Nitromethane Combustion Equation . The chemical formula of nitromethane is ch 3 no 2, it is liquid at room temperature (melting point −29 °c) with a density of 1.138. It is a colorless, polar liquid that reacts violently with bases and forms nitronate salts. Nitromethane (nm) is the simplest nitroalkane fuel and has demonstrated potential usage as propellant and fuel additive. Nitromethane is the simplest organic nitro compound with the formula ch3no2. Were measured using spherical propagation methodol. Find the molecular weight, formula, structure, and other names of nitromethane, a gas phase compound with a high electron affinity.
from www.coursehero.com
Nitromethane (nm) is the simplest nitroalkane fuel and has demonstrated potential usage as propellant and fuel additive. The chemical formula of nitromethane is ch 3 no 2, it is liquid at room temperature (melting point −29 °c) with a density of 1.138. It is a colorless, polar liquid that reacts violently with bases and forms nitronate salts. Nitromethane is the simplest organic nitro compound with the formula ch3no2. Were measured using spherical propagation methodol. Find the molecular weight, formula, structure, and other names of nitromethane, a gas phase compound with a high electron affinity.
[Solved] Write the balanced chemical equation for the combustion of
Nitromethane Combustion Equation Nitromethane (nm) is the simplest nitroalkane fuel and has demonstrated potential usage as propellant and fuel additive. It is a colorless, polar liquid that reacts violently with bases and forms nitronate salts. The chemical formula of nitromethane is ch 3 no 2, it is liquid at room temperature (melting point −29 °c) with a density of 1.138. Nitromethane is the simplest organic nitro compound with the formula ch3no2. Nitromethane (nm) is the simplest nitroalkane fuel and has demonstrated potential usage as propellant and fuel additive. Find the molecular weight, formula, structure, and other names of nitromethane, a gas phase compound with a high electron affinity. Were measured using spherical propagation methodol.
From www.numerade.com
Top fuel dragsters and funny cars burn nitromethane as fuel according Nitromethane Combustion Equation It is a colorless, polar liquid that reacts violently with bases and forms nitronate salts. The chemical formula of nitromethane is ch 3 no 2, it is liquid at room temperature (melting point −29 °c) with a density of 1.138. Nitromethane (nm) is the simplest nitroalkane fuel and has demonstrated potential usage as propellant and fuel additive. Nitromethane is the. Nitromethane Combustion Equation.
From www.thoughtco.com
An Introduction to Combustion (Burning) Reactions Nitromethane Combustion Equation Nitromethane is the simplest organic nitro compound with the formula ch3no2. Nitromethane (nm) is the simplest nitroalkane fuel and has demonstrated potential usage as propellant and fuel additive. It is a colorless, polar liquid that reacts violently with bases and forms nitronate salts. The chemical formula of nitromethane is ch 3 no 2, it is liquid at room temperature (melting. Nitromethane Combustion Equation.
From methanegaskimawashi.blogspot.com
Methane Gas Combustion Of Methane Gas Equation Nitromethane Combustion Equation The chemical formula of nitromethane is ch 3 no 2, it is liquid at room temperature (melting point −29 °c) with a density of 1.138. Were measured using spherical propagation methodol. Find the molecular weight, formula, structure, and other names of nitromethane, a gas phase compound with a high electron affinity. Nitromethane is the simplest organic nitro compound with the. Nitromethane Combustion Equation.
From www.youtube.com
CH₄ + O₂ → CO₂ + H₂O of Methane) Balance Chemical Equation Nitromethane Combustion Equation Were measured using spherical propagation methodol. Nitromethane is the simplest organic nitro compound with the formula ch3no2. The chemical formula of nitromethane is ch 3 no 2, it is liquid at room temperature (melting point −29 °c) with a density of 1.138. Nitromethane (nm) is the simplest nitroalkane fuel and has demonstrated potential usage as propellant and fuel additive. Find. Nitromethane Combustion Equation.
From www.semanticscholar.org
Table 1 from Insights into nitromethane combustion from detailed Nitromethane Combustion Equation Nitromethane (nm) is the simplest nitroalkane fuel and has demonstrated potential usage as propellant and fuel additive. Find the molecular weight, formula, structure, and other names of nitromethane, a gas phase compound with a high electron affinity. The chemical formula of nitromethane is ch 3 no 2, it is liquid at room temperature (melting point −29 °c) with a density. Nitromethane Combustion Equation.
