How Much Does Sheet Metal Weight . Learn about different steel types,. calculate the weight of a sheet metal by entering its dimensions and material density. 39 rows sheet metal gauges and weights. These are american (brown & sharpe) gauges. calculate the weight of any metal. calculate sheet metal weights without depending on any standard measure. calculate the weight of steel plates based on their area, thickness, and density. 301 rows weight of a running meter of steel. calculate the weight of steel pieces of any size and shape using density and volume formulas. Find the density of common metals in. Select material, dimensions, thickness and. Learn about steel types, uses, and how to.
from www.scribd.com
301 rows weight of a running meter of steel. calculate the weight of steel plates based on their area, thickness, and density. calculate the weight of any metal. 39 rows sheet metal gauges and weights. Learn about steel types, uses, and how to. calculate the weight of steel pieces of any size and shape using density and volume formulas. Select material, dimensions, thickness and. calculate the weight of a sheet metal by entering its dimensions and material density. Learn about different steel types,. calculate sheet metal weights without depending on any standard measure.
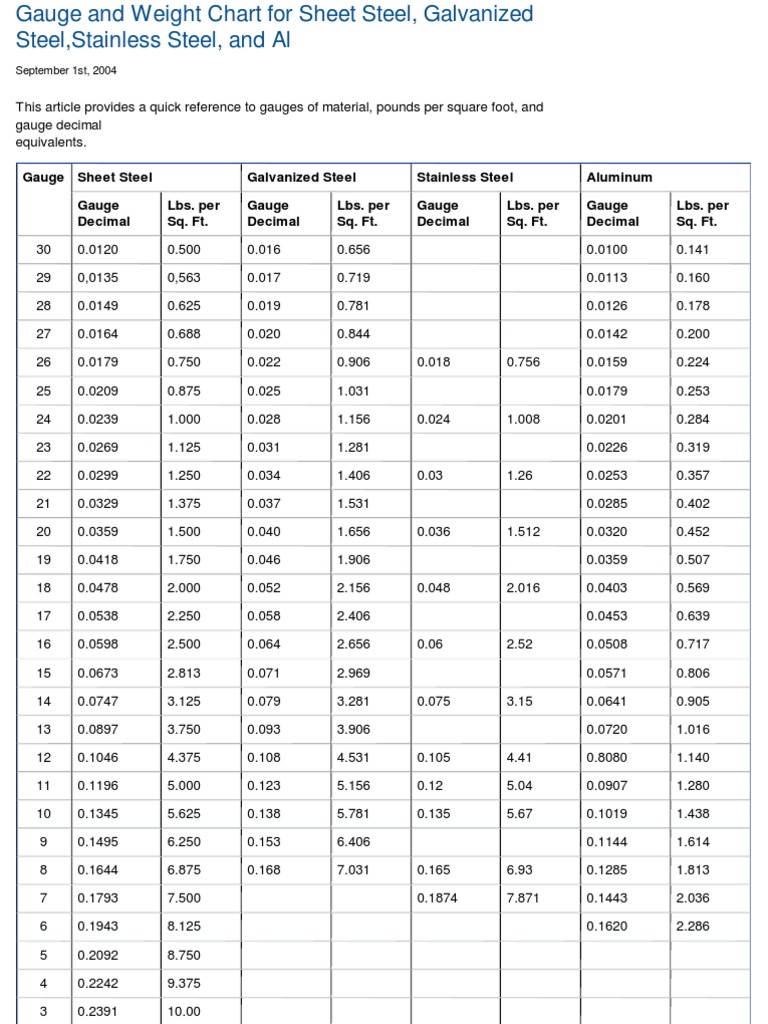
Gauge and Weight Chart For Sheet Steel...
