Largest Area Rectangle Can Have . The rectangle will be a square of side length 1 √2 r. To maximize the area of a rectangle with a fixed perimeter, the optimal shape is a square. So with a perimeter of 28 feet,. Find the dimension of the rectangle of greatest area that can be inscribed in a circle of radius r? Find the largest possible rectangular area you can enclose, assuming you have 128 meters of fencing. What is the (geometric) significance of. The result you need is that for a rectangle with a given perimeter the square has the largest area. Find the dimensions of the largest rectangle that can be inscribed in a semicircle of radius r. By setting the length and width equal, the area is.
from www.nagwa.com
So with a perimeter of 28 feet,. Find the largest possible rectangular area you can enclose, assuming you have 128 meters of fencing. Find the dimension of the rectangle of greatest area that can be inscribed in a circle of radius r? Find the dimensions of the largest rectangle that can be inscribed in a semicircle of radius r. What is the (geometric) significance of. The rectangle will be a square of side length 1 √2 r. By setting the length and width equal, the area is. The result you need is that for a rectangle with a given perimeter the square has the largest area. To maximize the area of a rectangle with a fixed perimeter, the optimal shape is a square.
Question Video Identifying the Rectangle That Has the Larger Area Nagwa
Largest Area Rectangle Can Have By setting the length and width equal, the area is. To maximize the area of a rectangle with a fixed perimeter, the optimal shape is a square. So with a perimeter of 28 feet,. By setting the length and width equal, the area is. Find the dimensions of the largest rectangle that can be inscribed in a semicircle of radius r. Find the dimension of the rectangle of greatest area that can be inscribed in a circle of radius r? The rectangle will be a square of side length 1 √2 r. What is the (geometric) significance of. Find the largest possible rectangular area you can enclose, assuming you have 128 meters of fencing. The result you need is that for a rectangle with a given perimeter the square has the largest area.
From owlcation.com
Maximizing the Area of a Rectangle Owlcation Largest Area Rectangle Can Have The rectangle will be a square of side length 1 √2 r. To maximize the area of a rectangle with a fixed perimeter, the optimal shape is a square. Find the largest possible rectangular area you can enclose, assuming you have 128 meters of fencing. Find the dimensions of the largest rectangle that can be inscribed in a semicircle of. Largest Area Rectangle Can Have.
From www.chegg.com
Solved Find the dimensions that give the largest area for Largest Area Rectangle Can Have The rectangle will be a square of side length 1 √2 r. So with a perimeter of 28 feet,. Find the dimension of the rectangle of greatest area that can be inscribed in a circle of radius r? The result you need is that for a rectangle with a given perimeter the square has the largest area. What is the. Largest Area Rectangle Can Have.
From mathmonks.com
Area of Rectangle Definition, Formulas, & Examples Largest Area Rectangle Can Have By setting the length and width equal, the area is. So with a perimeter of 28 feet,. What is the (geometric) significance of. To maximize the area of a rectangle with a fixed perimeter, the optimal shape is a square. The rectangle will be a square of side length 1 √2 r. Find the dimension of the rectangle of greatest. Largest Area Rectangle Can Have.
From www.numerade.com
SOLVED Determine the area of the largest rectangle that can be inscribed in a circle of radius 1. Largest Area Rectangle Can Have The rectangle will be a square of side length 1 √2 r. By setting the length and width equal, the area is. Find the largest possible rectangular area you can enclose, assuming you have 128 meters of fencing. So with a perimeter of 28 feet,. Find the dimension of the rectangle of greatest area that can be inscribed in a. Largest Area Rectangle Can Have.
From www.chegg.com
Solved Determine the area of the largest rectangle that can Largest Area Rectangle Can Have So with a perimeter of 28 feet,. To maximize the area of a rectangle with a fixed perimeter, the optimal shape is a square. The result you need is that for a rectangle with a given perimeter the square has the largest area. The rectangle will be a square of side length 1 √2 r. Find the dimensions of the. Largest Area Rectangle Can Have.
From www.cuemath.com
Area of Rectangle Formula, Definition, Examples Largest Area Rectangle Can Have The result you need is that for a rectangle with a given perimeter the square has the largest area. So with a perimeter of 28 feet,. By setting the length and width equal, the area is. Find the largest possible rectangular area you can enclose, assuming you have 128 meters of fencing. Find the dimension of the rectangle of greatest. Largest Area Rectangle Can Have.
From kunduz.com
[ANSWERED] What are the dimensions of the rectangle with largest area Kunduz Largest Area Rectangle Can Have The result you need is that for a rectangle with a given perimeter the square has the largest area. So with a perimeter of 28 feet,. Find the dimension of the rectangle of greatest area that can be inscribed in a circle of radius r? By setting the length and width equal, the area is. Find the largest possible rectangular. Largest Area Rectangle Can Have.
From www.youtube.com
Optimization Find Largest Area of a Rectangle Divided into Four Pens YouTube Largest Area Rectangle Can Have What is the (geometric) significance of. The rectangle will be a square of side length 1 √2 r. Find the dimension of the rectangle of greatest area that can be inscribed in a circle of radius r? The result you need is that for a rectangle with a given perimeter the square has the largest area. Find the dimensions of. Largest Area Rectangle Can Have.
