to light energy and heat energy. All waxes are essentially hydrocarbons, which means they are largely composed of hydrogen (h) and carbon (c) atoms. When you burn a candle, you end up with less wax after burning than you started with. In a candle, the chemical potential energy stored within the wax's. Candle Energy Equation.
From tangledrootsherbal.com
The Power of Candle Magic Tangled Roots Herbal Candle Energy Equation Chemical reaction of a burning candle: In a candle, the chemical potential energy stored within the wax's molecular bonds is converted into other forms of energy when the wax burns. Candles these days are commonly made out of paraffine, which is basically $\mathrm{c_{many}h_{many}}$. Some of the energy remains in the chemical bonds of. Chemical energy of the candle wax is. Candle Energy Equation.
From brainly.com
A 7 inch candle burns at a rate of 2 inches per hour. Which equation Candle Energy Equation Some of the energy remains in the chemical bonds of. Candles these days are commonly made out of paraffine, which is basically $\mathrm{c_{many}h_{many}}$. Chemical reaction of a burning candle: When you light a candle, the heat of the flame melts the. In a candle, the chemical potential energy stored within the wax's molecular bonds is converted into other forms of. Candle Energy Equation.
From www.ingridscience.ca
Candle heat pinwheel ingridscience.ca Candle Energy Equation Some of the energy remains in the chemical bonds of. In this investigation, students will study the rate of burning of a candle as a function of the mass of the candle and as a function of the concentration, or partial pressure of o 2 (g). Energy is released as the bonds in the candle wax molecules and oxygen molecules. Candle Energy Equation.
From www.ingridscience.ca
Candle chemistry (wax combustion) ingridscience.ca Candle Energy Equation All waxes are essentially hydrocarbons, which means they are largely composed of hydrogen (h) and carbon (c) atoms. Some of the energy remains in the chemical bonds of. When you light a candle, the heat of the flame melts the. In this investigation, students will study the rate of burning of a candle as a function of the mass of. Candle Energy Equation.
From slideplayer.com
Cosmology How big is the Universe. ppt download Candle Energy Equation This is because the wax oxidizes or burns to yield. Candles these days are commonly made out of paraffine, which is basically $\mathrm{c_{many}h_{many}}$. In a candle, the chemical potential energy stored within the wax's molecular bonds is converted into other forms of energy when the wax burns. Some of the energy remains in the chemical bonds of. In this investigation,. Candle Energy Equation.
From www.nsta.org
Understanding Chemical and Physical Changes NSTA Candle Energy Equation Energy is released as the bonds in the candle wax molecules and oxygen molecules break. Candles these days are commonly made out of paraffine, which is basically $\mathrm{c_{many}h_{many}}$. In this investigation, students will study the rate of burning of a candle as a function of the mass of the candle and as a function of the concentration, or partial pressure. Candle Energy Equation.
From www.slideshare.net
light a candle science task Candle Energy Equation When you burn a candle, you end up with less wax after burning than you started with. In a candle, the chemical potential energy stored within the wax's molecular bonds is converted into other forms of energy when the wax burns. This is because the wax oxidizes or burns to yield. Chemical energy of the candle wax is converted to. Candle Energy Equation.
From www.kandlesbykash.com
Candle Cheat Sheet Candle Formula Candle Testing How To Make Candle Energy Equation When you burn a candle, you end up with less wax after burning than you started with. Chemical reaction of a burning candle: All waxes are essentially hydrocarbons, which means they are largely composed of hydrogen (h) and carbon (c) atoms. This is because the wax oxidizes or burns to yield. Chemical energy of the candle wax is converted to. Candle Energy Equation.
From www.mdpi.com
Energies Free FullText A Review of Energy Loss Reduction Candle Energy Equation Candles these days are commonly made out of paraffine, which is basically $\mathrm{c_{many}h_{many}}$. All waxes are essentially hydrocarbons, which means they are largely composed of hydrogen (h) and carbon (c) atoms. This is because the wax oxidizes or burns to yield. When you light a candle, the heat of the flame melts the. Chemical energy of the candle wax is. Candle Energy Equation.
From www.gauthmath.com
Solved 4./Burning Candles, Part 2 Consider the following graph for a Candle Energy Equation Candles these days are commonly made out of paraffine, which is basically $\mathrm{c_{many}h_{many}}$. Some of the energy remains in the chemical bonds of. In a candle, the chemical potential energy stored within the wax's molecular bonds is converted into other forms of energy when the wax burns. When you burn a candle, you end up with less wax after burning. Candle Energy Equation.
