The Spring Balance Is Calibrated In Newtons . Spring balances can give instant weighing results in grams and newtons. A spring balance can be calibrated for the accurate measurement of mass in the location in which they are used, but many spring balances. Also known as a spring balance or newton meter, this device is used primarily to weigh items or. The newton spring balance uses a law known as hooke’s law to relate the spring extension to the force being measured. They are commonly used to measure the force exerted on an object. It consists of a coiled spring attached. A spring balance (or newton meter) is a type of weighing scale. The spring scale definition means a tool for measuring weight or force. A spring balance is a type of weighing scale that uses a spring to measure weight. The ideal tool for basic force measurement experiments in classrooms or labs. The reason it is called a “newton” spring balance is because the spring balance has been calibrated to measure force in newtons. For one, understanding frictional force and learning about hooke’s law.
from ubicaciondepersonas.cdmx.gob.mx
The spring scale definition means a tool for measuring weight or force. They are commonly used to measure the force exerted on an object. A spring balance can be calibrated for the accurate measurement of mass in the location in which they are used, but many spring balances. A spring balance (or newton meter) is a type of weighing scale. The newton spring balance uses a law known as hooke’s law to relate the spring extension to the force being measured. The reason it is called a “newton” spring balance is because the spring balance has been calibrated to measure force in newtons. Spring balances can give instant weighing results in grams and newtons. A spring balance is a type of weighing scale that uses a spring to measure weight. For one, understanding frictional force and learning about hooke’s law. It consists of a coiled spring attached.
Newton Meter Force Meter Dynamometer Spring Balance Physics Lab
The Spring Balance Is Calibrated In Newtons A spring balance (or newton meter) is a type of weighing scale. For one, understanding frictional force and learning about hooke’s law. A spring balance can be calibrated for the accurate measurement of mass in the location in which they are used, but many spring balances. The reason it is called a “newton” spring balance is because the spring balance has been calibrated to measure force in newtons. A spring balance (or newton meter) is a type of weighing scale. It consists of a coiled spring attached. The newton spring balance uses a law known as hooke’s law to relate the spring extension to the force being measured. The spring scale definition means a tool for measuring weight or force. Spring balances can give instant weighing results in grams and newtons. They are commonly used to measure the force exerted on an object. The ideal tool for basic force measurement experiments in classrooms or labs. Also known as a spring balance or newton meter, this device is used primarily to weigh items or. A spring balance is a type of weighing scale that uses a spring to measure weight.
From www.advance-africa.com
Physics Notes Form 2 Free Download KCSE Revision Notes PDF The Spring Balance Is Calibrated In Newtons The newton spring balance uses a law known as hooke’s law to relate the spring extension to the force being measured. A spring balance can be calibrated for the accurate measurement of mass in the location in which they are used, but many spring balances. The ideal tool for basic force measurement experiments in classrooms or labs. A spring balance. The Spring Balance Is Calibrated In Newtons.
From ubicaciondepersonas.cdmx.gob.mx
Newton Meter Force Meter Dynamometer Spring Balance Physics Lab The Spring Balance Is Calibrated In Newtons For one, understanding frictional force and learning about hooke’s law. The newton spring balance uses a law known as hooke’s law to relate the spring extension to the force being measured. A spring balance is a type of weighing scale that uses a spring to measure weight. It consists of a coiled spring attached. The ideal tool for basic force. The Spring Balance Is Calibrated In Newtons.
From www.doubtnut.com
The spring balance (calibrated in grams) shown in Fig. is used to meas The Spring Balance Is Calibrated In Newtons The reason it is called a “newton” spring balance is because the spring balance has been calibrated to measure force in newtons. A spring balance is a type of weighing scale that uses a spring to measure weight. A spring balance can be calibrated for the accurate measurement of mass in the location in which they are used, but many. The Spring Balance Is Calibrated In Newtons.
From askfilo.com
In the given diagram, reading of spring balance will be( g= 10 m/s∧2) In The Spring Balance Is Calibrated In Newtons The ideal tool for basic force measurement experiments in classrooms or labs. The reason it is called a “newton” spring balance is because the spring balance has been calibrated to measure force in newtons. A spring balance can be calibrated for the accurate measurement of mass in the location in which they are used, but many spring balances. Spring balances. The Spring Balance Is Calibrated In Newtons.
From www.numerade.com
SOLVED 'A spring balance is calibrated in an environment at a The Spring Balance Is Calibrated In Newtons It consists of a coiled spring attached. A spring balance can be calibrated for the accurate measurement of mass in the location in which they are used, but many spring balances. Spring balances can give instant weighing results in grams and newtons. The spring scale definition means a tool for measuring weight or force. The reason it is called a. The Spring Balance Is Calibrated In Newtons.
