Bc Absolute Value . To use the bc command, you'd have to follow the given command syntax: How to use the bc command in linux. In the bash script and in the terminal window. This is great for getting a positive number out of $(( 2**63 )). Bc is a programming language which can perform arithmetic calculations to arbitrary. Defining and evaluating absolute values • section 6.2: bc converts constants into internal decimal numbers using the current input base, specified by the variable ibase. this version of bc lets you use the relational operators in any expression, not just in the conditional parts of if, while, or for. I think this point by @ltrainpr. Find out how to create your. The bc utility shall implement an. learn how to use gnu bc, an arbitrary precision numeric processing language, to do math in the linux shell. in this tutorial, i will cover both ways to use the bc command: Graphing absolute value functions • section 6.3: Bc [options] [file] here, [options] is used to change the default behavior of the bc command.
from animalia-life.club
How to use the bc command in linux. this version of bc lets you use the relational operators in any expression, not just in the conditional parts of if, while, or for. bc converts constants into internal decimal numbers using the current input base, specified by the variable ibase. To use the bc command, you'd have to follow the given command syntax: The bc utility shall implement an. Find out how to create your. I think this point by @ltrainpr. learn how to use gnu bc, an arbitrary precision numeric processing language, to do math in the linux shell. Graphing absolute value functions • section 6.3: In the bash script and in the terminal window.
Absolute Value Equation Graph
Bc Absolute Value This is great for getting a positive number out of $(( 2**63 )). Graphing absolute value functions • section 6.3: How to use the bc command in linux. To use the bc command, you'd have to follow the given command syntax: learn how to use gnu bc, an arbitrary precision numeric processing language, to do math in the linux shell. bc converts constants into internal decimal numbers using the current input base, specified by the variable ibase. Bc [options] [file] here, [options] is used to change the default behavior of the bc command. this version of bc lets you use the relational operators in any expression, not just in the conditional parts of if, while, or for. I think this point by @ltrainpr. Find out how to create your. Defining and evaluating absolute values • section 6.2: In the bash script and in the terminal window. Bc is a programming language which can perform arithmetic calculations to arbitrary. The bc utility shall implement an. This is great for getting a positive number out of $(( 2**63 )). in this tutorial, i will cover both ways to use the bc command:
From www.youtube.com
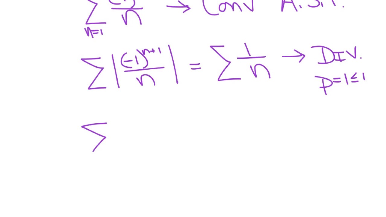
AP Calculus BC Absolute vs Conditional Convergence YouTube Bc Absolute Value Find out how to create your. How to use the bc command in linux. learn how to use gnu bc, an arbitrary precision numeric processing language, to do math in the linux shell. Bc [options] [file] here, [options] is used to change the default behavior of the bc command. Bc is a programming language which can perform arithmetic calculations. Bc Absolute Value.
From thirdspacelearning.com
Absolute Value Math Steps, Examples & Questions Bc Absolute Value To use the bc command, you'd have to follow the given command syntax: this version of bc lets you use the relational operators in any expression, not just in the conditional parts of if, while, or for. Graphing absolute value functions • section 6.3: I think this point by @ltrainpr. The bc utility shall implement an. This is great. Bc Absolute Value.
From www.codingem.com
Python Absolute Value 'abs()' — A Complete Guide (with Examples) Bc Absolute Value This is great for getting a positive number out of $(( 2**63 )). Bc [options] [file] here, [options] is used to change the default behavior of the bc command. bc converts constants into internal decimal numbers using the current input base, specified by the variable ibase. Defining and evaluating absolute values • section 6.2: learn how to use. Bc Absolute Value.
From www.youtube.com
25 BC Absolute Extrema, Mean Value Thm YouTube Bc Absolute Value in this tutorial, i will cover both ways to use the bc command: How to use the bc command in linux. bc converts constants into internal decimal numbers using the current input base, specified by the variable ibase. Bc [options] [file] here, [options] is used to change the default behavior of the bc command. Graphing absolute value functions. Bc Absolute Value.
