What Happened To The Boiling Point Of Water When Sucrose Is Added To It . A chemical change produces new chemical products. Isomerization and polymerization then take place. As it occurs, water is removed from the carbohydrate. If you add salt to water, you raise the boiling point, or the temperature at which water boils. What has really happened to it? Adding sugar to water increases the boiling point. When sugar is added to hot water and stirred, it seems to disappear. When the attraction between water molecules and sucrose molecules overcomes the attraction the sucrose molecules have to other. Dissolving sugar in water is an example of a physical change. It is easily possible that some of this dimer disassociates into its constituent parts when in solution, increasing the number of. A change in boiling point can also occur when impurities, such as salt or sugar, are added to the water. The temperature needed to boil will. Adding 1 gram of sugar, or any other substance that does not create ions, increases.
from www.numerade.com
Adding sugar to water increases the boiling point. What has really happened to it? Dissolving sugar in water is an example of a physical change. When sugar is added to hot water and stirred, it seems to disappear. It is easily possible that some of this dimer disassociates into its constituent parts when in solution, increasing the number of. Isomerization and polymerization then take place. As it occurs, water is removed from the carbohydrate. Adding 1 gram of sugar, or any other substance that does not create ions, increases. The temperature needed to boil will. When the attraction between water molecules and sucrose molecules overcomes the attraction the sucrose molecules have to other.
SOLVED The boiling point elevation of an aqueous sucrose solution is
What Happened To The Boiling Point Of Water When Sucrose Is Added To It When sugar is added to hot water and stirred, it seems to disappear. Isomerization and polymerization then take place. It is easily possible that some of this dimer disassociates into its constituent parts when in solution, increasing the number of. Adding 1 gram of sugar, or any other substance that does not create ions, increases. A chemical change produces new chemical products. If you add salt to water, you raise the boiling point, or the temperature at which water boils. The temperature needed to boil will. When sugar is added to hot water and stirred, it seems to disappear. Dissolving sugar in water is an example of a physical change. When the attraction between water molecules and sucrose molecules overcomes the attraction the sucrose molecules have to other. What has really happened to it? Adding sugar to water increases the boiling point. As it occurs, water is removed from the carbohydrate. A change in boiling point can also occur when impurities, such as salt or sugar, are added to the water.
From sciencenotes.org
Boiling Point of Water What Temperature Does Water Boil? What Happened To The Boiling Point Of Water When Sucrose Is Added To It As it occurs, water is removed from the carbohydrate. Isomerization and polymerization then take place. Adding 1 gram of sugar, or any other substance that does not create ions, increases. The temperature needed to boil will. Adding sugar to water increases the boiling point. It is easily possible that some of this dimer disassociates into its constituent parts when in. What Happened To The Boiling Point Of Water When Sucrose Is Added To It.
From www.youtube.com
Equation for C12H22O11 + H2O (Sucrose + Water) YouTube What Happened To The Boiling Point Of Water When Sucrose Is Added To It Isomerization and polymerization then take place. As it occurs, water is removed from the carbohydrate. It is easily possible that some of this dimer disassociates into its constituent parts when in solution, increasing the number of. When the attraction between water molecules and sucrose molecules overcomes the attraction the sucrose molecules have to other. Dissolving sugar in water is an. What Happened To The Boiling Point Of Water When Sucrose Is Added To It.
From www.numerade.com
SOLVED Cowboy coffee" is prepared by adding coffee grounds to boiling What Happened To The Boiling Point Of Water When Sucrose Is Added To It If you add salt to water, you raise the boiling point, or the temperature at which water boils. Adding sugar to water increases the boiling point. The temperature needed to boil will. As it occurs, water is removed from the carbohydrate. When the attraction between water molecules and sucrose molecules overcomes the attraction the sucrose molecules have to other. Isomerization. What Happened To The Boiling Point Of Water When Sucrose Is Added To It.
From www.researchgate.net
Sucrose composition as a function of boiling point Download Table What Happened To The Boiling Point Of Water When Sucrose Is Added To It It is easily possible that some of this dimer disassociates into its constituent parts when in solution, increasing the number of. If you add salt to water, you raise the boiling point, or the temperature at which water boils. As it occurs, water is removed from the carbohydrate. Adding sugar to water increases the boiling point. The temperature needed to. What Happened To The Boiling Point Of Water When Sucrose Is Added To It.
