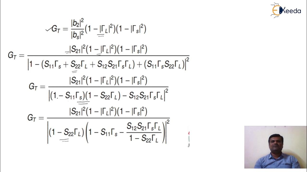
Transducer Power Gain Formula . Power gain is defined as: It is the only* function of the dut 2. This gain is \(g_{t}\) with optimum \(m_{2}\). That is, \(g_{a}\) is the system gain \(g\) with lossless \(m_{1}\) and \(m_{2}\) both optimized for maximum power transfer. There are three standard ways of defining amplifier gain: Mason's gain is invariant with respect to embedding the device in a lossless reciprocal network. This ratio serves as a pivotal metric in evaluating the efficiency and effectiveness of power transfer within the system. The transducer gain is the power available to the load relative to the input power available from the source. Under this condition, γin = s11 and γout = s22 (from equation 3, 4), which gives us a way to calculate the transducer power gain of. By a 2 port ‘network’ we mean almost any rf device that has 2 ports, with suitable connectors, that we can safely measure on the vna using.
from www.researchgate.net
By a 2 port ‘network’ we mean almost any rf device that has 2 ports, with suitable connectors, that we can safely measure on the vna using. This ratio serves as a pivotal metric in evaluating the efficiency and effectiveness of power transfer within the system. It is the only* function of the dut 2. Under this condition, γin = s11 and γout = s22 (from equation 3, 4), which gives us a way to calculate the transducer power gain of. There are three standard ways of defining amplifier gain: The transducer gain is the power available to the load relative to the input power available from the source. Power gain is defined as: This gain is \(g_{t}\) with optimum \(m_{2}\). That is, \(g_{a}\) is the system gain \(g\) with lossless \(m_{1}\) and \(m_{2}\) both optimized for maximum power transfer. Mason's gain is invariant with respect to embedding the device in a lossless reciprocal network.
Transducer power gain of filters in eighth degree Download Scientific
Transducer Power Gain Formula There are three standard ways of defining amplifier gain: There are three standard ways of defining amplifier gain: Power gain is defined as: The transducer gain is the power available to the load relative to the input power available from the source. By a 2 port ‘network’ we mean almost any rf device that has 2 ports, with suitable connectors, that we can safely measure on the vna using. That is, \(g_{a}\) is the system gain \(g\) with lossless \(m_{1}\) and \(m_{2}\) both optimized for maximum power transfer. Mason's gain is invariant with respect to embedding the device in a lossless reciprocal network. Under this condition, γin = s11 and γout = s22 (from equation 3, 4), which gives us a way to calculate the transducer power gain of. This gain is \(g_{t}\) with optimum \(m_{2}\). It is the only* function of the dut 2. This ratio serves as a pivotal metric in evaluating the efficiency and effectiveness of power transfer within the system.
From www.researchgate.net
Transducer power gain Download Scientific Diagram Transducer Power Gain Formula The transducer gain is the power available to the load relative to the input power available from the source. This ratio serves as a pivotal metric in evaluating the efficiency and effectiveness of power transfer within the system. It is the only* function of the dut 2. By a 2 port ‘network’ we mean almost any rf device that has. Transducer Power Gain Formula.
From www.researchgate.net
Transducer power gain Download Scientific Diagram Transducer Power Gain Formula This gain is \(g_{t}\) with optimum \(m_{2}\). Power gain is defined as: The transducer gain is the power available to the load relative to the input power available from the source. This ratio serves as a pivotal metric in evaluating the efficiency and effectiveness of power transfer within the system. Mason's gain is invariant with respect to embedding the device. Transducer Power Gain Formula.
From www.researchgate.net
Power gain, transducer gain, and available gain of coupling Transducer Power Gain Formula Power gain is defined as: This gain is \(g_{t}\) with optimum \(m_{2}\). Under this condition, γin = s11 and γout = s22 (from equation 3, 4), which gives us a way to calculate the transducer power gain of. It is the only* function of the dut 2. Mason's gain is invariant with respect to embedding the device in a lossless. Transducer Power Gain Formula.
From www.researchgate.net
Transducer power gain of the HF antenna optimized over = [2; 8] (dashed Transducer Power Gain Formula There are three standard ways of defining amplifier gain: Mason's gain is invariant with respect to embedding the device in a lossless reciprocal network. By a 2 port ‘network’ we mean almost any rf device that has 2 ports, with suitable connectors, that we can safely measure on the vna using. That is, \(g_{a}\) is the system gain \(g\) with. Transducer Power Gain Formula.
