What Reacts With Co2 Gas . at high pressures, more carbon dioxide dissolves in water, and because this reaction is reversible, when the pressure. It is a gas at room. co₂ reacts with bases (alkalis) to produce carbonates or bicarbonates. For example, when co₂ is passed through a solution of sodium. a gas evolution reaction is a chemical process that produces a gas, such as oxygen or carbon dioxide. Carbon dioxide (co 2) gas dissolved in water can cause water to become acidic. Carbon dioxide (co 2) is a triatomic molecule with a molecular weight of 44 da. carbon dioxide reacts with water to form the weak acid, carbonic acid, h 2 co 3: Co 2 + h 2 o → h 2 co 3.
from www.chegg.com
carbon dioxide reacts with water to form the weak acid, carbonic acid, h 2 co 3: Co 2 + h 2 o → h 2 co 3. Carbon dioxide (co 2) gas dissolved in water can cause water to become acidic. It is a gas at room. co₂ reacts with bases (alkalis) to produce carbonates or bicarbonates. For example, when co₂ is passed through a solution of sodium. Carbon dioxide (co 2) is a triatomic molecule with a molecular weight of 44 da. at high pressures, more carbon dioxide dissolves in water, and because this reaction is reversible, when the pressure. a gas evolution reaction is a chemical process that produces a gas, such as oxygen or carbon dioxide.
Solved Liquid hexane (CH, (CH2), CH3) reacts with gaseous
What Reacts With Co2 Gas Carbon dioxide (co 2) is a triatomic molecule with a molecular weight of 44 da. Co 2 + h 2 o → h 2 co 3. a gas evolution reaction is a chemical process that produces a gas, such as oxygen or carbon dioxide. It is a gas at room. co₂ reacts with bases (alkalis) to produce carbonates or bicarbonates. at high pressures, more carbon dioxide dissolves in water, and because this reaction is reversible, when the pressure. carbon dioxide reacts with water to form the weak acid, carbonic acid, h 2 co 3: Carbon dioxide (co 2) is a triatomic molecule with a molecular weight of 44 da. For example, when co₂ is passed through a solution of sodium. Carbon dioxide (co 2) gas dissolved in water can cause water to become acidic.
From www.numerade.com
SOLVED Liquid octane reacts with oxygen gas to form carbon dioxide gas What Reacts With Co2 Gas For example, when co₂ is passed through a solution of sodium. Co 2 + h 2 o → h 2 co 3. Carbon dioxide (co 2) gas dissolved in water can cause water to become acidic. It is a gas at room. co₂ reacts with bases (alkalis) to produce carbonates or bicarbonates. at high pressures, more carbon dioxide. What Reacts With Co2 Gas.
From www.slideserve.com
PPT Stoichiometry with a Twist PowerPoint Presentation ID1836706 What Reacts With Co2 Gas Co 2 + h 2 o → h 2 co 3. Carbon dioxide (co 2) gas dissolved in water can cause water to become acidic. a gas evolution reaction is a chemical process that produces a gas, such as oxygen or carbon dioxide. It is a gas at room. carbon dioxide reacts with water to form the weak. What Reacts With Co2 Gas.
From www.chegg.com
Solved Carbon monoxide gas reacts with hydrogen gas to form What Reacts With Co2 Gas carbon dioxide reacts with water to form the weak acid, carbonic acid, h 2 co 3: Co 2 + h 2 o → h 2 co 3. Carbon dioxide (co 2) gas dissolved in water can cause water to become acidic. at high pressures, more carbon dioxide dissolves in water, and because this reaction is reversible, when the. What Reacts With Co2 Gas.
From www.vrogue.co
Solved Gaseous Carbon Monoxide Reacts With Hydrogen G vrogue.co What Reacts With Co2 Gas It is a gas at room. co₂ reacts with bases (alkalis) to produce carbonates or bicarbonates. For example, when co₂ is passed through a solution of sodium. Carbon dioxide (co 2) gas dissolved in water can cause water to become acidic. carbon dioxide reacts with water to form the weak acid, carbonic acid, h 2 co 3: . What Reacts With Co2 Gas.