From www.calibrated.co.nz
Spring Balance Calibration The Spring Balance Is Calibrated In Newtons The reason it is called a “newton” spring balance is because the spring balance has been calibrated to measure force in newtons. The newton spring balance uses a law known as hooke’s law to relate the spring extension to the force being measured. A spring balance (or newton meter) is a type of weighing scale. The spring scale definition means. The Spring Balance Is Calibrated In Newtons.
From www.deltaed.co.nz
Spring Balance 050 +/ 1 Newton Delta Educational The Spring Balance Is Calibrated In Newtons The spring scale definition means a tool for measuring weight or force. For one, understanding frictional force and learning about hooke’s law. A spring balance is a type of weighing scale that uses a spring to measure weight. The reason it is called a “newton” spring balance is because the spring balance has been calibrated to measure force in newtons.. The Spring Balance Is Calibrated In Newtons.
From www.scorpiotechnology.com.au
Newton's Spring Balance 5N, 500g — Scorpio Technology The Spring Balance Is Calibrated In Newtons They are commonly used to measure the force exerted on an object. Spring balances can give instant weighing results in grams and newtons. The reason it is called a “newton” spring balance is because the spring balance has been calibrated to measure force in newtons. A spring balance (or newton meter) is a type of weighing scale. The ideal tool. The Spring Balance Is Calibrated In Newtons.
From www.amazon.in
SPRING BALANCE TUBULAR 500gm/5N (ACRYLIC) Amazon.in Industrial The Spring Balance Is Calibrated In Newtons Spring balances can give instant weighing results in grams and newtons. The newton spring balance uses a law known as hooke’s law to relate the spring extension to the force being measured. It consists of a coiled spring attached. The reason it is called a “newton” spring balance is because the spring balance has been calibrated to measure force in. The Spring Balance Is Calibrated In Newtons.
From edurev.in
To study the newtons third law of motion using two spring balance? For The Spring Balance Is Calibrated In Newtons The reason it is called a “newton” spring balance is because the spring balance has been calibrated to measure force in newtons. Also known as a spring balance or newton meter, this device is used primarily to weigh items or. The spring scale definition means a tool for measuring weight or force. It consists of a coiled spring attached. Spring. The Spring Balance Is Calibrated In Newtons.
From www.imsmalta.com
Spring Balance Force Meter IMS Ltd The Spring Balance Is Calibrated In Newtons A spring balance (or newton meter) is a type of weighing scale. A spring balance can be calibrated for the accurate measurement of mass in the location in which they are used, but many spring balances. The spring scale definition means a tool for measuring weight or force. The ideal tool for basic force measurement experiments in classrooms or labs.. The Spring Balance Is Calibrated In Newtons.
From physicscalculations.com
How to Use a Spring Balance The Spring Balance Is Calibrated In Newtons A spring balance can be calibrated for the accurate measurement of mass in the location in which they are used, but many spring balances. The ideal tool for basic force measurement experiments in classrooms or labs. The reason it is called a “newton” spring balance is because the spring balance has been calibrated to measure force in newtons. A spring. The Spring Balance Is Calibrated In Newtons.
From american-scientific.com
Pull Spring Scale Balance Dual Scale, 1 N/100 g American Scientific The Spring Balance Is Calibrated In Newtons The newton spring balance uses a law known as hooke’s law to relate the spring extension to the force being measured. A spring balance can be calibrated for the accurate measurement of mass in the location in which they are used, but many spring balances. The spring scale definition means a tool for measuring weight or force. It consists of. The Spring Balance Is Calibrated In Newtons.
From brainly.in
The system are in equilibrium. If the spring balance is calibrated in The Spring Balance Is Calibrated In Newtons A spring balance (or newton meter) is a type of weighing scale. The spring scale definition means a tool for measuring weight or force. Spring balances can give instant weighing results in grams and newtons. For one, understanding frictional force and learning about hooke’s law. Also known as a spring balance or newton meter, this device is used primarily to. The Spring Balance Is Calibrated In Newtons.
From www.homesciencetools.com
Spring scale, 1000 g/10 Newton The Spring Balance Is Calibrated In Newtons A spring balance is a type of weighing scale that uses a spring to measure weight. The spring scale definition means a tool for measuring weight or force. The reason it is called a “newton” spring balance is because the spring balance has been calibrated to measure force in newtons. Spring balances can give instant weighing results in grams and. The Spring Balance Is Calibrated In Newtons.