From www.toppr.com
Boiling point of water at 750 mm Hg is 99.63^∘ C . How much sucrose is What Happened To The Boiling Point Of Water When Sucrose Is Added To It Dissolving sugar in water is an example of a physical change. If you add salt to water, you raise the boiling point, or the temperature at which water boils. Adding 1 gram of sugar, or any other substance that does not create ions, increases. When the attraction between water molecules and sucrose molecules overcomes the attraction the sucrose molecules have. What Happened To The Boiling Point Of Water When Sucrose Is Added To It.
From www.toppr.com
Boiling point of water at 750 mm Hg is 99.63^∘ C . How much sucrose is What Happened To The Boiling Point Of Water When Sucrose Is Added To It It is easily possible that some of this dimer disassociates into its constituent parts when in solution, increasing the number of. As it occurs, water is removed from the carbohydrate. Adding 1 gram of sugar, or any other substance that does not create ions, increases. A change in boiling point can also occur when impurities, such as salt or sugar,. What Happened To The Boiling Point Of Water When Sucrose Is Added To It.
From askfilo.com
12 What is the boiling point of 0.5 molal aqueous solution of sucrose if What Happened To The Boiling Point Of Water When Sucrose Is Added To It As it occurs, water is removed from the carbohydrate. A chemical change produces new chemical products. Isomerization and polymerization then take place. When sugar is added to hot water and stirred, it seems to disappear. If you add salt to water, you raise the boiling point, or the temperature at which water boils. Dissolving sugar in water is an example. What Happened To The Boiling Point Of Water When Sucrose Is Added To It.
From brainly.in
Boiling point of water at 750 mm hg is 99.63°c. how much sucrose is to What Happened To The Boiling Point Of Water When Sucrose Is Added To It As it occurs, water is removed from the carbohydrate. A change in boiling point can also occur when impurities, such as salt or sugar, are added to the water. Adding 1 gram of sugar, or any other substance that does not create ions, increases. It is easily possible that some of this dimer disassociates into its constituent parts when in. What Happened To The Boiling Point Of Water When Sucrose Is Added To It.
From brainly.in
boiling point of water at 750mm of hg is 99.562how much sucrose is to What Happened To The Boiling Point Of Water When Sucrose Is Added To It Isomerization and polymerization then take place. What has really happened to it? Adding 1 gram of sugar, or any other substance that does not create ions, increases. A change in boiling point can also occur when impurities, such as salt or sugar, are added to the water. As it occurs, water is removed from the carbohydrate. It is easily possible. What Happened To The Boiling Point Of Water When Sucrose Is Added To It.
From www.numerade.com
SOLVED For a 0.50 molal solution of sucrose in water, calculate the What Happened To The Boiling Point Of Water When Sucrose Is Added To It If you add salt to water, you raise the boiling point, or the temperature at which water boils. A chemical change produces new chemical products. What has really happened to it? When the attraction between water molecules and sucrose molecules overcomes the attraction the sucrose molecules have to other. Dissolving sugar in water is an example of a physical change.. What Happened To The Boiling Point Of Water When Sucrose Is Added To It.
From askfilo.com
2.10. Boiling point of water at 750 mmHg is 99,63∘C. How much sucrose is What Happened To The Boiling Point Of Water When Sucrose Is Added To It A chemical change produces new chemical products. When the attraction between water molecules and sucrose molecules overcomes the attraction the sucrose molecules have to other. Dissolving sugar in water is an example of a physical change. Isomerization and polymerization then take place. Adding sugar to water increases the boiling point. The temperature needed to boil will. It is easily possible. What Happened To The Boiling Point Of Water When Sucrose Is Added To It.
From www.numerade.com
SOLVED Two moles of sucrose are dissolved in 8 moles of water. Assume What Happened To The Boiling Point Of Water When Sucrose Is Added To It The temperature needed to boil will. Isomerization and polymerization then take place. A change in boiling point can also occur when impurities, such as salt or sugar, are added to the water. A chemical change produces new chemical products. As it occurs, water is removed from the carbohydrate. Adding 1 gram of sugar, or any other substance that does not. What Happened To The Boiling Point Of Water When Sucrose Is Added To It.