From www.researchgate.net
a Poweradded efficiency, b transducer power gain, c output RF power Transducer Power Gain Formula This gain is \(g_{t}\) with optimum \(m_{2}\). That is, \(g_{a}\) is the system gain \(g\) with lossless \(m_{1}\) and \(m_{2}\) both optimized for maximum power transfer. Mason's gain is invariant with respect to embedding the device in a lossless reciprocal network. The transducer gain is the power available to the load relative to the input power available from the source.. Transducer Power Gain Formula.
From www.researchgate.net
(a) Poweradded efficiency, (b) transducer power gain, (c) direct drain Transducer Power Gain Formula This gain is \(g_{t}\) with optimum \(m_{2}\). It is the only* function of the dut 2. There are three standard ways of defining amplifier gain: Power gain is defined as: Mason's gain is invariant with respect to embedding the device in a lossless reciprocal network. That is, \(g_{a}\) is the system gain \(g\) with lossless \(m_{1}\) and \(m_{2}\) both optimized. Transducer Power Gain Formula.
From www.researchgate.net
Power gain, transducer gain, and available gain of coupling Transducer Power Gain Formula This ratio serves as a pivotal metric in evaluating the efficiency and effectiveness of power transfer within the system. That is, \(g_{a}\) is the system gain \(g\) with lossless \(m_{1}\) and \(m_{2}\) both optimized for maximum power transfer. It is the only* function of the dut 2. There are three standard ways of defining amplifier gain: The transducer gain is. Transducer Power Gain Formula.
From www.researchgate.net
Transducer power gain of filters in eighth degree Download Scientific Transducer Power Gain Formula By a 2 port ‘network’ we mean almost any rf device that has 2 ports, with suitable connectors, that we can safely measure on the vna using. Under this condition, γin = s11 and γout = s22 (from equation 3, 4), which gives us a way to calculate the transducer power gain of. It is the only* function of the. Transducer Power Gain Formula.
From byjus.com
The power gain of a common emitter amplifier of voltage gain 50 and Transducer Power Gain Formula This ratio serves as a pivotal metric in evaluating the efficiency and effectiveness of power transfer within the system. There are three standard ways of defining amplifier gain: The transducer gain is the power available to the load relative to the input power available from the source. Under this condition, γin = s11 and γout = s22 (from equation 3,. Transducer Power Gain Formula.
From www.researchgate.net
Measured transducer power gain and output power at 61.5 GHz versus Transducer Power Gain Formula By a 2 port ‘network’ we mean almost any rf device that has 2 ports, with suitable connectors, that we can safely measure on the vna using. This ratio serves as a pivotal metric in evaluating the efficiency and effectiveness of power transfer within the system. It is the only* function of the dut 2. There are three standard ways. Transducer Power Gain Formula.
From www.youtube.com
Transducer Power Gain of an Amplifier Part1 YouTube Transducer Power Gain Formula Under this condition, γin = s11 and γout = s22 (from equation 3, 4), which gives us a way to calculate the transducer power gain of. There are three standard ways of defining amplifier gain: This ratio serves as a pivotal metric in evaluating the efficiency and effectiveness of power transfer within the system. The transducer gain is the power. Transducer Power Gain Formula.
From www.researchgate.net
Transducer power gain as a function of the frequency for both the Transducer Power Gain Formula It is the only* function of the dut 2. This gain is \(g_{t}\) with optimum \(m_{2}\). Mason's gain is invariant with respect to embedding the device in a lossless reciprocal network. Power gain is defined as: The transducer gain is the power available to the load relative to the input power available from the source. This ratio serves as a. Transducer Power Gain Formula.
From www.researchgate.net
Measured drain efficiency, output power, and transducer power gain of Transducer Power Gain Formula This gain is \(g_{t}\) with optimum \(m_{2}\). Under this condition, γin = s11 and γout = s22 (from equation 3, 4), which gives us a way to calculate the transducer power gain of. That is, \(g_{a}\) is the system gain \(g\) with lossless \(m_{1}\) and \(m_{2}\) both optimized for maximum power transfer. There are three standard ways of defining amplifier. Transducer Power Gain Formula.
From www.youtube.com
Available power gain tutorial Ga Microwave Amplifier Course YouTube Transducer Power Gain Formula It is the only* function of the dut 2. Power gain is defined as: Mason's gain is invariant with respect to embedding the device in a lossless reciprocal network. There are three standard ways of defining amplifier gain: This ratio serves as a pivotal metric in evaluating the efficiency and effectiveness of power transfer within the system. The transducer gain. Transducer Power Gain Formula.
From www.youtube.com
Types of Power Gains in Amplifier MCQ Transducer Power gain Transducer Power Gain Formula By a 2 port ‘network’ we mean almost any rf device that has 2 ports, with suitable connectors, that we can safely measure on the vna using. Power gain is defined as: This ratio serves as a pivotal metric in evaluating the efficiency and effectiveness of power transfer within the system. Under this condition, γin = s11 and γout =. Transducer Power Gain Formula.