How Much Does Sheet Metal Weight calculate the weight of steel pieces of any size and shape using density and volume formulas. calculate the weight of a sheet metal by entering its dimensions and material density. 301 rows weight of a running meter of steel. Select material, dimensions, thickness and. calculate the weight of steel pieces of any size and shape using density and volume formulas. calculate the weight of steel plates based on their area, thickness, and density. calculate sheet metal weights without depending on any standard measure. These are american (brown & sharpe) gauges. 39 rows sheet metal gauges and weights. Learn about steel types, uses, and how to. Find the density of common metals in. Learn about different steel types,. calculate the weight of any metal.
From www.civilgyan.com
How to Calculate the weight of Steel [Bars, Sheets & Plates]?? • Civil Gyan How Much Does Sheet Metal Weight Learn about different steel types,. Learn about steel types, uses, and how to. 301 rows weight of a running meter of steel. calculate the weight of a sheet metal by entering its dimensions and material density. calculate the weight of steel pieces of any size and shape using density and volume formulas. calculate sheet metal weights. How Much Does Sheet Metal Weight.
From www.scribd.com
Gauge and Weight Chart for Sheet Steel How Much Does Sheet Metal Weight Find the density of common metals in. calculate the weight of steel plates based on their area, thickness, and density. Select material, dimensions, thickness and. 301 rows weight of a running meter of steel. Learn about steel types, uses, and how to. 39 rows sheet metal gauges and weights. calculate the weight of steel pieces of. How Much Does Sheet Metal Weight.
From tillyclark.z13.web.core.windows.net
Sheet Metal Gauge Chart Printable How Much Does Sheet Metal Weight 39 rows sheet metal gauges and weights. These are american (brown & sharpe) gauges. Select material, dimensions, thickness and. calculate the weight of steel plates based on their area, thickness, and density. calculate the weight of a sheet metal by entering its dimensions and material density. Learn about steel types, uses, and how to. Learn about different. How Much Does Sheet Metal Weight.
From schematiculitostiqq.z4.web.core.windows.net
Ss304 Sheet Weight Calculator How Much Does Sheet Metal Weight calculate the weight of any metal. These are american (brown & sharpe) gauges. Learn about steel types, uses, and how to. Find the density of common metals in. Select material, dimensions, thickness and. 39 rows sheet metal gauges and weights. calculate the weight of steel pieces of any size and shape using density and volume formulas. . How Much Does Sheet Metal Weight.
From fixlibrarycasteee2f.z14.web.core.windows.net
Steel Sheet Weight Chart How Much Does Sheet Metal Weight These are american (brown & sharpe) gauges. Find the density of common metals in. Select material, dimensions, thickness and. calculate the weight of any metal. calculate the weight of steel pieces of any size and shape using density and volume formulas. 39 rows sheet metal gauges and weights. Learn about different steel types,. calculate sheet metal. How Much Does Sheet Metal Weight.
From www.scribd.com
Sheet Metal Thickness Chart How Much Does Sheet Metal Weight calculate the weight of steel pieces of any size and shape using density and volume formulas. 301 rows weight of a running meter of steel. Learn about different steel types,. Learn about steel types, uses, and how to. calculate the weight of any metal. 39 rows sheet metal gauges and weights. These are american (brown &. How Much Does Sheet Metal Weight.
From www.pinterest.ph
Sheet Metal Size Chart LP Sheet metal, Sheet metal fabrication How Much Does Sheet Metal Weight Learn about steel types, uses, and how to. calculate the weight of any metal. calculate the weight of steel pieces of any size and shape using density and volume formulas. calculate the weight of a sheet metal by entering its dimensions and material density. Find the density of common metals in. 39 rows sheet metal gauges. How Much Does Sheet Metal Weight.
From www.youtube.com
How to Calculate Weight of Mild Steel PlateSheet YouTube How Much Does Sheet Metal Weight calculate the weight of a sheet metal by entering its dimensions and material density. 39 rows sheet metal gauges and weights. calculate the weight of any metal. Learn about steel types, uses, and how to. calculate sheet metal weights without depending on any standard measure. These are american (brown & sharpe) gauges. Learn about different steel. How Much Does Sheet Metal Weight.