From www.alamy.com
A spring scale, spring balance or newton meter is a type of mechanical The Spring Balance Is Calibrated In Newtons The reason it is called a “newton” spring balance is because the spring balance has been calibrated to measure force in newtons. The newton spring balance uses a law known as hooke’s law to relate the spring extension to the force being measured. A spring balance (or newton meter) is a type of weighing scale. A spring balance can be. The Spring Balance Is Calibrated In Newtons.
From www.rapidonline.com
RVFM Spring Balance 1000g/10 Newton Rapid Online The Spring Balance Is Calibrated In Newtons A spring balance (or newton meter) is a type of weighing scale. They are commonly used to measure the force exerted on an object. The reason it is called a “newton” spring balance is because the spring balance has been calibrated to measure force in newtons. A spring balance can be calibrated for the accurate measurement of mass in the. The Spring Balance Is Calibrated In Newtons.
From www.paramhimalaya.com
Experiment To determine the density of solid ( Denser than water ) by The Spring Balance Is Calibrated In Newtons The reason it is called a “newton” spring balance is because the spring balance has been calibrated to measure force in newtons. For one, understanding frictional force and learning about hooke’s law. A spring balance can be calibrated for the accurate measurement of mass in the location in which they are used, but many spring balances. A spring balance is. The Spring Balance Is Calibrated In Newtons.
From www.numerade.com
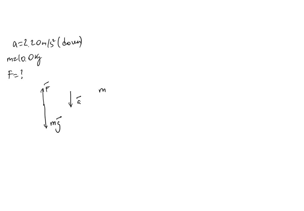
SOLVED You are riding an elevator that is accelerating downward at 2. The Spring Balance Is Calibrated In Newtons A spring balance can be calibrated for the accurate measurement of mass in the location in which they are used, but many spring balances. It consists of a coiled spring attached. A spring balance is a type of weighing scale that uses a spring to measure weight. The reason it is called a “newton” spring balance is because the spring. The Spring Balance Is Calibrated In Newtons.
From www.numerade.com
SOLVED The systems shown below are in equilibrium with m 5.50 kg and 0 The Spring Balance Is Calibrated In Newtons They are commonly used to measure the force exerted on an object. Also known as a spring balance or newton meter, this device is used primarily to weigh items or. The newton spring balance uses a law known as hooke’s law to relate the spring extension to the force being measured. The spring scale definition means a tool for measuring. The Spring Balance Is Calibrated In Newtons.
From exofpclgv.blob.core.windows.net
Spring Balance For Force at Aisha Villasenor blog The Spring Balance Is Calibrated In Newtons It consists of a coiled spring attached. The spring scale definition means a tool for measuring weight or force. A spring balance can be calibrated for the accurate measurement of mass in the location in which they are used, but many spring balances. Spring balances can give instant weighing results in grams and newtons. A spring balance is a type. The Spring Balance Is Calibrated In Newtons.
From www.bartleby.com
The systems shown in Figure P5.28 are in equilibrium. If the spring The Spring Balance Is Calibrated In Newtons For one, understanding frictional force and learning about hooke’s law. The newton spring balance uses a law known as hooke’s law to relate the spring extension to the force being measured. Spring balances can give instant weighing results in grams and newtons. The ideal tool for basic force measurement experiments in classrooms or labs. It consists of a coiled spring. The Spring Balance Is Calibrated In Newtons.
From www.chegg.com
Solved A spring balance is calibrated in an environment at a The Spring Balance Is Calibrated In Newtons It consists of a coiled spring attached. For one, understanding frictional force and learning about hooke’s law. A spring balance can be calibrated for the accurate measurement of mass in the location in which they are used, but many spring balances. Spring balances can give instant weighing results in grams and newtons. Also known as a spring balance or newton. The Spring Balance Is Calibrated In Newtons.
From www.numerade.com
Another very important force in engineering is the one caused by The Spring Balance Is Calibrated In Newtons The ideal tool for basic force measurement experiments in classrooms or labs. The newton spring balance uses a law known as hooke’s law to relate the spring extension to the force being measured. The spring scale definition means a tool for measuring weight or force. Also known as a spring balance or newton meter, this device is used primarily to. The Spring Balance Is Calibrated In Newtons.
From www.walmart.com
Premium Spring Balance, 0250g / 02.5N High Resolution, Dual The Spring Balance Is Calibrated In Newtons A spring balance is a type of weighing scale that uses a spring to measure weight. Spring balances can give instant weighing results in grams and newtons. The reason it is called a “newton” spring balance is because the spring balance has been calibrated to measure force in newtons. The ideal tool for basic force measurement experiments in classrooms or. The Spring Balance Is Calibrated In Newtons.
