Not A Valid Probability Value . Study with quizlet and memorize flashcards containing terms like what is the formula to calculate p(a ̅)?, which of the following values. A probability is always a positive. The probability distribution of x lists all the possible values of x and their corresponding probabilities. How to determine if a probability distribution is valid. This is not a valid probability distribution. All of the probabilities are between zero and one, inclusive, but the sum of the probabilities is 1.15 not 1.00. The correct option is c 3 2. As we know, for any event, probability = number of favorable outcomes total number of possible outcomes,. Determine whether each probability is greater than or equal to 0 and less than or. All are valid probabilities except the following 3: 50%, which of the following is not a valid probability? 6/5, there are 5 cards face down on a table with the values 1,. A valid discrete probability distribution has to satisfy two.
from present5.com
This is not a valid probability distribution. All are valid probabilities except the following 3: 50%, which of the following is not a valid probability? Determine whether each probability is greater than or equal to 0 and less than or. All of the probabilities are between zero and one, inclusive, but the sum of the probabilities is 1.15 not 1.00. Study with quizlet and memorize flashcards containing terms like what is the formula to calculate p(a ̅)?, which of the following values. A valid discrete probability distribution has to satisfy two. The correct option is c 3 2. The probability distribution of x lists all the possible values of x and their corresponding probabilities. A probability is always a positive.
CHAPTER 5 DISCRETE PROBABILITY DISTRIBUTIONS 1 2
Not A Valid Probability Value All of the probabilities are between zero and one, inclusive, but the sum of the probabilities is 1.15 not 1.00. A valid discrete probability distribution has to satisfy two. All are valid probabilities except the following 3: All of the probabilities are between zero and one, inclusive, but the sum of the probabilities is 1.15 not 1.00. A probability is always a positive. The correct option is c 3 2. As we know, for any event, probability = number of favorable outcomes total number of possible outcomes,. 50%, which of the following is not a valid probability? This is not a valid probability distribution. Determine whether each probability is greater than or equal to 0 and less than or. 6/5, there are 5 cards face down on a table with the values 1,. Study with quizlet and memorize flashcards containing terms like what is the formula to calculate p(a ̅)?, which of the following values. The probability distribution of x lists all the possible values of x and their corresponding probabilities. How to determine if a probability distribution is valid.
From www.chegg.com
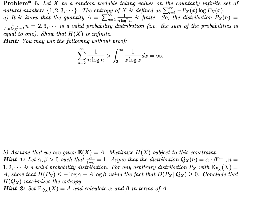
Problem* 6. Let X be a random variable taking values Not A Valid Probability Value All of the probabilities are between zero and one, inclusive, but the sum of the probabilities is 1.15 not 1.00. 50%, which of the following is not a valid probability? A probability is always a positive. The probability distribution of x lists all the possible values of x and their corresponding probabilities. Determine whether each probability is greater than or. Not A Valid Probability Value.
From present5.com
CHAPTER 5 DISCRETE PROBABILITY DISTRIBUTIONS 1 2 Not A Valid Probability Value The correct option is c 3 2. How to determine if a probability distribution is valid. All of the probabilities are between zero and one, inclusive, but the sum of the probabilities is 1.15 not 1.00. 50%, which of the following is not a valid probability? Determine whether each probability is greater than or equal to 0 and less than. Not A Valid Probability Value.
From www.chegg.com
Solved Problem 3. Probability Density Functions 2 Puntos Not A Valid Probability Value The correct option is c 3 2. This is not a valid probability distribution. How to determine if a probability distribution is valid. The probability distribution of x lists all the possible values of x and their corresponding probabilities. All are valid probabilities except the following 3: As we know, for any event, probability = number of favorable outcomes total. Not A Valid Probability Value.
From calcworkshop.com
Discrete Random Variable (11+ StepbyStep Examples!) Not A Valid Probability Value This is not a valid probability distribution. A probability is always a positive. A valid discrete probability distribution has to satisfy two. The correct option is c 3 2. 6/5, there are 5 cards face down on a table with the values 1,. Study with quizlet and memorize flashcards containing terms like what is the formula to calculate p(a ̅)?,. Not A Valid Probability Value.