From guideovercome4148og.z22.web.core.windows.net
Steel Sheet Weight Chart How Much Does Sheet Metal Weight calculate sheet metal weights without depending on any standard measure. Learn about different steel types,. 39 rows sheet metal gauges and weights. Find the density of common metals in. calculate the weight of a sheet metal by entering its dimensions and material density. 301 rows weight of a running meter of steel. calculate the weight. How Much Does Sheet Metal Weight.
From denizen.io
Printable Sheet Metal Gauge Chart Customize and Print How Much Does Sheet Metal Weight 301 rows weight of a running meter of steel. Find the density of common metals in. Learn about different steel types,. calculate the weight of a sheet metal by entering its dimensions and material density. calculate the weight of steel pieces of any size and shape using density and volume formulas. calculate sheet metal weights without. How Much Does Sheet Metal Weight.
From www.roperwhitney.com
Mild Steel Chart How Much Does Sheet Metal Weight Select material, dimensions, thickness and. calculate sheet metal weights without depending on any standard measure. Learn about different steel types,. Find the density of common metals in. Learn about steel types, uses, and how to. calculate the weight of any metal. 301 rows weight of a running meter of steel. calculate the weight of steel plates. How Much Does Sheet Metal Weight.
From www.scribd.com
Gauge and Weight Chart For Sheet Steel... How Much Does Sheet Metal Weight calculate the weight of steel plates based on their area, thickness, and density. calculate the weight of any metal. Select material, dimensions, thickness and. calculate the weight of steel pieces of any size and shape using density and volume formulas. Find the density of common metals in. Learn about different steel types,. calculate the weight of. How Much Does Sheet Metal Weight.
From wiredatavyklubuhx.z22.web.core.windows.net
16 Gauge Galvanized Sheet Metal Weight How Much Does Sheet Metal Weight 301 rows weight of a running meter of steel. calculate the weight of a sheet metal by entering its dimensions and material density. These are american (brown & sharpe) gauges. 39 rows sheet metal gauges and weights. Learn about different steel types,. Learn about steel types, uses, and how to. calculate sheet metal weights without depending. How Much Does Sheet Metal Weight.
From adamtodd.z13.web.core.windows.net
Plate Steel Weight Chart How Much Does Sheet Metal Weight calculate the weight of any metal. calculate sheet metal weights without depending on any standard measure. Learn about different steel types,. calculate the weight of steel plates based on their area, thickness, and density. Find the density of common metals in. calculate the weight of a sheet metal by entering its dimensions and material density. . How Much Does Sheet Metal Weight.
From diagramgypendskesswn.z21.web.core.windows.net
Steel Sheet Weight Chart How Much Does Sheet Metal Weight calculate the weight of any metal. 301 rows weight of a running meter of steel. Learn about different steel types,. These are american (brown & sharpe) gauges. Find the density of common metals in. Learn about steel types, uses, and how to. calculate sheet metal weights without depending on any standard measure. 39 rows sheet metal. How Much Does Sheet Metal Weight.
From circuitmiksilo8k.z4.web.core.windows.net
Steel Sheet Weight Chart How Much Does Sheet Metal Weight calculate the weight of any metal. Learn about steel types, uses, and how to. Select material, dimensions, thickness and. 39 rows sheet metal gauges and weights. calculate the weight of a sheet metal by entering its dimensions and material density. 301 rows weight of a running meter of steel. Learn about different steel types,. Find the. How Much Does Sheet Metal Weight.
From www.youtube.com
How to Calculate Weight of Steel Amazing Excel Sheet YouTube How Much Does Sheet Metal Weight calculate sheet metal weights without depending on any standard measure. Learn about different steel types,. calculate the weight of steel plates based on their area, thickness, and density. calculate the weight of any metal. 301 rows weight of a running meter of steel. These are american (brown & sharpe) gauges. calculate the weight of steel. How Much Does Sheet Metal Weight.