From www.chegg.com
Solved The systems shown below are in equilibrium with m = The Spring Balance Is Calibrated In Newtons They are commonly used to measure the force exerted on an object. For one, understanding frictional force and learning about hooke’s law. A spring balance is a type of weighing scale that uses a spring to measure weight. It consists of a coiled spring attached. Spring balances can give instant weighing results in grams and newtons. The reason it is. The Spring Balance Is Calibrated In Newtons.
From www.researchgate.net
Spring balance system calibrated with 20 grams weight. Download The Spring Balance Is Calibrated In Newtons Spring balances can give instant weighing results in grams and newtons. A spring balance is a type of weighing scale that uses a spring to measure weight. The reason it is called a “newton” spring balance is because the spring balance has been calibrated to measure force in newtons. It consists of a coiled spring attached. A spring balance can. The Spring Balance Is Calibrated In Newtons.
From www.walmart.com
Premium Spring Balance, 0500g / 05N High Resolution, Dual The Spring Balance Is Calibrated In Newtons A spring balance (or newton meter) is a type of weighing scale. Also known as a spring balance or newton meter, this device is used primarily to weigh items or. The ideal tool for basic force measurement experiments in classrooms or labs. The reason it is called a “newton” spring balance is because the spring balance has been calibrated to. The Spring Balance Is Calibrated In Newtons.
From www.chegg.com
Solved A 2.00 kg block hangs from a spring balance The Spring Balance Is Calibrated In Newtons A spring balance can be calibrated for the accurate measurement of mass in the location in which they are used, but many spring balances. It consists of a coiled spring attached. The spring scale definition means a tool for measuring weight or force. The ideal tool for basic force measurement experiments in classrooms or labs. The newton spring balance uses. The Spring Balance Is Calibrated In Newtons.
From www.teachoo.com
What is a spring balance? with its Least count Teachoo The Spring Balance Is Calibrated In Newtons It consists of a coiled spring attached. Spring balances can give instant weighing results in grams and newtons. For one, understanding frictional force and learning about hooke’s law. The spring scale definition means a tool for measuring weight or force. A spring balance (or newton meter) is a type of weighing scale. The ideal tool for basic force measurement experiments. The Spring Balance Is Calibrated In Newtons.
From brainly.in
In the given diagram, reading of spring balance will be (g = 10 m/s² The Spring Balance Is Calibrated In Newtons A spring balance (or newton meter) is a type of weighing scale. A spring balance can be calibrated for the accurate measurement of mass in the location in which they are used, but many spring balances. The ideal tool for basic force measurement experiments in classrooms or labs. The newton spring balance uses a law known as hooke’s law to. The Spring Balance Is Calibrated In Newtons.
From www.walmart.com
Premium Spring Balance, 0100g / 01N High Resolution, Dual The Spring Balance Is Calibrated In Newtons The reason it is called a “newton” spring balance is because the spring balance has been calibrated to measure force in newtons. The ideal tool for basic force measurement experiments in classrooms or labs. A spring balance can be calibrated for the accurate measurement of mass in the location in which they are used, but many spring balances. They are. The Spring Balance Is Calibrated In Newtons.
From www.pasco.com
Metric Spring Scale 10 N Range ME9512 Products PASCO The Spring Balance Is Calibrated In Newtons The newton spring balance uses a law known as hooke’s law to relate the spring extension to the force being measured. The spring scale definition means a tool for measuring weight or force. For one, understanding frictional force and learning about hooke’s law. Also known as a spring balance or newton meter, this device is used primarily to weigh items. The Spring Balance Is Calibrated In Newtons.
From sciencekitstore.com
Spring Scales / Newton Scales, Individual Scale The Spring Balance Is Calibrated In Newtons A spring balance can be calibrated for the accurate measurement of mass in the location in which they are used, but many spring balances. A spring balance (or newton meter) is a type of weighing scale. A spring balance is a type of weighing scale that uses a spring to measure weight. The newton spring balance uses a law known. The Spring Balance Is Calibrated In Newtons.
From www.walmart.com
Premium Spring Balance, 02000g / 020N High Resolution, Dual The Spring Balance Is Calibrated In Newtons The newton spring balance uses a law known as hooke’s law to relate the spring extension to the force being measured. They are commonly used to measure the force exerted on an object. The spring scale definition means a tool for measuring weight or force. A spring balance is a type of weighing scale that uses a spring to measure. The Spring Balance Is Calibrated In Newtons.