From www.youtube.com
2011 General Maths HSC Q2 How to identify a valid probability value Not A Valid Probability Value The correct option is c 3 2. This is not a valid probability distribution. Study with quizlet and memorize flashcards containing terms like what is the formula to calculate p(a ̅)?, which of the following values. The probability distribution of x lists all the possible values of x and their corresponding probabilities. A probability is always a positive. How to. Not A Valid Probability Value.
From quantitative-probabilitydistribution.blogspot.com
Probability Distribution Valid Or Not Research Topics Not A Valid Probability Value The correct option is c 3 2. A valid discrete probability distribution has to satisfy two. 6/5, there are 5 cards face down on a table with the values 1,. 50%, which of the following is not a valid probability? Determine whether each probability is greater than or equal to 0 and less than or. As we know, for any. Not A Valid Probability Value.
From quantitative-probabilitydistribution.blogspot.com
Which Is A Valid Probability Distribution Research Topics Not A Valid Probability Value A valid discrete probability distribution has to satisfy two. A probability is always a positive. This is not a valid probability distribution. Study with quizlet and memorize flashcards containing terms like what is the formula to calculate p(a ̅)?, which of the following values. As we know, for any event, probability = number of favorable outcomes total number of possible. Not A Valid Probability Value.
From www.chegg.com
Solved Which of the following is not a valid probability Not A Valid Probability Value A valid discrete probability distribution has to satisfy two. The probability distribution of x lists all the possible values of x and their corresponding probabilities. The correct option is c 3 2. 6/5, there are 5 cards face down on a table with the values 1,. As we know, for any event, probability = number of favorable outcomes total number. Not A Valid Probability Value.
From www.youtube.com
Probability Formulas, Symbols & Notations Marginal, Joint Not A Valid Probability Value All of the probabilities are between zero and one, inclusive, but the sum of the probabilities is 1.15 not 1.00. The probability distribution of x lists all the possible values of x and their corresponding probabilities. All are valid probabilities except the following 3: This is not a valid probability distribution. A probability is always a positive. The correct option. Not A Valid Probability Value.
From www.chegg.com
Solved 6) Is this a valid probability distribution? Say why, Not A Valid Probability Value This is not a valid probability distribution. 6/5, there are 5 cards face down on a table with the values 1,. How to determine if a probability distribution is valid. The correct option is c 3 2. Determine whether each probability is greater than or equal to 0 and less than or. The probability distribution of x lists all the. Not A Valid Probability Value.
From www.teachoo.com
Question 8 A random variable X has probability distribution Not A Valid Probability Value 50%, which of the following is not a valid probability? The correct option is c 3 2. A valid discrete probability distribution has to satisfy two. Study with quizlet and memorize flashcards containing terms like what is the formula to calculate p(a ̅)?, which of the following values. This is not a valid probability distribution. All are valid probabilities except. Not A Valid Probability Value.
From www.chegg.com
Solved Which of the following is a valid probability Not A Valid Probability Value Study with quizlet and memorize flashcards containing terms like what is the formula to calculate p(a ̅)?, which of the following values. A valid discrete probability distribution has to satisfy two. The probability distribution of x lists all the possible values of x and their corresponding probabilities. The correct option is c 3 2. This is not a valid probability. Not A Valid Probability Value.
From www.youtube.com
Discrete random variables probability tables part 1 (Ex 82) YouTube Not A Valid Probability Value 6/5, there are 5 cards face down on a table with the values 1,. A valid discrete probability distribution has to satisfy two. All are valid probabilities except the following 3: This is not a valid probability distribution. Determine whether each probability is greater than or equal to 0 and less than or. All of the probabilities are between zero. Not A Valid Probability Value.
From www.youtube.com
Statistics How to calculate Probability YouTube Not A Valid Probability Value The correct option is c 3 2. The probability distribution of x lists all the possible values of x and their corresponding probabilities. How to determine if a probability distribution is valid. A valid discrete probability distribution has to satisfy two. As we know, for any event, probability = number of favorable outcomes total number of possible outcomes,. All are. Not A Valid Probability Value.
From www.chegg.com
Solved Which of the following conditions must be met for a Not A Valid Probability Value This is not a valid probability distribution. As we know, for any event, probability = number of favorable outcomes total number of possible outcomes,. The correct option is c 3 2. Study with quizlet and memorize flashcards containing terms like what is the formula to calculate p(a ̅)?, which of the following values. The probability distribution of x lists all. Not A Valid Probability Value.
