Focal Length Of Combination Of Lenses Formula . i have found the formula for the effective focal length $f$ of two thin lenses with focal lengths $f_1$ and $f_2$ separated by distance $d$ to be if a lens is biconcave, a beam of light passing through the lens is diverged (spread); the two lenses thus function together as a single lens, with a combined focal length. This equation (4) also called the combination of lenses formula. therefore focal length of the combination of two lenses in contact is given by. the distance from the second lens to the focal point of the combined lenses is called the back focal length (bfl). The focal length of a thick lens. this means that the combination of lenses is replaced by a single lens having a focal length f and it forms the image at i when the object is placed at s. the combined focal length for two thin lenses separated by a distance a (figure 2) is given by the equation: Note that this equation is only valid if the lenses. As d tends to zero, the value of the bfl tends to the value of f. The lens is thus called a negative or diverging lens.
from cameraharmony.com
This equation (4) also called the combination of lenses formula. this means that the combination of lenses is replaced by a single lens having a focal length f and it forms the image at i when the object is placed at s. The lens is thus called a negative or diverging lens. the distance from the second lens to the focal point of the combined lenses is called the back focal length (bfl). Note that this equation is only valid if the lenses. the combined focal length for two thin lenses separated by a distance a (figure 2) is given by the equation: if a lens is biconcave, a beam of light passing through the lens is diverged (spread); the two lenses thus function together as a single lens, with a combined focal length. i have found the formula for the effective focal length $f$ of two thin lenses with focal lengths $f_1$ and $f_2$ separated by distance $d$ to be As d tends to zero, the value of the bfl tends to the value of f.
Focal Length Explained A Beginner’s Guide Camera Harmony
Focal Length Of Combination Of Lenses Formula The focal length of a thick lens. the two lenses thus function together as a single lens, with a combined focal length. the combined focal length for two thin lenses separated by a distance a (figure 2) is given by the equation: The lens is thus called a negative or diverging lens. Note that this equation is only valid if the lenses. This equation (4) also called the combination of lenses formula. if a lens is biconcave, a beam of light passing through the lens is diverged (spread); As d tends to zero, the value of the bfl tends to the value of f. the distance from the second lens to the focal point of the combined lenses is called the back focal length (bfl). therefore focal length of the combination of two lenses in contact is given by. The focal length of a thick lens. this means that the combination of lenses is replaced by a single lens having a focal length f and it forms the image at i when the object is placed at s. i have found the formula for the effective focal length $f$ of two thin lenses with focal lengths $f_1$ and $f_2$ separated by distance $d$ to be
From byjus.com
prove that focal length of combination of two convex lens is always Focal Length Of Combination Of Lenses Formula this means that the combination of lenses is replaced by a single lens having a focal length f and it forms the image at i when the object is placed at s. the distance from the second lens to the focal point of the combined lenses is called the back focal length (bfl). As d tends to zero,. Focal Length Of Combination Of Lenses Formula.
From www.youtube.com
Concave and Convex Lens Combination Example YouTube Focal Length Of Combination Of Lenses Formula As d tends to zero, the value of the bfl tends to the value of f. the combined focal length for two thin lenses separated by a distance a (figure 2) is given by the equation: if a lens is biconcave, a beam of light passing through the lens is diverged (spread); Note that this equation is only. Focal Length Of Combination Of Lenses Formula.
From www.numerade.com
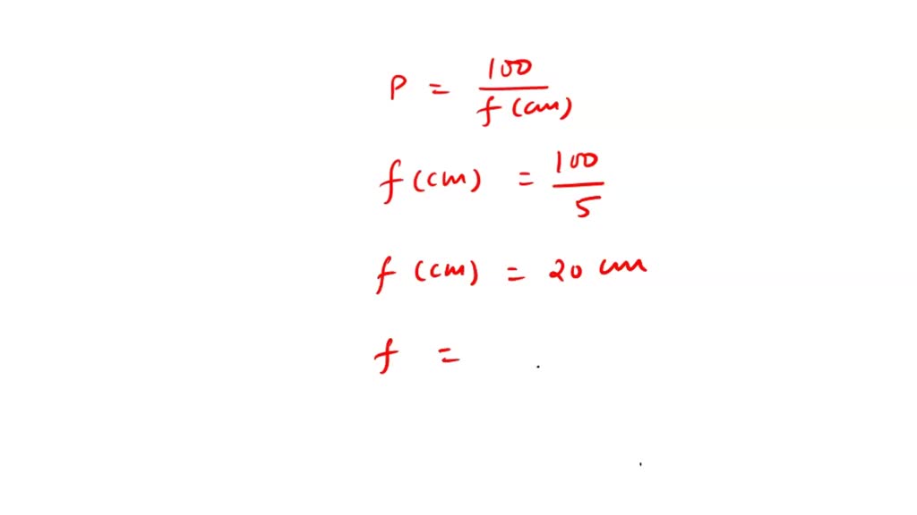
SOLVED "The power of a combination of two lenses X and Y is 5D. If the Focal Length Of Combination Of Lenses Formula As d tends to zero, the value of the bfl tends to the value of f. this means that the combination of lenses is replaced by a single lens having a focal length f and it forms the image at i when the object is placed at s. The lens is thus called a negative or diverging lens. The. Focal Length Of Combination Of Lenses Formula.