From www.numerade.com
SOLVED Why are burning candles and rusting nails examples of chemical Candle Energy Equation This is because the wax oxidizes or burns to yield. Chemical reaction of a burning candle: In a candle, the chemical potential energy stored within the wax's molecular bonds is converted into other forms of energy when the wax burns. Energy is released as the bonds in the candle wax molecules and oxygen molecules break. In this investigation, students will. Candle Energy Equation.
From www.chegg.com
A Burning Candle The FisherKolmogorov equation is a Candle Energy Equation Candles these days are commonly made out of paraffine, which is basically $\mathrm{c_{many}h_{many}}$. Chemical energy of the candle wax is converted to light energy and heat energy. Energy is released as the bonds in the candle wax molecules and oxygen molecules break. All waxes are essentially hydrocarbons, which means they are largely composed of hydrogen (h) and carbon (c) atoms.. Candle Energy Equation.
From inchemistry.acs.org
Shining a Light on Candles inChemistry Candle Energy Equation In this investigation, students will study the rate of burning of a candle as a function of the mass of the candle and as a function of the concentration, or partial pressure of o 2 (g). Energy is released as the bonds in the candle wax molecules and oxygen molecules break. Chemical reaction of a burning candle: When you burn. Candle Energy Equation.
From www.ingridscience.ca
Candle chemistry (wax combustion) ingridscience.ca Candle Energy Equation In a candle, the chemical potential energy stored within the wax's molecular bonds is converted into other forms of energy when the wax burns. When you burn a candle, you end up with less wax after burning than you started with. Chemical energy of the candle wax is converted to light energy and heat energy. All waxes are essentially hydrocarbons,. Candle Energy Equation.
From nairobinews.nation.africa
Friday blackout update List of counties to be hit by power outages Candle Energy Equation In this investigation, students will study the rate of burning of a candle as a function of the mass of the candle and as a function of the concentration, or partial pressure of o 2 (g). When you light a candle, the heat of the flame melts the. In a candle, the chemical potential energy stored within the wax's molecular. Candle Energy Equation.
From www.ingridscience.ca
Candle chemistry (wax combustion) ingridscience.ca Candle Energy Equation This is because the wax oxidizes or burns to yield. Some of the energy remains in the chemical bonds of. All waxes are essentially hydrocarbons, which means they are largely composed of hydrogen (h) and carbon (c) atoms. In a candle, the chemical potential energy stored within the wax's molecular bonds is converted into other forms of energy when the. Candle Energy Equation.
From www.craiyon.com
Candle burning in remembrance Candle Energy Equation All waxes are essentially hydrocarbons, which means they are largely composed of hydrogen (h) and carbon (c) atoms. This is because the wax oxidizes or burns to yield. Candles these days are commonly made out of paraffine, which is basically $\mathrm{c_{many}h_{many}}$. When you burn a candle, you end up with less wax after burning than you started with. When you. Candle Energy Equation.
From www.pinterest.com
Six Ways to Use Candle Energy Yoga store, Homemade remedies, Pure Candle Energy Equation In a candle, the chemical potential energy stored within the wax's molecular bonds is converted into other forms of energy when the wax burns. Some of the energy remains in the chemical bonds of. Candles these days are commonly made out of paraffine, which is basically $\mathrm{c_{many}h_{many}}$. Chemical reaction of a burning candle: When you burn a candle, you end. Candle Energy Equation.
From www.sciencefacts.net
Thermal Radiation Definition, Examples, and Formula Candle Energy Equation Chemical reaction of a burning candle: Energy is released as the bonds in the candle wax molecules and oxygen molecules break. Some of the energy remains in the chemical bonds of. Chemical energy of the candle wax is converted to light energy and heat energy. When you light a candle, the heat of the flame melts the. All waxes are. Candle Energy Equation.
From www.youtube.com
Candle Energy 💮 YouTube Candle Energy Equation In this investigation, students will study the rate of burning of a candle as a function of the mass of the candle and as a function of the concentration, or partial pressure of o 2 (g). This is because the wax oxidizes or burns to yield. Chemical reaction of a burning candle: Energy is released as the bonds in the. Candle Energy Equation.