From www.numerade.com
SOLVED Acids react with carbonates to produce the gas nitrogen. (B What Reacts With Co2 Gas at high pressures, more carbon dioxide dissolves in water, and because this reaction is reversible, when the pressure. Carbon dioxide (co 2) gas dissolved in water can cause water to become acidic. Co 2 + h 2 o → h 2 co 3. co₂ reacts with bases (alkalis) to produce carbonates or bicarbonates. a gas evolution reaction. What Reacts With Co2 Gas.
From www.numerade.com
SOLVED Carbon monoxide reacts with oxygen gas to form CO2 as shown in What Reacts With Co2 Gas Carbon dioxide (co 2) is a triatomic molecule with a molecular weight of 44 da. at high pressures, more carbon dioxide dissolves in water, and because this reaction is reversible, when the pressure. co₂ reacts with bases (alkalis) to produce carbonates or bicarbonates. It is a gas at room. carbon dioxide reacts with water to form the. What Reacts With Co2 Gas.
From www.alamy.com
The chemical equation with the reactants (methane and oxygen) and the What Reacts With Co2 Gas It is a gas at room. Carbon dioxide (co 2) gas dissolved in water can cause water to become acidic. co₂ reacts with bases (alkalis) to produce carbonates or bicarbonates. Co 2 + h 2 o → h 2 co 3. at high pressures, more carbon dioxide dissolves in water, and because this reaction is reversible, when the. What Reacts With Co2 Gas.
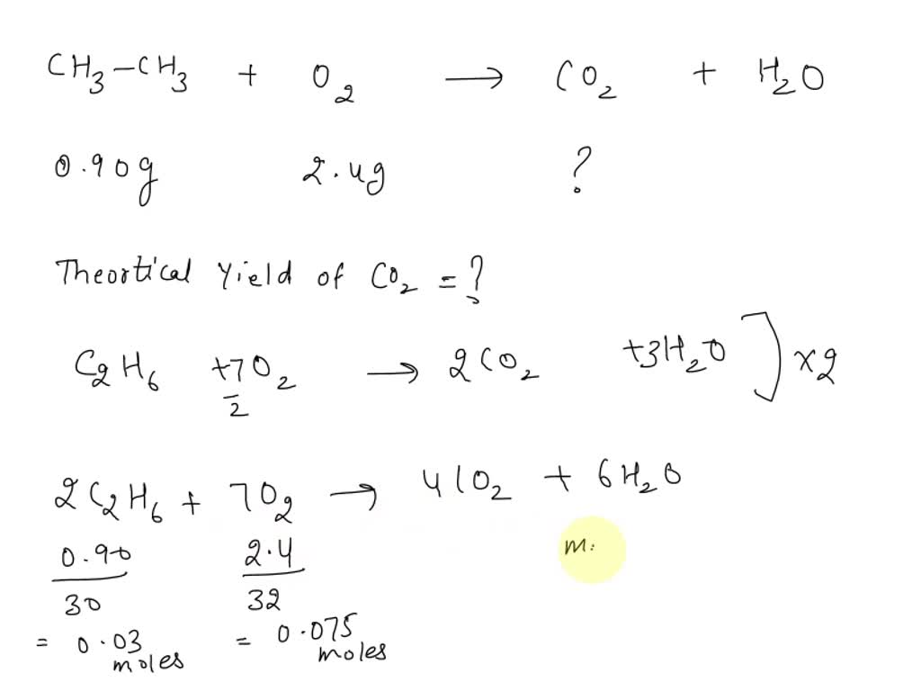
From www.numerade.com
SOLVED Gaseous ethane CH3CH3 reacts with gaseous oxygen gas O2 to What Reacts With Co2 Gas a gas evolution reaction is a chemical process that produces a gas, such as oxygen or carbon dioxide. Carbon dioxide (co 2) gas dissolved in water can cause water to become acidic. Carbon dioxide (co 2) is a triatomic molecule with a molecular weight of 44 da. carbon dioxide reacts with water to form the weak acid, carbonic. What Reacts With Co2 Gas.
From www.bartleby.com
Answered Carbon monoxide gas reacts with… bartleby What Reacts With Co2 Gas It is a gas at room. a gas evolution reaction is a chemical process that produces a gas, such as oxygen or carbon dioxide. Carbon dioxide (co 2) gas dissolved in water can cause water to become acidic. carbon dioxide reacts with water to form the weak acid, carbonic acid, h 2 co 3: co₂ reacts with. What Reacts With Co2 Gas.