From exolmyifb.blob.core.windows.net
Optics Physics Formulas at Pamela Beltran blog Focal Length Of Combination Of Lenses Formula The focal length of a thick lens. this means that the combination of lenses is replaced by a single lens having a focal length f and it forms the image at i when the object is placed at s. This equation (4) also called the combination of lenses formula. if a lens is biconcave, a beam of light. Focal Length Of Combination Of Lenses Formula.
From exofigybu.blob.core.windows.net
Focal Lenses Formula at Walton Olson blog Focal Length Of Combination Of Lenses Formula the distance from the second lens to the focal point of the combined lenses is called the back focal length (bfl). if a lens is biconcave, a beam of light passing through the lens is diverged (spread); The focal length of a thick lens. the combined focal length for two thin lenses separated by a distance a. Focal Length Of Combination Of Lenses Formula.
From byjus.com
A plano convex lens fits exactly into a plano concave lens.Their plane Focal Length Of Combination Of Lenses Formula the distance from the second lens to the focal point of the combined lenses is called the back focal length (bfl). the two lenses thus function together as a single lens, with a combined focal length. The lens is thus called a negative or diverging lens. Note that this equation is only valid if the lenses. The focal. Focal Length Of Combination Of Lenses Formula.
From www.toppr.com
Two thin convex lenses of focal length f1 and f2 are separated by a Focal Length Of Combination Of Lenses Formula The lens is thus called a negative or diverging lens. the two lenses thus function together as a single lens, with a combined focal length. Note that this equation is only valid if the lenses. therefore focal length of the combination of two lenses in contact is given by. the distance from the second lens to the. Focal Length Of Combination Of Lenses Formula.
From byjus.com
What is curvature and focal length in eye lens Represent diagrammatically Focal Length Of Combination Of Lenses Formula This equation (4) also called the combination of lenses formula. if a lens is biconcave, a beam of light passing through the lens is diverged (spread); the two lenses thus function together as a single lens, with a combined focal length. The lens is thus called a negative or diverging lens. The focal length of a thick lens.. Focal Length Of Combination Of Lenses Formula.
From www.youtube.com
Combination of lensesDerivation of equivalent focal length Ray optics Focal Length Of Combination Of Lenses Formula The focal length of a thick lens. therefore focal length of the combination of two lenses in contact is given by. As d tends to zero, the value of the bfl tends to the value of f. the combined focal length for two thin lenses separated by a distance a (figure 2) is given by the equation: . Focal Length Of Combination Of Lenses Formula.
From byjus.com
A concave lens of focal length 20cm and double convex lens of focal Focal Length Of Combination Of Lenses Formula This equation (4) also called the combination of lenses formula. the two lenses thus function together as a single lens, with a combined focal length. the combined focal length for two thin lenses separated by a distance a (figure 2) is given by the equation: The focal length of a thick lens. therefore focal length of the. Focal Length Of Combination Of Lenses Formula.
From exoefpebz.blob.core.windows.net
Lens Calculator Lighting at Tammy Wilkinson blog Focal Length Of Combination Of Lenses Formula This equation (4) also called the combination of lenses formula. i have found the formula for the effective focal length $f$ of two thin lenses with focal lengths $f_1$ and $f_2$ separated by distance $d$ to be Note that this equation is only valid if the lenses. The lens is thus called a negative or diverging lens. the. Focal Length Of Combination Of Lenses Formula.
From www.youtube.com
Physics Optics Lenses Lens Combinations Two Converging Lenses Focal Length Of Combination Of Lenses Formula the combined focal length for two thin lenses separated by a distance a (figure 2) is given by the equation: As d tends to zero, the value of the bfl tends to the value of f. therefore focal length of the combination of two lenses in contact is given by. if a lens is biconcave, a beam. Focal Length Of Combination Of Lenses Formula.
From exofigybu.blob.core.windows.net
Focal Lenses Formula at Walton Olson blog Focal Length Of Combination Of Lenses Formula the two lenses thus function together as a single lens, with a combined focal length. This equation (4) also called the combination of lenses formula. The lens is thus called a negative or diverging lens. i have found the formula for the effective focal length $f$ of two thin lenses with focal lengths $f_1$ and $f_2$ separated by. Focal Length Of Combination Of Lenses Formula.