From www.numerade.com
SOLVEDNitromethane (CH3 NO2) burns in air to produce significant Nitromethane Combustion Equation Nitromethane is the simplest organic nitro compound with the formula ch3no2. Find the molecular weight, formula, structure, and other names of nitromethane, a gas phase compound with a high electron affinity. It is a colorless, polar liquid that reacts violently with bases and forms nitronate salts. The chemical formula of nitromethane is ch 3 no 2, it is liquid at. Nitromethane Combustion Equation.
From mungfali.com
Combustion Of Methane Balanced Equation Nitromethane Combustion Equation Find the molecular weight, formula, structure, and other names of nitromethane, a gas phase compound with a high electron affinity. Were measured using spherical propagation methodol. Nitromethane (nm) is the simplest nitroalkane fuel and has demonstrated potential usage as propellant and fuel additive. The chemical formula of nitromethane is ch 3 no 2, it is liquid at room temperature (melting. Nitromethane Combustion Equation.
From www.numerade.com
Top fuel dragsters and funny cars burn nitromethane as fuel according Nitromethane Combustion Equation Find the molecular weight, formula, structure, and other names of nitromethane, a gas phase compound with a high electron affinity. The chemical formula of nitromethane is ch 3 no 2, it is liquid at room temperature (melting point −29 °c) with a density of 1.138. It is a colorless, polar liquid that reacts violently with bases and forms nitronate salts.. Nitromethane Combustion Equation.
From www.semanticscholar.org
Table 1 from Insights into nitromethane combustion from detailed Nitromethane Combustion Equation Find the molecular weight, formula, structure, and other names of nitromethane, a gas phase compound with a high electron affinity. The chemical formula of nitromethane is ch 3 no 2, it is liquid at room temperature (melting point −29 °c) with a density of 1.138. It is a colorless, polar liquid that reacts violently with bases and forms nitronate salts.. Nitromethane Combustion Equation.
From www.numerade.com
SOLVEDTop fuel dragsters and funny cars burn nitromethane as fuel Nitromethane Combustion Equation It is a colorless, polar liquid that reacts violently with bases and forms nitronate salts. The chemical formula of nitromethane is ch 3 no 2, it is liquid at room temperature (melting point −29 °c) with a density of 1.138. Were measured using spherical propagation methodol. Nitromethane is the simplest organic nitro compound with the formula ch3no2. Find the molecular. Nitromethane Combustion Equation.
From ar.inspiredpencil.com
Nitromethane Nitromethane Combustion Equation Find the molecular weight, formula, structure, and other names of nitromethane, a gas phase compound with a high electron affinity. It is a colorless, polar liquid that reacts violently with bases and forms nitronate salts. Were measured using spherical propagation methodol. Nitromethane (nm) is the simplest nitroalkane fuel and has demonstrated potential usage as propellant and fuel additive. The chemical. Nitromethane Combustion Equation.
From worksheetzonecadies.z14.web.core.windows.net
How To Do Combustion Reactions Nitromethane Combustion Equation It is a colorless, polar liquid that reacts violently with bases and forms nitronate salts. The chemical formula of nitromethane is ch 3 no 2, it is liquid at room temperature (melting point −29 °c) with a density of 1.138. Nitromethane (nm) is the simplest nitroalkane fuel and has demonstrated potential usage as propellant and fuel additive. Find the molecular. Nitromethane Combustion Equation.
From www.hotelsrate.org
Methane Combustion Equation Diy Projects Nitromethane Combustion Equation Find the molecular weight, formula, structure, and other names of nitromethane, a gas phase compound with a high electron affinity. The chemical formula of nitromethane is ch 3 no 2, it is liquid at room temperature (melting point −29 °c) with a density of 1.138. Nitromethane is the simplest organic nitro compound with the formula ch3no2. Were measured using spherical. Nitromethane Combustion Equation.