From www.numerade.com
SOLVED Part A. What is the boiling point of a solution made using 733 What Happened To The Boiling Point Of Water When Sucrose Is Added To It Isomerization and polymerization then take place. It is easily possible that some of this dimer disassociates into its constituent parts when in solution, increasing the number of. If you add salt to water, you raise the boiling point, or the temperature at which water boils. The temperature needed to boil will. When the attraction between water molecules and sucrose molecules. What Happened To The Boiling Point Of Water When Sucrose Is Added To It.
From www.numerade.com
SOLVED Experiment 1 Effect of Solutes on the Boiling and Freezing What Happened To The Boiling Point Of Water When Sucrose Is Added To It When the attraction between water molecules and sucrose molecules overcomes the attraction the sucrose molecules have to other. Isomerization and polymerization then take place. The temperature needed to boil will. Dissolving sugar in water is an example of a physical change. Adding sugar to water increases the boiling point. A chemical change produces new chemical products. A change in boiling. What Happened To The Boiling Point Of Water When Sucrose Is Added To It.
From www.numerade.com
SOLVED An aqueous sucrose solution (342.30 g/mol) has a boiling point What Happened To The Boiling Point Of Water When Sucrose Is Added To It A chemical change produces new chemical products. It is easily possible that some of this dimer disassociates into its constituent parts when in solution, increasing the number of. Adding 1 gram of sugar, or any other substance that does not create ions, increases. As it occurs, water is removed from the carbohydrate. If you add salt to water, you raise. What Happened To The Boiling Point Of Water When Sucrose Is Added To It.
From www.youtube.com
Boiling point of water at 750mm Hg is 99.63oC. How much sucrose is to What Happened To The Boiling Point Of Water When Sucrose Is Added To It If you add salt to water, you raise the boiling point, or the temperature at which water boils. Adding sugar to water increases the boiling point. When sugar is added to hot water and stirred, it seems to disappear. Dissolving sugar in water is an example of a physical change. Isomerization and polymerization then take place. A change in boiling. What Happened To The Boiling Point Of Water When Sucrose Is Added To It.
From www.learnatnoon.com
The boiling point of water and alcohol explained Noon Academy What Happened To The Boiling Point Of Water When Sucrose Is Added To It When sugar is added to hot water and stirred, it seems to disappear. It is easily possible that some of this dimer disassociates into its constituent parts when in solution, increasing the number of. Isomerization and polymerization then take place. When the attraction between water molecules and sucrose molecules overcomes the attraction the sucrose molecules have to other. As it. What Happened To The Boiling Point Of Water When Sucrose Is Added To It.
From www.toppr.com
Boiling point of water at 750 mm Hg is 99.63^∘ C . How much sucrose is What Happened To The Boiling Point Of Water When Sucrose Is Added To It A change in boiling point can also occur when impurities, such as salt or sugar, are added to the water. What has really happened to it? A chemical change produces new chemical products. Adding 1 gram of sugar, or any other substance that does not create ions, increases. As it occurs, water is removed from the carbohydrate. It is easily. What Happened To The Boiling Point Of Water When Sucrose Is Added To It.
From www.youtube.com
If for the sucrose solution elevation in boiling point is `0.1^ YouTube What Happened To The Boiling Point Of Water When Sucrose Is Added To It The temperature needed to boil will. A change in boiling point can also occur when impurities, such as salt or sugar, are added to the water. When the attraction between water molecules and sucrose molecules overcomes the attraction the sucrose molecules have to other. What has really happened to it? It is easily possible that some of this dimer disassociates. What Happened To The Boiling Point Of Water When Sucrose Is Added To It.
From www.toppr.com
The boiling point of a solution containing 68.4 g of sucrose (molar What Happened To The Boiling Point Of Water When Sucrose Is Added To It It is easily possible that some of this dimer disassociates into its constituent parts when in solution, increasing the number of. If you add salt to water, you raise the boiling point, or the temperature at which water boils. When sugar is added to hot water and stirred, it seems to disappear. A change in boiling point can also occur. What Happened To The Boiling Point Of Water When Sucrose Is Added To It.