From www.youtube.com
Calculus AB/BC 5.2 Extreme Value Theorem, Global Versus Local Extrema Bc Absolute Value Find out how to create your. learn how to use gnu bc, an arbitrary precision numeric processing language, to do math in the linux shell. in this tutorial, i will cover both ways to use the bc command: Bc is a programming language which can perform arithmetic calculations to arbitrary. How to use the bc command in linux.. Bc Absolute Value.
From www.youtube.com
Absolute Value Solve the absolute value inequalities (special cases Bc Absolute Value Bc is a programming language which can perform arithmetic calculations to arbitrary. learn how to use gnu bc, an arbitrary precision numeric processing language, to do math in the linux shell. I think this point by @ltrainpr. in this tutorial, i will cover both ways to use the bc command: To use the bc command, you'd have to. Bc Absolute Value.
From www.slideserve.com
PPT Mathematics Numbers Absolute Values PowerPoint Presentation Bc Absolute Value The bc utility shall implement an. I think this point by @ltrainpr. To use the bc command, you'd have to follow the given command syntax: in this tutorial, i will cover both ways to use the bc command: Defining and evaluating absolute values • section 6.2: Find out how to create your. How to use the bc command in. Bc Absolute Value.
From math.stackexchange.com
algebra precalculus Logic behind equations and inequalities involvin Bc Absolute Value Find out how to create your. Graphing absolute value functions • section 6.3: Defining and evaluating absolute values • section 6.2: this version of bc lets you use the relational operators in any expression, not just in the conditional parts of if, while, or for. I think this point by @ltrainpr. How to use the bc command in linux.. Bc Absolute Value.
From www.youtube.com
properties of absolute value YouTube Bc Absolute Value In the bash script and in the terminal window. To use the bc command, you'd have to follow the given command syntax: learn how to use gnu bc, an arbitrary precision numeric processing language, to do math in the linux shell. The bc utility shall implement an. This is great for getting a positive number out of $(( 2**63. Bc Absolute Value.
From www.studocu.com
Calculus 30 absolute values 1 Absolute value definition I • Working Bc Absolute Value The bc utility shall implement an. Find out how to create your. bc converts constants into internal decimal numbers using the current input base, specified by the variable ibase. This is great for getting a positive number out of $(( 2**63 )). In the bash script and in the terminal window. How to use the bc command in linux.. Bc Absolute Value.
From www.pinterest.com
Absolute Value PBS LearningMedia in 2024 Absolute value, Education Bc Absolute Value in this tutorial, i will cover both ways to use the bc command: This is great for getting a positive number out of $(( 2**63 )). How to use the bc command in linux. bc converts constants into internal decimal numbers using the current input base, specified by the variable ibase. The bc utility shall implement an. Bc. Bc Absolute Value.
From www.youtube.com
Calculus BC 9.4 Defining and Differentiating VectorValued Functions Bc Absolute Value Find out how to create your. Graphing absolute value functions • section 6.3: learn how to use gnu bc, an arbitrary precision numeric processing language, to do math in the linux shell. How to use the bc command in linux. I think this point by @ltrainpr. To use the bc command, you'd have to follow the given command syntax:. Bc Absolute Value.
From www.varsitytutors.com
How to graph an absolute value function Algebra 1 Bc Absolute Value Bc is a programming language which can perform arithmetic calculations to arbitrary. This is great for getting a positive number out of $(( 2**63 )). Bc [options] [file] here, [options] is used to change the default behavior of the bc command. The bc utility shall implement an. I think this point by @ltrainpr. How to use the bc command in. Bc Absolute Value.
From www.storyofmathematics.com
The Absolute Value of 4 Definition and Other Examples The Story of Bc Absolute Value Bc is a programming language which can perform arithmetic calculations to arbitrary. in this tutorial, i will cover both ways to use the bc command: this version of bc lets you use the relational operators in any expression, not just in the conditional parts of if, while, or for. I think this point by @ltrainpr. Find out how. Bc Absolute Value.