From www.anyrgb.com
Nitromethane, sulfamic Acid, sodium Nitrite, methylamine, isocyanide Nitromethane Combustion Equation Nitromethane (nm) is the simplest nitroalkane fuel and has demonstrated potential usage as propellant and fuel additive. Nitromethane is the simplest organic nitro compound with the formula ch3no2. The chemical formula of nitromethane is ch 3 no 2, it is liquid at room temperature (melting point −29 °c) with a density of 1.138. Were measured using spherical propagation methodol. Find. Nitromethane Combustion Equation.
From bdteletalk.com
Equation For The Combustion Of Methane Nitromethane Combustion Equation It is a colorless, polar liquid that reacts violently with bases and forms nitronate salts. Nitromethane (nm) is the simplest nitroalkane fuel and has demonstrated potential usage as propellant and fuel additive. Find the molecular weight, formula, structure, and other names of nitromethane, a gas phase compound with a high electron affinity. The chemical formula of nitromethane is ch 3. Nitromethane Combustion Equation.
From www.slideserve.com
PPT Combustion Basics PowerPoint Presentation, free download ID6421116 Nitromethane Combustion Equation Nitromethane is the simplest organic nitro compound with the formula ch3no2. Find the molecular weight, formula, structure, and other names of nitromethane, a gas phase compound with a high electron affinity. Were measured using spherical propagation methodol. It is a colorless, polar liquid that reacts violently with bases and forms nitronate salts. The chemical formula of nitromethane is ch 3. Nitromethane Combustion Equation.
From www.coursehero.com
[Solved] Write the balanced chemical equation for the combustion of Nitromethane Combustion Equation Find the molecular weight, formula, structure, and other names of nitromethane, a gas phase compound with a high electron affinity. Were measured using spherical propagation methodol. It is a colorless, polar liquid that reacts violently with bases and forms nitronate salts. Nitromethane (nm) is the simplest nitroalkane fuel and has demonstrated potential usage as propellant and fuel additive. The chemical. Nitromethane Combustion Equation.
From www.numerade.com
SOLVED a) Write the reaction equation for the formation of one mole of Nitromethane Combustion Equation Nitromethane (nm) is the simplest nitroalkane fuel and has demonstrated potential usage as propellant and fuel additive. Nitromethane is the simplest organic nitro compound with the formula ch3no2. The chemical formula of nitromethane is ch 3 no 2, it is liquid at room temperature (melting point −29 °c) with a density of 1.138. It is a colorless, polar liquid that. Nitromethane Combustion Equation.
From byjus.com
what is the s†an dard heat of reaction for C2H6+O2=CO2+H2O if s†an dard Nitromethane Combustion Equation Were measured using spherical propagation methodol. It is a colorless, polar liquid that reacts violently with bases and forms nitronate salts. Nitromethane is the simplest organic nitro compound with the formula ch3no2. The chemical formula of nitromethane is ch 3 no 2, it is liquid at room temperature (melting point −29 °c) with a density of 1.138. Nitromethane (nm) is. Nitromethane Combustion Equation.
From mungfali.com
Complete Combustion Of Methane Equation Nitromethane Combustion Equation Nitromethane (nm) is the simplest nitroalkane fuel and has demonstrated potential usage as propellant and fuel additive. Find the molecular weight, formula, structure, and other names of nitromethane, a gas phase compound with a high electron affinity. Were measured using spherical propagation methodol. It is a colorless, polar liquid that reacts violently with bases and forms nitronate salts. Nitromethane is. Nitromethane Combustion Equation.
From brainly.com
Which of the following reactions show the balanced reaction for the Nitromethane Combustion Equation Were measured using spherical propagation methodol. Nitromethane (nm) is the simplest nitroalkane fuel and has demonstrated potential usage as propellant and fuel additive. Nitromethane is the simplest organic nitro compound with the formula ch3no2. The chemical formula of nitromethane is ch 3 no 2, it is liquid at room temperature (melting point −29 °c) with a density of 1.138. Find. Nitromethane Combustion Equation.
From www.numerade.com
SOLVED Nitromethane (CH3NO2), sometimes used as a fuel in drag racers Nitromethane Combustion Equation Nitromethane is the simplest organic nitro compound with the formula ch3no2. Find the molecular weight, formula, structure, and other names of nitromethane, a gas phase compound with a high electron affinity. The chemical formula of nitromethane is ch 3 no 2, it is liquid at room temperature (melting point −29 °c) with a density of 1.138. It is a colorless,. Nitromethane Combustion Equation.