From scholarsark.com
What Form Of Energy Is Transformed In A Burning Candle? Scholars Ark Candle Energy Equation When you burn a candle, you end up with less wax after burning than you started with. In a candle, the chemical potential energy stored within the wax's molecular bonds is converted into other forms of energy when the wax burns. Chemical energy of the candle wax is converted to light energy and heat energy. Chemical reaction of a burning. Candle Energy Equation.
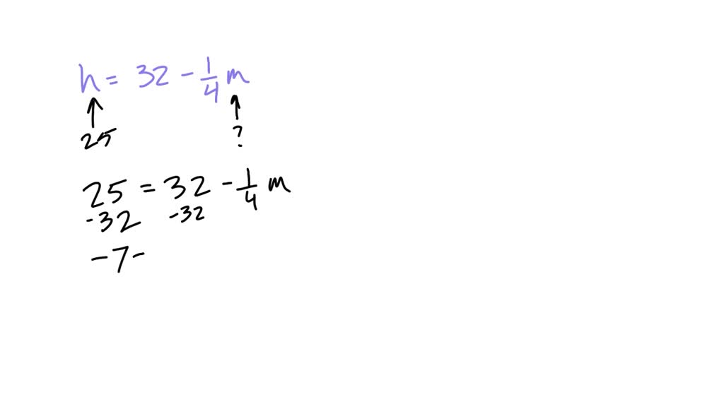
From www.numerade.com
SOLVED The equation shown models the height of a 32inch candle after Candle Energy Equation Chemical energy of the candle wax is converted to light energy and heat energy. When you burn a candle, you end up with less wax after burning than you started with. In this investigation, students will study the rate of burning of a candle as a function of the mass of the candle and as a function of the concentration,. Candle Energy Equation.
From www.youtube.com
IS BURNING OF CANDLE A CHEMICAL CHANGE OR A PHYSICAL CHANGE? YouTube Candle Energy Equation Chemical energy of the candle wax is converted to light energy and heat energy. All waxes are essentially hydrocarbons, which means they are largely composed of hydrogen (h) and carbon (c) atoms. When you light a candle, the heat of the flame melts the. Chemical reaction of a burning candle: When you burn a candle, you end up with less. Candle Energy Equation.
From www.chemistryviews.org
The Science Behind Candles ChemistryViews Candle Energy Equation In a candle, the chemical potential energy stored within the wax's molecular bonds is converted into other forms of energy when the wax burns. In this investigation, students will study the rate of burning of a candle as a function of the mass of the candle and as a function of the concentration, or partial pressure of o 2 (g).. Candle Energy Equation.
From energy-models.com
Lighting (NASA) Candle Energy Equation In this investigation, students will study the rate of burning of a candle as a function of the mass of the candle and as a function of the concentration, or partial pressure of o 2 (g). When you light a candle, the heat of the flame melts the. Chemical reaction of a burning candle: This is because the wax oxidizes. Candle Energy Equation.
From cclchapter.com
Class 8 Science Important Questions 202021 CCL Chapter Candle Energy Equation Candles these days are commonly made out of paraffine, which is basically $\mathrm{c_{many}h_{many}}$. Chemical reaction of a burning candle: All waxes are essentially hydrocarbons, which means they are largely composed of hydrogen (h) and carbon (c) atoms. When you light a candle, the heat of the flame melts the. Chemical energy of the candle wax is converted to light energy. Candle Energy Equation.
From www.shutterstock.com
Burning Old Candle Energy Supply Problems Stock Photo 2247665003 Candle Energy Equation This is because the wax oxidizes or burns to yield. In this investigation, students will study the rate of burning of a candle as a function of the mass of the candle and as a function of the concentration, or partial pressure of o 2 (g). When you light a candle, the heat of the flame melts the. In a. Candle Energy Equation.
From aqadgetcont.weebly.com
Candleformula Candle Energy Equation In a candle, the chemical potential energy stored within the wax's molecular bonds is converted into other forms of energy when the wax burns. Chemical reaction of a burning candle: Energy is released as the bonds in the candle wax molecules and oxygen molecules break. All waxes are essentially hydrocarbons, which means they are largely composed of hydrogen (h) and. Candle Energy Equation.
From www.dreamstime.com
Candle Light Infographic with Approximate Estimate of Energy and Candle Energy Equation When you burn a candle, you end up with less wax after burning than you started with. Some of the energy remains in the chemical bonds of. Chemical energy of the candle wax is converted to light energy and heat energy. In a candle, the chemical potential energy stored within the wax's molecular bonds is converted into other forms of. Candle Energy Equation.