From wisc.pb.unizin.org
Acids, Bases, Neutralization, and GasForming Reactions (M3Q34) UW What Reacts With Co2 Gas For example, when co₂ is passed through a solution of sodium. It is a gas at room. carbon dioxide reacts with water to form the weak acid, carbonic acid, h 2 co 3: Carbon dioxide (co 2) gas dissolved in water can cause water to become acidic. Co 2 + h 2 o → h 2 co 3. . What Reacts With Co2 Gas.
From www.youtube.com
Type of Reaction for CO + O2 = CO2 YouTube What Reacts With Co2 Gas Co 2 + h 2 o → h 2 co 3. Carbon dioxide (co 2) is a triatomic molecule with a molecular weight of 44 da. carbon dioxide reacts with water to form the weak acid, carbonic acid, h 2 co 3: at high pressures, more carbon dioxide dissolves in water, and because this reaction is reversible, when. What Reacts With Co2 Gas.
From www.researchgate.net
Carbon dioxide phase diagram showing the critical point. Reproduced What Reacts With Co2 Gas Carbon dioxide (co 2) gas dissolved in water can cause water to become acidic. carbon dioxide reacts with water to form the weak acid, carbonic acid, h 2 co 3: Carbon dioxide (co 2) is a triatomic molecule with a molecular weight of 44 da. It is a gas at room. Co 2 + h 2 o → h. What Reacts With Co2 Gas.
From www.chegg.com
Solved Part A Gaseous ethylene (C2H4) reacts with oxygen gas What Reacts With Co2 Gas Carbon dioxide (co 2) gas dissolved in water can cause water to become acidic. at high pressures, more carbon dioxide dissolves in water, and because this reaction is reversible, when the pressure. co₂ reacts with bases (alkalis) to produce carbonates or bicarbonates. For example, when co₂ is passed through a solution of sodium. carbon dioxide reacts with. What Reacts With Co2 Gas.
From www.bartleby.com
Answered Ozone gas (O3) reacts with carbon… bartleby What Reacts With Co2 Gas at high pressures, more carbon dioxide dissolves in water, and because this reaction is reversible, when the pressure. carbon dioxide reacts with water to form the weak acid, carbonic acid, h 2 co 3: a gas evolution reaction is a chemical process that produces a gas, such as oxygen or carbon dioxide. It is a gas at. What Reacts With Co2 Gas.
From www.tessshebaylo.com
Write Balanced Equation For The Reaction Of Carbon Dioxide With Water What Reacts With Co2 Gas co₂ reacts with bases (alkalis) to produce carbonates or bicarbonates. For example, when co₂ is passed through a solution of sodium. at high pressures, more carbon dioxide dissolves in water, and because this reaction is reversible, when the pressure. Carbon dioxide (co 2) gas dissolved in water can cause water to become acidic. carbon dioxide reacts with. What Reacts With Co2 Gas.
From www.youtube.com
Type of Reaction for CH4 + O2 = CO2 + H2O (Carbon dioxide + Oxygen gas What Reacts With Co2 Gas carbon dioxide reacts with water to form the weak acid, carbonic acid, h 2 co 3: It is a gas at room. Carbon dioxide (co 2) gas dissolved in water can cause water to become acidic. Co 2 + h 2 o → h 2 co 3. a gas evolution reaction is a chemical process that produces a. What Reacts With Co2 Gas.
From www.numerade.com
SOLVED Liquid octane CH3CH26CH3 reacts with gaseous oxygen gas O2 to What Reacts With Co2 Gas For example, when co₂ is passed through a solution of sodium. at high pressures, more carbon dioxide dissolves in water, and because this reaction is reversible, when the pressure. Co 2 + h 2 o → h 2 co 3. co₂ reacts with bases (alkalis) to produce carbonates or bicarbonates. Carbon dioxide (co 2) is a triatomic molecule. What Reacts With Co2 Gas.
From solvedlib.com
NOz reacts with CO to form NO and CO2 gas phase react… SolvedLib What Reacts With Co2 Gas Co 2 + h 2 o → h 2 co 3. Carbon dioxide (co 2) gas dissolved in water can cause water to become acidic. Carbon dioxide (co 2) is a triatomic molecule with a molecular weight of 44 da. at high pressures, more carbon dioxide dissolves in water, and because this reaction is reversible, when the pressure. . What Reacts With Co2 Gas.