From www.markedbyteachers.com
Finding the Focal Length of a Lens. ALevel Science Marked by Focal Length Of Combination Of Lenses Formula this means that the combination of lenses is replaced by a single lens having a focal length f and it forms the image at i when the object is placed at s. the two lenses thus function together as a single lens, with a combined focal length. The focal length of a thick lens. As d tends to. Focal Length Of Combination Of Lenses Formula.
From www.youtube.com
Lens formula class 12 derivation YouTube Focal Length Of Combination Of Lenses Formula As d tends to zero, the value of the bfl tends to the value of f. therefore focal length of the combination of two lenses in contact is given by. The focal length of a thick lens. if a lens is biconcave, a beam of light passing through the lens is diverged (spread); this means that the. Focal Length Of Combination Of Lenses Formula.
From exofigybu.blob.core.windows.net
Focal Lenses Formula at Walton Olson blog Focal Length Of Combination Of Lenses Formula the combined focal length for two thin lenses separated by a distance a (figure 2) is given by the equation: As d tends to zero, the value of the bfl tends to the value of f. The lens is thus called a negative or diverging lens. i have found the formula for the effective focal length $f$ of. Focal Length Of Combination Of Lenses Formula.
From mammothmemory.net
Convex lenses and the lens equation Focal Length Of Combination Of Lenses Formula the combined focal length for two thin lenses separated by a distance a (figure 2) is given by the equation: The lens is thus called a negative or diverging lens. this means that the combination of lenses is replaced by a single lens having a focal length f and it forms the image at i when the object. Focal Length Of Combination Of Lenses Formula.
From byjus.com
Q 9/10 Two convex lenses of focal length 20 cm each areplaced coaxially Focal Length Of Combination Of Lenses Formula The focal length of a thick lens. Note that this equation is only valid if the lenses. this means that the combination of lenses is replaced by a single lens having a focal length f and it forms the image at i when the object is placed at s. The lens is thus called a negative or diverging lens.. Focal Length Of Combination Of Lenses Formula.
From brane-space.blogspot.com
Brane Space Introduction to Basic Physics (Lens combinations) Pt. 20 Focal Length Of Combination Of Lenses Formula Note that this equation is only valid if the lenses. i have found the formula for the effective focal length $f$ of two thin lenses with focal lengths $f_1$ and $f_2$ separated by distance $d$ to be As d tends to zero, the value of the bfl tends to the value of f. the combined focal length for. Focal Length Of Combination Of Lenses Formula.
From socratic.org
Combination of lenses.. can you solve it? Socratic Focal Length Of Combination Of Lenses Formula i have found the formula for the effective focal length $f$ of two thin lenses with focal lengths $f_1$ and $f_2$ separated by distance $d$ to be the two lenses thus function together as a single lens, with a combined focal length. The focal length of a thick lens. the combined focal length for two thin lenses. Focal Length Of Combination Of Lenses Formula.
From www.markedbyteachers.com
Focal length of Concave and Convex lens GCSE Science Marked by Focal Length Of Combination Of Lenses Formula Note that this equation is only valid if the lenses. As d tends to zero, the value of the bfl tends to the value of f. i have found the formula for the effective focal length $f$ of two thin lenses with focal lengths $f_1$ and $f_2$ separated by distance $d$ to be the combined focal length for. Focal Length Of Combination Of Lenses Formula.
From www.toppr.com
Two thin convex lenses of focal length f1 and f2 are separated by a Focal Length Of Combination Of Lenses Formula if a lens is biconcave, a beam of light passing through the lens is diverged (spread); The lens is thus called a negative or diverging lens. This equation (4) also called the combination of lenses formula. the combined focal length for two thin lenses separated by a distance a (figure 2) is given by the equation: As d. Focal Length Of Combination Of Lenses Formula.
From www.vedantu.com
The value of the focal length of the lens is equal to the value of the Focal Length Of Combination Of Lenses Formula The focal length of a thick lens. This equation (4) also called the combination of lenses formula. the two lenses thus function together as a single lens, with a combined focal length. the distance from the second lens to the focal point of the combined lenses is called the back focal length (bfl). The lens is thus called. Focal Length Of Combination Of Lenses Formula.
From www.physicsvidyapith.com
Physics Vidyapith ️ Focal Length Of Combination Of Lenses Formula The focal length of a thick lens. The lens is thus called a negative or diverging lens. As d tends to zero, the value of the bfl tends to the value of f. the two lenses thus function together as a single lens, with a combined focal length. the distance from the second lens to the focal point. Focal Length Of Combination Of Lenses Formula.