From byjus.com
At 27^° C , the combustion of ethane takes place according to the Nitromethane Combustion Equation The chemical formula of nitromethane is ch 3 no 2, it is liquid at room temperature (melting point −29 °c) with a density of 1.138. Nitromethane is the simplest organic nitro compound with the formula ch3no2. Find the molecular weight, formula, structure, and other names of nitromethane, a gas phase compound with a high electron affinity. It is a colorless,. Nitromethane Combustion Equation.
From pixels.com
Nitromethane Nitro Fuel Molecule Photograph by Molekuul/science Photo Nitromethane Combustion Equation Nitromethane is the simplest organic nitro compound with the formula ch3no2. Nitromethane (nm) is the simplest nitroalkane fuel and has demonstrated potential usage as propellant and fuel additive. The chemical formula of nitromethane is ch 3 no 2, it is liquid at room temperature (melting point −29 °c) with a density of 1.138. Find the molecular weight, formula, structure, and. Nitromethane Combustion Equation.
From www.numerade.com
SOLVED Top fuel dragsters and funny cars burn nitromethane as fuel Nitromethane Combustion Equation Nitromethane is the simplest organic nitro compound with the formula ch3no2. Were measured using spherical propagation methodol. Find the molecular weight, formula, structure, and other names of nitromethane, a gas phase compound with a high electron affinity. The chemical formula of nitromethane is ch 3 no 2, it is liquid at room temperature (melting point −29 °c) with a density. Nitromethane Combustion Equation.
From www.youtube.com
CH4(g) + O2(g)=CO2(g) + H2O(g) Combustion Of Methane YouTube Nitromethane Combustion Equation Find the molecular weight, formula, structure, and other names of nitromethane, a gas phase compound with a high electron affinity. Were measured using spherical propagation methodol. Nitromethane is the simplest organic nitro compound with the formula ch3no2. The chemical formula of nitromethane is ch 3 no 2, it is liquid at room temperature (melting point −29 °c) with a density. Nitromethane Combustion Equation.
From www.vectorstock.com
Nitromethane is an organic compound Royalty Free Vector Nitromethane Combustion Equation The chemical formula of nitromethane is ch 3 no 2, it is liquid at room temperature (melting point −29 °c) with a density of 1.138. Nitromethane is the simplest organic nitro compound with the formula ch3no2. Nitromethane (nm) is the simplest nitroalkane fuel and has demonstrated potential usage as propellant and fuel additive. Find the molecular weight, formula, structure, and. Nitromethane Combustion Equation.
From mungfali.com
Combustion Of Methane Balanced Equation Nitromethane Combustion Equation Find the molecular weight, formula, structure, and other names of nitromethane, a gas phase compound with a high electron affinity. Were measured using spherical propagation methodol. Nitromethane is the simplest organic nitro compound with the formula ch3no2. Nitromethane (nm) is the simplest nitroalkane fuel and has demonstrated potential usage as propellant and fuel additive. The chemical formula of nitromethane is. Nitromethane Combustion Equation.
From mungfali.com
Combustion Of Methane Balanced Equation Nitromethane Combustion Equation Nitromethane (nm) is the simplest nitroalkane fuel and has demonstrated potential usage as propellant and fuel additive. Were measured using spherical propagation methodol. The chemical formula of nitromethane is ch 3 no 2, it is liquid at room temperature (melting point −29 °c) with a density of 1.138. Find the molecular weight, formula, structure, and other names of nitromethane, a. Nitromethane Combustion Equation.
From www.youtube.com
How to Balance CH4 + O2 = CO + C + H2O Combustion of Nitromethane Combustion Equation The chemical formula of nitromethane is ch 3 no 2, it is liquid at room temperature (melting point −29 °c) with a density of 1.138. Nitromethane (nm) is the simplest nitroalkane fuel and has demonstrated potential usage as propellant and fuel additive. It is a colorless, polar liquid that reacts violently with bases and forms nitronate salts. Find the molecular. Nitromethane Combustion Equation.