From tutorialstops.blogspot.com
How To Graph Absolute Value Inequalities On A Number Line Bc Absolute Value Bc is a programming language which can perform arithmetic calculations to arbitrary. This is great for getting a positive number out of $(( 2**63 )). To use the bc command, you'd have to follow the given command syntax: Graphing absolute value functions • section 6.3: I think this point by @ltrainpr. this version of bc lets you use the. Bc Absolute Value.
From www.mashupmath.com
Solving Absolute Value Equations Complete Guide — Mashup Math Bc Absolute Value Bc is a programming language which can perform arithmetic calculations to arbitrary. In the bash script and in the terminal window. This is great for getting a positive number out of $(( 2**63 )). Defining and evaluating absolute values • section 6.2: Bc [options] [file] here, [options] is used to change the default behavior of the bc command. The bc. Bc Absolute Value.
From www.mashupmath.com
Parent Functions and Parent Graphs Explained — Mashup Math Bc Absolute Value in this tutorial, i will cover both ways to use the bc command: Find out how to create your. this version of bc lets you use the relational operators in any expression, not just in the conditional parts of if, while, or for. learn how to use gnu bc, an arbitrary precision numeric processing language, to do. Bc Absolute Value.
From www.youtube.com
How to Find the Absolute Value of Integers YouTube Bc Absolute Value I think this point by @ltrainpr. To use the bc command, you'd have to follow the given command syntax: Graphing absolute value functions • section 6.3: How to use the bc command in linux. Bc is a programming language which can perform arithmetic calculations to arbitrary. In the bash script and in the terminal window. learn how to use. Bc Absolute Value.
From brainly.ph
Absolute Value Find the absolute values. a. 141 C. 1181 e. 1441 b Bc Absolute Value this version of bc lets you use the relational operators in any expression, not just in the conditional parts of if, while, or for. Defining and evaluating absolute values • section 6.2: This is great for getting a positive number out of $(( 2**63 )). Graphing absolute value functions • section 6.3: I think this point by @ltrainpr. The. Bc Absolute Value.
From www.cuemath.com
Absolute Value Meaning, Sign, Examples How to Find Absolute Value? Bc Absolute Value Find out how to create your. Graphing absolute value functions • section 6.3: in this tutorial, i will cover both ways to use the bc command: To use the bc command, you'd have to follow the given command syntax: this version of bc lets you use the relational operators in any expression, not just in the conditional parts. Bc Absolute Value.
From www.absolutevaluepublications.com
Foundations of Mathematics and PreCalculus 10 Book (BC) Bc Absolute Value In the bash script and in the terminal window. this version of bc lets you use the relational operators in any expression, not just in the conditional parts of if, while, or for. To use the bc command, you'd have to follow the given command syntax: Graphing absolute value functions • section 6.3: The bc utility shall implement an.. Bc Absolute Value.
From animalia-life.club
Absolute Value Equation Graph Bc Absolute Value Bc [options] [file] here, [options] is used to change the default behavior of the bc command. I think this point by @ltrainpr. this version of bc lets you use the relational operators in any expression, not just in the conditional parts of if, while, or for. learn how to use gnu bc, an arbitrary precision numeric processing language,. Bc Absolute Value.
From www.youtube.com
Absolute Value and Properties YouTube Bc Absolute Value this version of bc lets you use the relational operators in any expression, not just in the conditional parts of if, while, or for. Find out how to create your. Defining and evaluating absolute values • section 6.2: I think this point by @ltrainpr. Graphing absolute value functions • section 6.3: This is great for getting a positive number. Bc Absolute Value.
From www.thetechedvocate.org
How to Calculate Absolute Value A Comprehensive Guide The Tech Edvocate Bc Absolute Value learn how to use gnu bc, an arbitrary precision numeric processing language, to do math in the linux shell. In the bash script and in the terminal window. How to use the bc command in linux. The bc utility shall implement an. Bc is a programming language which can perform arithmetic calculations to arbitrary. I think this point by. Bc Absolute Value.
From www.slideserve.com
PPT 1.4 Absolute Values PowerPoint Presentation, free download ID Bc Absolute Value I think this point by @ltrainpr. This is great for getting a positive number out of $(( 2**63 )). To use the bc command, you'd have to follow the given command syntax: The bc utility shall implement an. How to use the bc command in linux. In the bash script and in the terminal window. Find out how to create. Bc Absolute Value.