From www.youtube.com
RF Amplifier Transducer power gain(part 1) YouTube Transducer Power Gain Formula The transducer gain is the power available to the load relative to the input power available from the source. That is, \(g_{a}\) is the system gain \(g\) with lossless \(m_{1}\) and \(m_{2}\) both optimized for maximum power transfer. Power gain is defined as: This ratio serves as a pivotal metric in evaluating the efficiency and effectiveness of power transfer within. Transducer Power Gain Formula.
From www.researchgate.net
(a) Poweradded efficiency, (b) transducer power gain, (c) direct drain Transducer Power Gain Formula Power gain is defined as: By a 2 port ‘network’ we mean almost any rf device that has 2 ports, with suitable connectors, that we can safely measure on the vna using. That is, \(g_{a}\) is the system gain \(g\) with lossless \(m_{1}\) and \(m_{2}\) both optimized for maximum power transfer. Mason's gain is invariant with respect to embedding the. Transducer Power Gain Formula.
From www.researchgate.net
Transducer power gain (see online version for colours) Download Transducer Power Gain Formula That is, \(g_{a}\) is the system gain \(g\) with lossless \(m_{1}\) and \(m_{2}\) both optimized for maximum power transfer. Mason's gain is invariant with respect to embedding the device in a lossless reciprocal network. This gain is \(g_{t}\) with optimum \(m_{2}\). There are three standard ways of defining amplifier gain: It is the only* function of the dut 2. Under. Transducer Power Gain Formula.
From www.researchgate.net
Constant transducer power gain circle from 0.4 to 1dB with 0.2 dB step Transducer Power Gain Formula This gain is \(g_{t}\) with optimum \(m_{2}\). There are three standard ways of defining amplifier gain: Power gain is defined as: Mason's gain is invariant with respect to embedding the device in a lossless reciprocal network. By a 2 port ‘network’ we mean almost any rf device that has 2 ports, with suitable connectors, that we can safely measure on. Transducer Power Gain Formula.
From www.youtube.com
TRANSDUCER POWER GAIN YouTube Transducer Power Gain Formula Power gain is defined as: That is, \(g_{a}\) is the system gain \(g\) with lossless \(m_{1}\) and \(m_{2}\) both optimized for maximum power transfer. This ratio serves as a pivotal metric in evaluating the efficiency and effectiveness of power transfer within the system. By a 2 port ‘network’ we mean almost any rf device that has 2 ports, with suitable. Transducer Power Gain Formula.
From rahsoft.com
Available and Transducer Power Gain in TwoPort Networks Derivation Transducer Power Gain Formula By a 2 port ‘network’ we mean almost any rf device that has 2 ports, with suitable connectors, that we can safely measure on the vna using. Power gain is defined as: This gain is \(g_{t}\) with optimum \(m_{2}\). Under this condition, γin = s11 and γout = s22 (from equation 3, 4), which gives us a way to calculate. Transducer Power Gain Formula.
From giotpzhko.blob.core.windows.net
Transistor Formula Gain at Mary Bohr blog Transducer Power Gain Formula Under this condition, γin = s11 and γout = s22 (from equation 3, 4), which gives us a way to calculate the transducer power gain of. Mason's gain is invariant with respect to embedding the device in a lossless reciprocal network. It is the only* function of the dut 2. By a 2 port ‘network’ we mean almost any rf. Transducer Power Gain Formula.
From www.researchgate.net
Transducer power gain variation with gate voltage VGS for SMGJAMSG Transducer Power Gain Formula The transducer gain is the power available to the load relative to the input power available from the source. It is the only* function of the dut 2. Under this condition, γin = s11 and γout = s22 (from equation 3, 4), which gives us a way to calculate the transducer power gain of. This gain is \(g_{t}\) with optimum. Transducer Power Gain Formula.
From www.youtube.com
Instrumentation Amplifier using Transducer bridge(Derivation and Transducer Power Gain Formula Power gain is defined as: This ratio serves as a pivotal metric in evaluating the efficiency and effectiveness of power transfer within the system. It is the only* function of the dut 2. Mason's gain is invariant with respect to embedding the device in a lossless reciprocal network. There are three standard ways of defining amplifier gain: Under this condition,. Transducer Power Gain Formula.
From www.researchgate.net
Transducer power gain of filters in sixth degree Download Scientific Transducer Power Gain Formula By a 2 port ‘network’ we mean almost any rf device that has 2 ports, with suitable connectors, that we can safely measure on the vna using. Under this condition, γin = s11 and γout = s22 (from equation 3, 4), which gives us a way to calculate the transducer power gain of. This ratio serves as a pivotal metric. Transducer Power Gain Formula.