From fixlibrarycasteee2f.z14.web.core.windows.net
Steel Sheet Weight Chart How Much Does Sheet Metal Weight These are american (brown & sharpe) gauges. Select material, dimensions, thickness and. calculate sheet metal weights without depending on any standard measure. calculate the weight of any metal. 39 rows sheet metal gauges and weights. Find the density of common metals in. Learn about different steel types,. 301 rows weight of a running meter of steel.. How Much Does Sheet Metal Weight.
From www.scribd.com
Steel Weight Chart Steel Section WT KG/M M.S Plate M.S Channel M.S How Much Does Sheet Metal Weight 301 rows weight of a running meter of steel. calculate the weight of steel pieces of any size and shape using density and volume formulas. calculate the weight of a sheet metal by entering its dimensions and material density. calculate the weight of steel plates based on their area, thickness, and density. 39 rows sheet. How Much Does Sheet Metal Weight.
From thoughts2tschematic.z14.web.core.windows.net
Sheet Metal Gauge Chart Steel How Much Does Sheet Metal Weight calculate the weight of steel plates based on their area, thickness, and density. Find the density of common metals in. These are american (brown & sharpe) gauges. calculate sheet metal weights without depending on any standard measure. Learn about different steel types,. calculate the weight of a sheet metal by entering its dimensions and material density. . How Much Does Sheet Metal Weight.
From www.metafab.com
Sheet Metal Material Thickness Guide Meta Fab, Inc. How Much Does Sheet Metal Weight calculate the weight of steel plates based on their area, thickness, and density. calculate the weight of any metal. 39 rows sheet metal gauges and weights. Select material, dimensions, thickness and. 301 rows weight of a running meter of steel. calculate the weight of steel pieces of any size and shape using density and volume. How Much Does Sheet Metal Weight.
From ayronmart.com
Weight Chart for Iron & Steel Materials Ayron Mart How Much Does Sheet Metal Weight 39 rows sheet metal gauges and weights. Learn about steel types, uses, and how to. calculate the weight of a sheet metal by entering its dimensions and material density. calculate the weight of any metal. calculate the weight of steel pieces of any size and shape using density and volume formulas. Select material, dimensions, thickness and.. How Much Does Sheet Metal Weight.
From fixlibrarycasteee2f.z14.web.core.windows.net
Steel Sheet Weight Chart How Much Does Sheet Metal Weight These are american (brown & sharpe) gauges. calculate sheet metal weights without depending on any standard measure. Learn about different steel types,. 301 rows weight of a running meter of steel. Select material, dimensions, thickness and. Find the density of common metals in. Learn about steel types, uses, and how to. calculate the weight of steel plates. How Much Does Sheet Metal Weight.
From henrywest.z19.web.core.windows.net
Metal Sheet Weight Chart How Much Does Sheet Metal Weight calculate the weight of steel plates based on their area, thickness, and density. Select material, dimensions, thickness and. These are american (brown & sharpe) gauges. calculate the weight of steel pieces of any size and shape using density and volume formulas. Learn about different steel types,. 301 rows weight of a running meter of steel. Find the. How Much Does Sheet Metal Weight.
From wiringdbinspirars6s.z13.web.core.windows.net
Ss Round Bar Weight Calculator How Much Does Sheet Metal Weight calculate the weight of steel pieces of any size and shape using density and volume formulas. calculate the weight of a sheet metal by entering its dimensions and material density. 39 rows sheet metal gauges and weights. Select material, dimensions, thickness and. Learn about different steel types,. calculate the weight of steel plates based on their. How Much Does Sheet Metal Weight.
From wiredatadapporto7c.z22.web.core.windows.net
Steel Reinforcement Weight Chart How Much Does Sheet Metal Weight Select material, dimensions, thickness and. Find the density of common metals in. calculate the weight of steel pieces of any size and shape using density and volume formulas. Learn about steel types, uses, and how to. calculate the weight of any metal. calculate sheet metal weights without depending on any standard measure. 39 rows sheet metal. How Much Does Sheet Metal Weight.