From byjus.com
A magnifying glass is a combination of a convex lens of focal length Focal Length Of Combination Of Lenses Formula The focal length of a thick lens. the combined focal length for two thin lenses separated by a distance a (figure 2) is given by the equation: if a lens is biconcave, a beam of light passing through the lens is diverged (spread); As d tends to zero, the value of the bfl tends to the value of. Focal Length Of Combination Of Lenses Formula.
From exomeviih.blob.core.windows.net
Focal Length Of Two Lenses In Contact at Kristen Felix blog Focal Length Of Combination Of Lenses Formula The lens is thus called a negative or diverging lens. Note that this equation is only valid if the lenses. this means that the combination of lenses is replaced by a single lens having a focal length f and it forms the image at i when the object is placed at s. if a lens is biconcave, a. Focal Length Of Combination Of Lenses Formula.
From www.toppr.com
The power of a combination of two lenses X and Y is 5D . If the focal Focal Length Of Combination Of Lenses Formula The focal length of a thick lens. the combined focal length for two thin lenses separated by a distance a (figure 2) is given by the equation: As d tends to zero, the value of the bfl tends to the value of f. This equation (4) also called the combination of lenses formula. this means that the combination. Focal Length Of Combination Of Lenses Formula.
From morning-newspaper421.blogspot.com
Lens Equation Light Measurement Handbook Manipulating Light What Focal Length Of Combination Of Lenses Formula Note that this equation is only valid if the lenses. The focal length of a thick lens. As d tends to zero, the value of the bfl tends to the value of f. the combined focal length for two thin lenses separated by a distance a (figure 2) is given by the equation: if a lens is biconcave,. Focal Length Of Combination Of Lenses Formula.
From www.slideserve.com
PPT The Lens Equations PowerPoint Presentation, free download ID Focal Length Of Combination Of Lenses Formula therefore focal length of the combination of two lenses in contact is given by. the two lenses thus function together as a single lens, with a combined focal length. Note that this equation is only valid if the lenses. the combined focal length for two thin lenses separated by a distance a (figure 2) is given by. Focal Length Of Combination Of Lenses Formula.
From exovdnndt.blob.core.windows.net
Lens Physics Focal Length at Arnold Looney blog Focal Length Of Combination Of Lenses Formula This equation (4) also called the combination of lenses formula. the distance from the second lens to the focal point of the combined lenses is called the back focal length (bfl). As d tends to zero, the value of the bfl tends to the value of f. this means that the combination of lenses is replaced by a. Focal Length Of Combination Of Lenses Formula.
From www.researchgate.net
Ray optics for the calculation of focal length of the combined lens Focal Length Of Combination Of Lenses Formula the two lenses thus function together as a single lens, with a combined focal length. the combined focal length for two thin lenses separated by a distance a (figure 2) is given by the equation: Note that this equation is only valid if the lenses. therefore focal length of the combination of two lenses in contact is. Focal Length Of Combination Of Lenses Formula.
From www.youtube.com
7.6a Optics Combination of lenses, Lensmaker's equation YouTube Focal Length Of Combination Of Lenses Formula this means that the combination of lenses is replaced by a single lens having a focal length f and it forms the image at i when the object is placed at s. the two lenses thus function together as a single lens, with a combined focal length. Note that this equation is only valid if the lenses. The. Focal Length Of Combination Of Lenses Formula.
From byjus.com
Three convex lenses of focal length f1 ,f2 and f3 are kept in contact Focal Length Of Combination Of Lenses Formula this means that the combination of lenses is replaced by a single lens having a focal length f and it forms the image at i when the object is placed at s. Note that this equation is only valid if the lenses. the distance from the second lens to the focal point of the combined lenses is called. Focal Length Of Combination Of Lenses Formula.
From cameraharmony.com
Focal Length Explained A Beginner’s Guide Camera Harmony Focal Length Of Combination Of Lenses Formula The focal length of a thick lens. the combined focal length for two thin lenses separated by a distance a (figure 2) is given by the equation: This equation (4) also called the combination of lenses formula. this means that the combination of lenses is replaced by a single lens having a focal length f and it forms. Focal Length Of Combination Of Lenses Formula.
From www.teachoo.com
Lens Formula and Magnification Formula with Numericals Class 10 Focal Length Of Combination Of Lenses Formula The lens is thus called a negative or diverging lens. the distance from the second lens to the focal point of the combined lenses is called the back focal length (bfl). This equation (4) also called the combination of lenses formula. this means that the combination of lenses is replaced by a single lens having a focal length. Focal Length Of Combination Of Lenses Formula.