From www.numerade.com
SOLVED What is the boiling point of a solution of 115.0 g of sucrose What Happened To The Boiling Point Of Water When Sucrose Is Added To It When sugar is added to hot water and stirred, it seems to disappear. A chemical change produces new chemical products. The temperature needed to boil will. A change in boiling point can also occur when impurities, such as salt or sugar, are added to the water. What has really happened to it? Adding 1 gram of sugar, or any other. What Happened To The Boiling Point Of Water When Sucrose Is Added To It.
From www.numerade.com
SOLVED The boiling point elevation of an aqueous sucrose solution is What Happened To The Boiling Point Of Water When Sucrose Is Added To It A chemical change produces new chemical products. As it occurs, water is removed from the carbohydrate. Adding sugar to water increases the boiling point. Isomerization and polymerization then take place. The temperature needed to boil will. It is easily possible that some of this dimer disassociates into its constituent parts when in solution, increasing the number of. If you add. What Happened To The Boiling Point Of Water When Sucrose Is Added To It.
From facts.net
20 Fascinating Facts About Boiling Point Elevation What Happened To The Boiling Point Of Water When Sucrose Is Added To It Adding 1 gram of sugar, or any other substance that does not create ions, increases. Isomerization and polymerization then take place. A change in boiling point can also occur when impurities, such as salt or sugar, are added to the water. Dissolving sugar in water is an example of a physical change. Adding sugar to water increases the boiling point.. What Happened To The Boiling Point Of Water When Sucrose Is Added To It.
From www.youtube.com
Boiling point of water at 750 mm Hg is 99.63°C. How much sucrose is to What Happened To The Boiling Point Of Water When Sucrose Is Added To It What has really happened to it? A chemical change produces new chemical products. The temperature needed to boil will. A change in boiling point can also occur when impurities, such as salt or sugar, are added to the water. If you add salt to water, you raise the boiling point, or the temperature at which water boils. Isomerization and polymerization. What Happened To The Boiling Point Of Water When Sucrose Is Added To It.
From www.toppr.com
Boiling point of water at 750 mm Hg is 99.63^∘ C . How much sucrose is What Happened To The Boiling Point Of Water When Sucrose Is Added To It As it occurs, water is removed from the carbohydrate. The temperature needed to boil will. When sugar is added to hot water and stirred, it seems to disappear. A chemical change produces new chemical products. It is easily possible that some of this dimer disassociates into its constituent parts when in solution, increasing the number of. Isomerization and polymerization then. What Happened To The Boiling Point Of Water When Sucrose Is Added To It.
From brainly.in
If 4.27 grams of sucrose, C12H22O11, are dissolved in 15.2 grams of What Happened To The Boiling Point Of Water When Sucrose Is Added To It A chemical change produces new chemical products. Adding 1 gram of sugar, or any other substance that does not create ions, increases. When the attraction between water molecules and sucrose molecules overcomes the attraction the sucrose molecules have to other. When sugar is added to hot water and stirred, it seems to disappear. What has really happened to it? If. What Happened To The Boiling Point Of Water When Sucrose Is Added To It.
From www.youtube.com
Ncert Solution intext 2.10 Boiling point of water at 750 mm Hg is What Happened To The Boiling Point Of Water When Sucrose Is Added To It Adding sugar to water increases the boiling point. The temperature needed to boil will. What has really happened to it? Dissolving sugar in water is an example of a physical change. As it occurs, water is removed from the carbohydrate. Adding 1 gram of sugar, or any other substance that does not create ions, increases. A change in boiling point. What Happened To The Boiling Point Of Water When Sucrose Is Added To It.
From www.toppr.com
The boiling point of a solution containing 68.4 g of sucrose (molar What Happened To The Boiling Point Of Water When Sucrose Is Added To It When sugar is added to hot water and stirred, it seems to disappear. If you add salt to water, you raise the boiling point, or the temperature at which water boils. Dissolving sugar in water is an example of a physical change. A chemical change produces new chemical products. It is easily possible that some of this dimer disassociates into. What Happened To The Boiling Point Of Water When Sucrose Is Added To It.