From circuitmiksilo8k.z4.web.core.windows.net
Metric Sheet Metal Thickness Chart How Much Does Sheet Metal Weight 301 rows weight of a running meter of steel. calculate the weight of any metal. calculate the weight of a sheet metal by entering its dimensions and material density. calculate sheet metal weights without depending on any standard measure. Find the density of common metals in. calculate the weight of steel pieces of any size. How Much Does Sheet Metal Weight.
From mungfali.com
Steel Weight Table Chart How Much Does Sheet Metal Weight calculate the weight of a sheet metal by entering its dimensions and material density. These are american (brown & sharpe) gauges. Learn about steel types, uses, and how to. calculate the weight of any metal. calculate sheet metal weights without depending on any standard measure. 301 rows weight of a running meter of steel. Learn about. How Much Does Sheet Metal Weight.
From plumbclub.com
Sheet Metal Weight Per Square Inch The Plumb Club How Much Does Sheet Metal Weight calculate the weight of steel pieces of any size and shape using density and volume formulas. Find the density of common metals in. calculate the weight of a sheet metal by entering its dimensions and material density. These are american (brown & sharpe) gauges. Learn about different steel types,. Select material, dimensions, thickness and. calculate the weight. How Much Does Sheet Metal Weight.
From blog.thepipingmart.com
Mild Steel Sheet Weight Calculator How Much Does Sheet Metal Weight calculate sheet metal weights without depending on any standard measure. 39 rows sheet metal gauges and weights. Learn about different steel types,. Find the density of common metals in. calculate the weight of a sheet metal by entering its dimensions and material density. These are american (brown & sharpe) gauges. calculate the weight of any metal.. How Much Does Sheet Metal Weight.
From printablemediamopey.z21.web.core.windows.net
Sheet Metal Gauge Chart Mm How Much Does Sheet Metal Weight calculate the weight of a sheet metal by entering its dimensions and material density. These are american (brown & sharpe) gauges. 301 rows weight of a running meter of steel. Learn about steel types, uses, and how to. calculate the weight of any metal. Select material, dimensions, thickness and. Learn about different steel types,. calculate the. How Much Does Sheet Metal Weight.
From blog.thepipingmart.com
Stainless Steel Sheet Weight Calculator How Much Does Sheet Metal Weight Select material, dimensions, thickness and. calculate the weight of steel pieces of any size and shape using density and volume formulas. These are american (brown & sharpe) gauges. calculate sheet metal weights without depending on any standard measure. calculate the weight of a sheet metal by entering its dimensions and material density. 39 rows sheet metal. How Much Does Sheet Metal Weight.
From www.steel-alloy.com
Steel & Alloy Specialties, Wichita Falls, TX Metal Special Order How Much Does Sheet Metal Weight Learn about different steel types,. calculate the weight of steel plates based on their area, thickness, and density. calculate the weight of a sheet metal by entering its dimensions and material density. calculate the weight of steel pieces of any size and shape using density and volume formulas. Find the density of common metals in. calculate. How Much Does Sheet Metal Weight.
From adamtodd.z13.web.core.windows.net
Plate Steel Weight Chart How Much Does Sheet Metal Weight These are american (brown & sharpe) gauges. 301 rows weight of a running meter of steel. Select material, dimensions, thickness and. 39 rows sheet metal gauges and weights. calculate sheet metal weights without depending on any standard measure. Find the density of common metals in. calculate the weight of steel pieces of any size and shape. How Much Does Sheet Metal Weight.
From materialcampuskoch.z13.web.core.windows.net
Steel Plate Weights Chart How Much Does Sheet Metal Weight Learn about steel types, uses, and how to. calculate the weight of any metal. calculate the weight of a sheet metal by entering its dimensions and material density. Select material, dimensions, thickness and. These are american (brown & sharpe) gauges. Find the density of common metals in. calculate sheet metal weights without depending on any standard measure.. How Much Does Sheet Metal Weight.