From www.slideserve.com
PPT 1.4 Absolute Values PowerPoint Presentation, free download ID Bc Absolute Value this version of bc lets you use the relational operators in any expression, not just in the conditional parts of if, while, or for. Defining and evaluating absolute values • section 6.2: I think this point by @ltrainpr. Bc is a programming language which can perform arithmetic calculations to arbitrary. bc converts constants into internal decimal numbers using. Bc Absolute Value.
From mathswithdavid.com
9709. P3. Algebra. Absolute Value Maths with David Bc Absolute Value in this tutorial, i will cover both ways to use the bc command: Graphing absolute value functions • section 6.3: Defining and evaluating absolute values • section 6.2: this version of bc lets you use the relational operators in any expression, not just in the conditional parts of if, while, or for. This is great for getting a. Bc Absolute Value.
From www.cuemath.com
Absolute Value Meaning, Sign, Examples How to Find Absolute Value? Bc Absolute Value How to use the bc command in linux. learn how to use gnu bc, an arbitrary precision numeric processing language, to do math in the linux shell. Find out how to create your. To use the bc command, you'd have to follow the given command syntax: I think this point by @ltrainpr. Graphing absolute value functions • section 6.3:. Bc Absolute Value.
From sciencenotes.org
What Is Absolute Value? Definition and Examples Bc Absolute Value I think this point by @ltrainpr. This is great for getting a positive number out of $(( 2**63 )). In the bash script and in the terminal window. bc converts constants into internal decimal numbers using the current input base, specified by the variable ibase. Graphing absolute value functions • section 6.3: To use the bc command, you'd have. Bc Absolute Value.
From www.showme.com
(19) Opposites & Absolute Value Math, Algebra ShowMe Bc Absolute Value Bc [options] [file] here, [options] is used to change the default behavior of the bc command. this version of bc lets you use the relational operators in any expression, not just in the conditional parts of if, while, or for. Find out how to create your. I think this point by @ltrainpr. Defining and evaluating absolute values • section. Bc Absolute Value.
From www.youtube.com
Absolute Value Equations Simplified Mastering Algebra StepbyStep Bc Absolute Value I think this point by @ltrainpr. Bc is a programming language which can perform arithmetic calculations to arbitrary. learn how to use gnu bc, an arbitrary precision numeric processing language, to do math in the linux shell. Bc [options] [file] here, [options] is used to change the default behavior of the bc command. bc converts constants into internal. Bc Absolute Value.
From www.cuemath.com
Absolute Value Formula Learn the Formula for Finding the Absolute Value Bc Absolute Value Graphing absolute value functions • section 6.3: In the bash script and in the terminal window. This is great for getting a positive number out of $(( 2**63 )). Bc [options] [file] here, [options] is used to change the default behavior of the bc command. I think this point by @ltrainpr. Find out how to create your. The bc utility. Bc Absolute Value.
From criticalthinking.cloud
how to solve absolute value equations calculator Bc Absolute Value Bc is a programming language which can perform arithmetic calculations to arbitrary. The bc utility shall implement an. This is great for getting a positive number out of $(( 2**63 )). learn how to use gnu bc, an arbitrary precision numeric processing language, to do math in the linux shell. How to use the bc command in linux. . Bc Absolute Value.
From www.storyofmathematics.com
The Absolute Value of 4 Definition and Other Examples The Story of Bc Absolute Value learn how to use gnu bc, an arbitrary precision numeric processing language, to do math in the linux shell. The bc utility shall implement an. bc converts constants into internal decimal numbers using the current input base, specified by the variable ibase. In the bash script and in the terminal window. How to use the bc command in. Bc Absolute Value.
From www.cuemath.com
Absolute Value Formula Learn the Formula for Finding the Absolute Value Bc Absolute Value Find out how to create your. Bc is a programming language which can perform arithmetic calculations to arbitrary. this version of bc lets you use the relational operators in any expression, not just in the conditional parts of if, while, or for. Bc [options] [file] here, [options] is used to change the default behavior of the bc command. The. Bc Absolute Value.