From www.toppr.com
Boiling point of water at 750 mm Hg is 99.63^∘ C . How much sucrose is What Happened To The Boiling Point Of Water When Sucrose Is Added To It What has really happened to it? Adding 1 gram of sugar, or any other substance that does not create ions, increases. It is easily possible that some of this dimer disassociates into its constituent parts when in solution, increasing the number of. A change in boiling point can also occur when impurities, such as salt or sugar, are added to. What Happened To The Boiling Point Of Water When Sucrose Is Added To It.
From www.meritnation.com
The boiling point of water at 750 mm Hg is 96 63 C How much sucrose is What Happened To The Boiling Point Of Water When Sucrose Is Added To It Isomerization and polymerization then take place. A chemical change produces new chemical products. The temperature needed to boil will. Adding sugar to water increases the boiling point. If you add salt to water, you raise the boiling point, or the temperature at which water boils. A change in boiling point can also occur when impurities, such as salt or sugar,. What Happened To The Boiling Point Of Water When Sucrose Is Added To It.
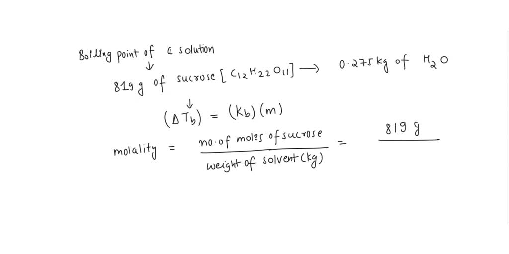
From www.numerade.com
SOLVED What is the boiling point of a solution made using 819 g of What Happened To The Boiling Point Of Water When Sucrose Is Added To It A chemical change produces new chemical products. If you add salt to water, you raise the boiling point, or the temperature at which water boils. Dissolving sugar in water is an example of a physical change. The temperature needed to boil will. Adding sugar to water increases the boiling point. When sugar is added to hot water and stirred, it. What Happened To The Boiling Point Of Water When Sucrose Is Added To It.
From www.numerade.com
SOLVEDThe boiling point of water at 749.2 mmHg is 99.60^∘ C What mass What Happened To The Boiling Point Of Water When Sucrose Is Added To It It is easily possible that some of this dimer disassociates into its constituent parts when in solution, increasing the number of. When the attraction between water molecules and sucrose molecules overcomes the attraction the sucrose molecules have to other. If you add salt to water, you raise the boiling point, or the temperature at which water boils. A chemical change. What Happened To The Boiling Point Of Water When Sucrose Is Added To It.
From www.transtutors.com
(Get Answer) Dissolving Sucrose In Water Will Result In A) A Decrease What Happened To The Boiling Point Of Water When Sucrose Is Added To It The temperature needed to boil will. A change in boiling point can also occur when impurities, such as salt or sugar, are added to the water. When sugar is added to hot water and stirred, it seems to disappear. Adding sugar to water increases the boiling point. Isomerization and polymerization then take place. Adding 1 gram of sugar, or any. What Happened To The Boiling Point Of Water When Sucrose Is Added To It.
From www.numerade.com
If 0.0125 mol of sucrose, C12H22O11, are dissolved in 15.2 grams of What Happened To The Boiling Point Of Water When Sucrose Is Added To It If you add salt to water, you raise the boiling point, or the temperature at which water boils. When the attraction between water molecules and sucrose molecules overcomes the attraction the sucrose molecules have to other. Adding sugar to water increases the boiling point. A change in boiling point can also occur when impurities, such as salt or sugar, are. What Happened To The Boiling Point Of Water When Sucrose Is Added To It.
From www.toppr.com
The boiling point of a solution containing 68.4 g of sucrose (molar What Happened To The Boiling Point Of Water When Sucrose Is Added To It The temperature needed to boil will. Dissolving sugar in water is an example of a physical change. Adding 1 gram of sugar, or any other substance that does not create ions, increases. As it occurs, water is removed from the carbohydrate. If you add salt to water, you raise the boiling point, or the temperature at which water boils. A. What Happened To The Boiling Point Of Water When Sucrose Is Added To It.