From www.slideserve.com
PPT Chapter 6 Discrete Probability Distributions PowerPoint Not A Valid Probability Value How to determine if a probability distribution is valid. As we know, for any event, probability = number of favorable outcomes total number of possible outcomes,. 6/5, there are 5 cards face down on a table with the values 1,. The probability distribution of x lists all the possible values of x and their corresponding probabilities. 50%, which of the. Not A Valid Probability Value.
From study.com
Developing Discrete Probability Distributions Theoretically & Finding Not A Valid Probability Value A valid discrete probability distribution has to satisfy two. All of the probabilities are between zero and one, inclusive, but the sum of the probabilities is 1.15 not 1.00. 50%, which of the following is not a valid probability? All are valid probabilities except the following 3: 6/5, there are 5 cards face down on a table with the values. Not A Valid Probability Value.
From solvedlib.com
Questons L = 48 The following table shows the probab… SolvedLib Not A Valid Probability Value As we know, for any event, probability = number of favorable outcomes total number of possible outcomes,. A probability is always a positive. A valid discrete probability distribution has to satisfy two. All of the probabilities are between zero and one, inclusive, but the sum of the probabilities is 1.15 not 1.00. This is not a valid probability distribution. Study. Not A Valid Probability Value.
From quantitative-probabilitydistribution.blogspot.com
Which Is A Valid Probability Distribution Research Topics Not A Valid Probability Value The correct option is c 3 2. 50%, which of the following is not a valid probability? All are valid probabilities except the following 3: Determine whether each probability is greater than or equal to 0 and less than or. The probability distribution of x lists all the possible values of x and their corresponding probabilities. All of the probabilities. Not A Valid Probability Value.
From www.chegg.com
Solved Determine whether or not the following tables Not A Valid Probability Value A valid discrete probability distribution has to satisfy two. 50%, which of the following is not a valid probability? Determine whether each probability is greater than or equal to 0 and less than or. All of the probabilities are between zero and one, inclusive, but the sum of the probabilities is 1.15 not 1.00. The probability distribution of x lists. Not A Valid Probability Value.
From brainly.com
Which of the following is a valid probability distribution? Not A Valid Probability Value Determine whether each probability is greater than or equal to 0 and less than or. All are valid probabilities except the following 3: A valid discrete probability distribution has to satisfy two. As we know, for any event, probability = number of favorable outcomes total number of possible outcomes,. Study with quizlet and memorize flashcards containing terms like what is. Not A Valid Probability Value.
From www.chegg.com
Solved 7. Which of the following is a valid probability Not A Valid Probability Value Study with quizlet and memorize flashcards containing terms like what is the formula to calculate p(a ̅)?, which of the following values. Determine whether each probability is greater than or equal to 0 and less than or. How to determine if a probability distribution is valid. A probability is always a positive. This is not a valid probability distribution. The. Not A Valid Probability Value.
From quantitative-probabilitydistribution.blogspot.com
Which Is A Valid Probability Distribution Research Topics Not A Valid Probability Value Study with quizlet and memorize flashcards containing terms like what is the formula to calculate p(a ̅)?, which of the following values. All of the probabilities are between zero and one, inclusive, but the sum of the probabilities is 1.15 not 1.00. A probability is always a positive. A valid discrete probability distribution has to satisfy two. The correct option. Not A Valid Probability Value.
From www.slideserve.com
PPT Notes From David Palay Chapter 5.1 Introduction to Probability Not A Valid Probability Value All are valid probabilities except the following 3: A probability is always a positive. Study with quizlet and memorize flashcards containing terms like what is the formula to calculate p(a ̅)?, which of the following values. Determine whether each probability is greater than or equal to 0 and less than or. The probability distribution of x lists all the possible. Not A Valid Probability Value.
From www.chegg.com
For the 62andover group, use the midpoint 67 years. Not A Valid Probability Value The correct option is c 3 2. Determine whether each probability is greater than or equal to 0 and less than or. 6/5, there are 5 cards face down on a table with the values 1,. As we know, for any event, probability = number of favorable outcomes total number of possible outcomes,. All of the probabilities are between zero. Not A Valid Probability Value.