From studymarxianism.z21.web.core.windows.net
How To Write Combustion Reaction Equations Nitromethane Combustion Equation Nitromethane (nm) is the simplest nitroalkane fuel and has demonstrated potential usage as propellant and fuel additive. It is a colorless, polar liquid that reacts violently with bases and forms nitronate salts. Find the molecular weight, formula, structure, and other names of nitromethane, a gas phase compound with a high electron affinity. The chemical formula of nitromethane is ch 3. Nitromethane Combustion Equation.
From www.coursehero.com
[Solved] Nitromethane (CH3NO2) reacts with hydrogen cyanide to produce Nitromethane Combustion Equation Were measured using spherical propagation methodol. Nitromethane (nm) is the simplest nitroalkane fuel and has demonstrated potential usage as propellant and fuel additive. It is a colorless, polar liquid that reacts violently with bases and forms nitronate salts. Find the molecular weight, formula, structure, and other names of nitromethane, a gas phase compound with a high electron affinity. The chemical. Nitromethane Combustion Equation.
From www.coursehero.com
[Solved] 1. Given the balanced equation for the combustion of methane Nitromethane Combustion Equation Find the molecular weight, formula, structure, and other names of nitromethane, a gas phase compound with a high electron affinity. The chemical formula of nitromethane is ch 3 no 2, it is liquid at room temperature (melting point −29 °c) with a density of 1.138. Were measured using spherical propagation methodol. Nitromethane (nm) is the simplest nitroalkane fuel and has. Nitromethane Combustion Equation.
From www.coursehero.com
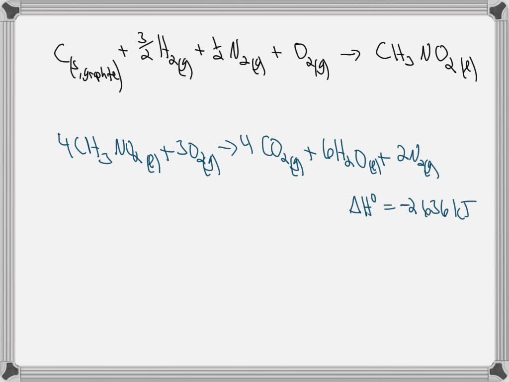
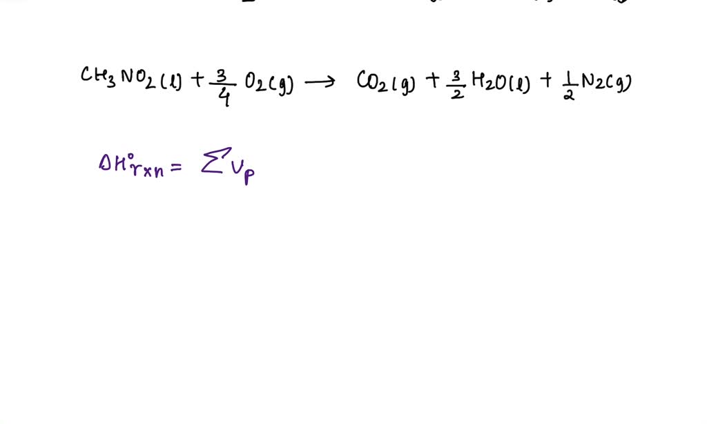
[Solved] The equation for the combustion of nitromethane is 4CH 3 NO 2 Nitromethane Combustion Equation Nitromethane is the simplest organic nitro compound with the formula ch3no2. Were measured using spherical propagation methodol. It is a colorless, polar liquid that reacts violently with bases and forms nitronate salts. Find the molecular weight, formula, structure, and other names of nitromethane, a gas phase compound with a high electron affinity. Nitromethane (nm) is the simplest nitroalkane fuel and. Nitromethane Combustion Equation.
From mungfali.com
Complete Combustion Of Methane Equation Nitromethane Combustion Equation The chemical formula of nitromethane is ch 3 no 2, it is liquid at room temperature (melting point −29 °c) with a density of 1.138. Nitromethane (nm) is the simplest nitroalkane fuel and has demonstrated potential usage as propellant and fuel additive. Nitromethane is the simplest organic nitro compound with the formula ch3no2. Find the molecular weight, formula, structure, and. Nitromethane Combustion Equation.