From www.researchgate.net
Transducer power gain of the direct connection. Download Scientific Transducer Power Gain Formula That is, \(g_{a}\) is the system gain \(g\) with lossless \(m_{1}\) and \(m_{2}\) both optimized for maximum power transfer. Under this condition, γin = s11 and γout = s22 (from equation 3, 4), which gives us a way to calculate the transducer power gain of. It is the only* function of the dut 2. This ratio serves as a pivotal. Transducer Power Gain Formula.
From www.allaboutcircuits.com
Using the Operating Power Gain to Design a Bilateral RF Amplifier Transducer Power Gain Formula Mason's gain is invariant with respect to embedding the device in a lossless reciprocal network. Power gain is defined as: This ratio serves as a pivotal metric in evaluating the efficiency and effectiveness of power transfer within the system. Under this condition, γin = s11 and γout = s22 (from equation 3, 4), which gives us a way to calculate. Transducer Power Gain Formula.
From rahsoft.com
Power Gain and Voltage Gain in dB Rahsoft Transducer Power Gain Formula This ratio serves as a pivotal metric in evaluating the efficiency and effectiveness of power transfer within the system. Power gain is defined as: There are three standard ways of defining amplifier gain: Under this condition, γin = s11 and γout = s22 (from equation 3, 4), which gives us a way to calculate the transducer power gain of. By. Transducer Power Gain Formula.
From www.researchgate.net
Measured (symbols) and modeled (lines) output power (Pout), transducer Transducer Power Gain Formula The transducer gain is the power available to the load relative to the input power available from the source. Power gain is defined as: Mason's gain is invariant with respect to embedding the device in a lossless reciprocal network. This gain is \(g_{t}\) with optimum \(m_{2}\). Under this condition, γin = s11 and γout = s22 (from equation 3, 4),. Transducer Power Gain Formula.
From www.researchgate.net
a The poweradded efficiency, b transducer power gain, c output RF Transducer Power Gain Formula By a 2 port ‘network’ we mean almost any rf device that has 2 ports, with suitable connectors, that we can safely measure on the vna using. Mason's gain is invariant with respect to embedding the device in a lossless reciprocal network. This ratio serves as a pivotal metric in evaluating the efficiency and effectiveness of power transfer within the. Transducer Power Gain Formula.
From www.youtube.com
Transducer Power Gain of an Amplifier Part2 Amplifier Design RF Transducer Power Gain Formula That is, \(g_{a}\) is the system gain \(g\) with lossless \(m_{1}\) and \(m_{2}\) both optimized for maximum power transfer. It is the only* function of the dut 2. Under this condition, γin = s11 and γout = s22 (from equation 3, 4), which gives us a way to calculate the transducer power gain of. Power gain is defined as: There. Transducer Power Gain Formula.
From www.researchgate.net
Constant transducer power gain circles (from −8 to −2 dB with 2 dB Transducer Power Gain Formula The transducer gain is the power available to the load relative to the input power available from the source. This ratio serves as a pivotal metric in evaluating the efficiency and effectiveness of power transfer within the system. That is, \(g_{a}\) is the system gain \(g\) with lossless \(m_{1}\) and \(m_{2}\) both optimized for maximum power transfer. There are three. Transducer Power Gain Formula.
From www.researchgate.net
Transducer power gain and noise figure of various receiver stages as Transducer Power Gain Formula Under this condition, γin = s11 and γout = s22 (from equation 3, 4), which gives us a way to calculate the transducer power gain of. Power gain is defined as: There are three standard ways of defining amplifier gain: It is the only* function of the dut 2. The transducer gain is the power available to the load relative. Transducer Power Gain Formula.
From www.researchgate.net
Example of constant Noise Figure (í µí°¹) and constant Transducer Power Transducer Power Gain Formula It is the only* function of the dut 2. That is, \(g_{a}\) is the system gain \(g\) with lossless \(m_{1}\) and \(m_{2}\) both optimized for maximum power transfer. The transducer gain is the power available to the load relative to the input power available from the source. Under this condition, γin = s11 and γout = s22 (from equation 3,. Transducer Power Gain Formula.
From www.researchgate.net
a Poweradded efficiency, b transducer power gain, c output RF power, d Transducer Power Gain Formula The transducer gain is the power available to the load relative to the input power available from the source. Mason's gain is invariant with respect to embedding the device in a lossless reciprocal network. Power gain is defined as: It is the only* function of the dut 2. That is, \(g_{a}\) is the system gain \(g\) with lossless \(m_{1}\) and. Transducer Power Gain Formula.