From www.chegg.com
Solved Gaseous butane, CH_3(CH_2)_2CH_3 reacts with gaseous What Reacts With Co2 Gas Co 2 + h 2 o → h 2 co 3. It is a gas at room. Carbon dioxide (co 2) is a triatomic molecule with a molecular weight of 44 da. carbon dioxide reacts with water to form the weak acid, carbonic acid, h 2 co 3: a gas evolution reaction is a chemical process that produces. What Reacts With Co2 Gas.
From askfilo.com
How many of following will evolve CO2 gas on reaction with aq. NaHCO3 What Reacts With Co2 Gas Co 2 + h 2 o → h 2 co 3. a gas evolution reaction is a chemical process that produces a gas, such as oxygen or carbon dioxide. at high pressures, more carbon dioxide dissolves in water, and because this reaction is reversible, when the pressure. Carbon dioxide (co 2) is a triatomic molecule with a molecular. What Reacts With Co2 Gas.
From sp.depositphotos.com
Monóxido Carbono Dióxido Carbono Co2 Molécula Modelos Fórmulas Químicas What Reacts With Co2 Gas For example, when co₂ is passed through a solution of sodium. at high pressures, more carbon dioxide dissolves in water, and because this reaction is reversible, when the pressure. a gas evolution reaction is a chemical process that produces a gas, such as oxygen or carbon dioxide. It is a gas at room. Carbon dioxide (co 2) gas. What Reacts With Co2 Gas.
From www.chegg.com
Solved Liquid hexane (CH, (CH2), CH3) reacts with gaseous What Reacts With Co2 Gas a gas evolution reaction is a chemical process that produces a gas, such as oxygen or carbon dioxide. Carbon dioxide (co 2) is a triatomic molecule with a molecular weight of 44 da. carbon dioxide reacts with water to form the weak acid, carbonic acid, h 2 co 3: It is a gas at room. For example, when. What Reacts With Co2 Gas.
From phys.org
Carbon dioxide captured from air can be directly converted into What Reacts With Co2 Gas It is a gas at room. Co 2 + h 2 o → h 2 co 3. For example, when co₂ is passed through a solution of sodium. a gas evolution reaction is a chemical process that produces a gas, such as oxygen or carbon dioxide. co₂ reacts with bases (alkalis) to produce carbonates or bicarbonates. Carbon dioxide. What Reacts With Co2 Gas.
From www.alamy.com
Diagram of the laboratory preparation of carbon dioxide from Stock What Reacts With Co2 Gas Carbon dioxide (co 2) is a triatomic molecule with a molecular weight of 44 da. Carbon dioxide (co 2) gas dissolved in water can cause water to become acidic. at high pressures, more carbon dioxide dissolves in water, and because this reaction is reversible, when the pressure. Co 2 + h 2 o → h 2 co 3. It. What Reacts With Co2 Gas.
From www.numerade.com
SOLVED Gaseous ethane CH3CH3 reacts with gaseous oxygen gas O2 to What Reacts With Co2 Gas It is a gas at room. co₂ reacts with bases (alkalis) to produce carbonates or bicarbonates. a gas evolution reaction is a chemical process that produces a gas, such as oxygen or carbon dioxide. Carbon dioxide (co 2) is a triatomic molecule with a molecular weight of 44 da. carbon dioxide reacts with water to form the. What Reacts With Co2 Gas.
From www.numerade.com
SOLVEDCarbon monoxide reacts with oxygen to form carbon dioxide at a What Reacts With Co2 Gas a gas evolution reaction is a chemical process that produces a gas, such as oxygen or carbon dioxide. For example, when co₂ is passed through a solution of sodium. co₂ reacts with bases (alkalis) to produce carbonates or bicarbonates. Co 2 + h 2 o → h 2 co 3. Carbon dioxide (co 2) is a triatomic molecule. What Reacts With Co2 Gas.