From jaylin-has-rangel.blogspot.com
How to Find Missing Value in Probability Distribution JaylinhasRangel Not A Valid Probability Value A valid discrete probability distribution has to satisfy two. As we know, for any event, probability = number of favorable outcomes total number of possible outcomes,. How to determine if a probability distribution is valid. All are valid probabilities except the following 3: The correct option is c 3 2. 50%, which of the following is not a valid probability?. Not A Valid Probability Value.
From www.chegg.com
Solved Which one of the following is a valid value for a Not A Valid Probability Value A valid discrete probability distribution has to satisfy two. 6/5, there are 5 cards face down on a table with the values 1,. The correct option is c 3 2. 50%, which of the following is not a valid probability? This is not a valid probability distribution. All are valid probabilities except the following 3: The probability distribution of x. Not A Valid Probability Value.
From www.numerade.com
SOLVEDEach of the following tables lists certain values of x and their Not A Valid Probability Value 6/5, there are 5 cards face down on a table with the values 1,. A valid discrete probability distribution has to satisfy two. 50%, which of the following is not a valid probability? This is not a valid probability distribution. How to determine if a probability distribution is valid. As we know, for any event, probability = number of favorable. Not A Valid Probability Value.
From www.theacetutors.com
Probability Formula Cheat Sheet Statistics Ace Tutors Blog Not A Valid Probability Value Study with quizlet and memorize flashcards containing terms like what is the formula to calculate p(a ̅)?, which of the following values. 6/5, there are 5 cards face down on a table with the values 1,. All are valid probabilities except the following 3: 50%, which of the following is not a valid probability? A valid discrete probability distribution has. Not A Valid Probability Value.
From www.chegg.com
Solved Which of the following is not a legitimate Not A Valid Probability Value As we know, for any event, probability = number of favorable outcomes total number of possible outcomes,. The correct option is c 3 2. A probability is always a positive. This is not a valid probability distribution. The probability distribution of x lists all the possible values of x and their corresponding probabilities. 6/5, there are 5 cards face down. Not A Valid Probability Value.
From www.chegg.com
Solved 1 Continuous Random Variables I (a) Is each of the Not A Valid Probability Value How to determine if a probability distribution is valid. As we know, for any event, probability = number of favorable outcomes total number of possible outcomes,. All of the probabilities are between zero and one, inclusive, but the sum of the probabilities is 1.15 not 1.00. A valid discrete probability distribution has to satisfy two. 50%, which of the following. Not A Valid Probability Value.
From quantitative-probabilitydistribution.blogspot.com
Which Is A Valid Probability Distribution Research Topics Not A Valid Probability Value A valid discrete probability distribution has to satisfy two. 50%, which of the following is not a valid probability? Study with quizlet and memorize flashcards containing terms like what is the formula to calculate p(a ̅)?, which of the following values. 6/5, there are 5 cards face down on a table with the values 1,. A probability is always a. Not A Valid Probability Value.
From www.chegg.com
Solved Which of the following values cannot be Not A Valid Probability Value How to determine if a probability distribution is valid. Determine whether each probability is greater than or equal to 0 and less than or. A probability is always a positive. 6/5, there are 5 cards face down on a table with the values 1,. The probability distribution of x lists all the possible values of x and their corresponding probabilities.. Not A Valid Probability Value.
From www.chegg.com
Solved 1. Consider The Following Probability Density Func... Not A Valid Probability Value All of the probabilities are between zero and one, inclusive, but the sum of the probabilities is 1.15 not 1.00. 6/5, there are 5 cards face down on a table with the values 1,. Study with quizlet and memorize flashcards containing terms like what is the formula to calculate p(a ̅)?, which of the following values. 50%, which of the. Not A Valid Probability Value.
From www.youtube.com
Valid discrete probability distribution examples Random variables Not A Valid Probability Value This is not a valid probability distribution. 6/5, there are 5 cards face down on a table with the values 1,. Study with quizlet and memorize flashcards containing terms like what is the formula to calculate p(a ̅)?, which of the following values. 50%, which of the following is not a valid probability? Determine whether each probability is greater than. Not A Valid Probability Value.