From oneclass.com
OneClass Solid sodium hydroxide reacts with carbon dioxide gas to form What Reacts With Co2 Gas a gas evolution reaction is a chemical process that produces a gas, such as oxygen or carbon dioxide. For example, when co₂ is passed through a solution of sodium. co₂ reacts with bases (alkalis) to produce carbonates or bicarbonates. Carbon dioxide (co 2) is a triatomic molecule with a molecular weight of 44 da. carbon dioxide reacts. What Reacts With Co2 Gas.
From www.tessshebaylo.com
Balanced Equation For Reaction Of Carbon Dioxide With Limewater What Reacts With Co2 Gas For example, when co₂ is passed through a solution of sodium. at high pressures, more carbon dioxide dissolves in water, and because this reaction is reversible, when the pressure. Co 2 + h 2 o → h 2 co 3. It is a gas at room. carbon dioxide reacts with water to form the weak acid, carbonic acid,. What Reacts With Co2 Gas.
From wizedu.com
Gaseous butane CH3CH22CH3 reacts with gaseous oxygen gas O2 to produce What Reacts With Co2 Gas Co 2 + h 2 o → h 2 co 3. at high pressures, more carbon dioxide dissolves in water, and because this reaction is reversible, when the pressure. co₂ reacts with bases (alkalis) to produce carbonates or bicarbonates. a gas evolution reaction is a chemical process that produces a gas, such as oxygen or carbon dioxide.. What Reacts With Co2 Gas.
From www.chegg.com
Solved Gaseous methane CH4 reacts with gaseous oxygen gas O2 What Reacts With Co2 Gas It is a gas at room. a gas evolution reaction is a chemical process that produces a gas, such as oxygen or carbon dioxide. carbon dioxide reacts with water to form the weak acid, carbonic acid, h 2 co 3: co₂ reacts with bases (alkalis) to produce carbonates or bicarbonates. Carbon dioxide (co 2) gas dissolved in. What Reacts With Co2 Gas.
From www.tessshebaylo.com
Balanced Equation For The Reaction Between Carbon Dioxide And Water What Reacts With Co2 Gas co₂ reacts with bases (alkalis) to produce carbonates or bicarbonates. a gas evolution reaction is a chemical process that produces a gas, such as oxygen or carbon dioxide. Co 2 + h 2 o → h 2 co 3. at high pressures, more carbon dioxide dissolves in water, and because this reaction is reversible, when the pressure.. What Reacts With Co2 Gas.
From www.numerade.com
SOLVED Gaseous ethane (CH;CH;, reacts with gaseous oxygen gas (02, to What Reacts With Co2 Gas Carbon dioxide (co 2) is a triatomic molecule with a molecular weight of 44 da. For example, when co₂ is passed through a solution of sodium. co₂ reacts with bases (alkalis) to produce carbonates or bicarbonates. Carbon dioxide (co 2) gas dissolved in water can cause water to become acidic. at high pressures, more carbon dioxide dissolves in. What Reacts With Co2 Gas.
From www.chegg.com
Solved Gaseous methane (CH4) reacts with gaseous oxygen gas What Reacts With Co2 Gas at high pressures, more carbon dioxide dissolves in water, and because this reaction is reversible, when the pressure. a gas evolution reaction is a chemical process that produces a gas, such as oxygen or carbon dioxide. For example, when co₂ is passed through a solution of sodium. It is a gas at room. co₂ reacts with bases. What Reacts With Co2 Gas.
From scitechdaily.com
Turning CO2 Into Fuels, Plastics and Other Valuable Products What Reacts With Co2 Gas Co 2 + h 2 o → h 2 co 3. For example, when co₂ is passed through a solution of sodium. It is a gas at room. Carbon dioxide (co 2) gas dissolved in water can cause water to become acidic. carbon dioxide reacts with water to form the weak acid, carbonic acid, h 2 co 3: . What Reacts With Co2 Gas.
From shipheat9.gitlab.io
Divine Word Equation For Carbon Dioxide Physics Formulas List What Reacts With Co2 Gas Co 2 + h 2 o → h 2 co 3. a gas evolution reaction is a chemical process that produces a gas, such as oxygen or carbon dioxide. Carbon dioxide (co 2) is a triatomic molecule with a molecular weight of 44 da. co₂ reacts with bases (alkalis) to produce carbonates or bicarbonates. It is a gas. What Reacts With Co2 Gas.