From www.numerade.com
SOLVEDFind the dimensions of the rectangle of largest area that can be inscribed in an Largest Area Rectangle Can Have Find the dimensions of the largest rectangle that can be inscribed in a semicircle of radius r. By setting the length and width equal, the area is. Find the largest possible rectangular area you can enclose, assuming you have 128 meters of fencing. So with a perimeter of 28 feet,. The result you need is that for a rectangle with. Largest Area Rectangle Can Have.
From www.numerade.com
SOLVED The figure shows a rectangle inscribed in an isosceles right trian gle whose Largest Area Rectangle Can Have So with a perimeter of 28 feet,. What is the (geometric) significance of. The result you need is that for a rectangle with a given perimeter the square has the largest area. The rectangle will be a square of side length 1 √2 r. Find the dimensions of the largest rectangle that can be inscribed in a semicircle of radius. Largest Area Rectangle Can Have.
From owlcation.com
Which Rectangle Gives the Biggest Area? Owlcation Largest Area Rectangle Can Have To maximize the area of a rectangle with a fixed perimeter, the optimal shape is a square. Find the dimension of the rectangle of greatest area that can be inscribed in a circle of radius r? Find the dimensions of the largest rectangle that can be inscribed in a semicircle of radius r. The rectangle will be a square of. Largest Area Rectangle Can Have.
From www.nagwa.com
Question Video Identifying the Rectangle That Has the Larger Area Nagwa Largest Area Rectangle Can Have The result you need is that for a rectangle with a given perimeter the square has the largest area. By setting the length and width equal, the area is. Find the dimension of the rectangle of greatest area that can be inscribed in a circle of radius r? So with a perimeter of 28 feet,. The rectangle will be a. Largest Area Rectangle Can Have.
From www.numerade.com
SOLVEDFind the area of the largest rectangle that can be inscribed in the ellipse x^2 / a^2+y^2 Largest Area Rectangle Can Have By setting the length and width equal, the area is. Find the largest possible rectangular area you can enclose, assuming you have 128 meters of fencing. To maximize the area of a rectangle with a fixed perimeter, the optimal shape is a square. Find the dimension of the rectangle of greatest area that can be inscribed in a circle of. Largest Area Rectangle Can Have.
From www.youtube.com
Find the area of the largest rectangle that can be inscribed in a right triangle with legs of Largest Area Rectangle Can Have Find the dimensions of the largest rectangle that can be inscribed in a semicircle of radius r. What is the (geometric) significance of. Find the largest possible rectangular area you can enclose, assuming you have 128 meters of fencing. To maximize the area of a rectangle with a fixed perimeter, the optimal shape is a square. The result you need. Largest Area Rectangle Can Have.
From www.mathskey.com
Find the area of the largest rectangle that fits inside a circle of radius 4. Largest Area Rectangle Can Have The rectangle will be a square of side length 1 √2 r. Find the dimension of the rectangle of greatest area that can be inscribed in a circle of radius r? So with a perimeter of 28 feet,. Find the largest possible rectangular area you can enclose, assuming you have 128 meters of fencing. Find the dimensions of the largest. Largest Area Rectangle Can Have.
From www.chegg.com
Solved We want to determine the largest(area) rectangle that Largest Area Rectangle Can Have To maximize the area of a rectangle with a fixed perimeter, the optimal shape is a square. What is the (geometric) significance of. The rectangle will be a square of side length 1 √2 r. Find the dimensions of the largest rectangle that can be inscribed in a semicircle of radius r. By setting the length and width equal, the. Largest Area Rectangle Can Have.
From www.chegg.com
Solved Find the area of the largest rectangle that can be Largest Area Rectangle Can Have So with a perimeter of 28 feet,. The rectangle will be a square of side length 1 √2 r. The result you need is that for a rectangle with a given perimeter the square has the largest area. Find the dimension of the rectangle of greatest area that can be inscribed in a circle of radius r? What is the. Largest Area Rectangle Can Have.
From www.worksheetsplanet.com
Area of a Rectangle (Formula + Example) Largest Area Rectangle Can Have Find the dimensions of the largest rectangle that can be inscribed in a semicircle of radius r. By setting the length and width equal, the area is. The rectangle will be a square of side length 1 √2 r. To maximize the area of a rectangle with a fixed perimeter, the optimal shape is a square. What is the (geometric). Largest Area Rectangle Can Have.
From oneclass.com
OneClass Q1 . Find the area of the largest rectangle that can be inscribed in the ellipse+= 1 Largest Area Rectangle Can Have Find the dimension of the rectangle of greatest area that can be inscribed in a circle of radius r? So with a perimeter of 28 feet,. The result you need is that for a rectangle with a given perimeter the square has the largest area. The rectangle will be a square of side length 1 √2 r. To maximize the. Largest Area Rectangle Can Have.
From www.geeksforgeeks.org
Find the area of the largest rectangle that can be inscribed in the ellipse with the equation Largest Area Rectangle Can Have What is the (geometric) significance of. So with a perimeter of 28 feet,. By setting the length and width equal, the area is. To maximize the area of a rectangle with a fixed perimeter, the optimal shape is a square. The result you need is that for a rectangle with a given perimeter the square has the largest area. The. Largest Area Rectangle Can Have.
From www.chilimath.com
Area of Rectangle Definition, Formula & Examples ChiliMath Largest Area Rectangle Can Have By setting the length and width equal, the area is. What is the (geometric) significance of. The rectangle will be a square of side length 1 √2 r. To maximize the area of a rectangle with a fixed perimeter, the optimal shape is a square. The result you need is that for a rectangle with a given perimeter the square. Largest Area Rectangle Can Have.
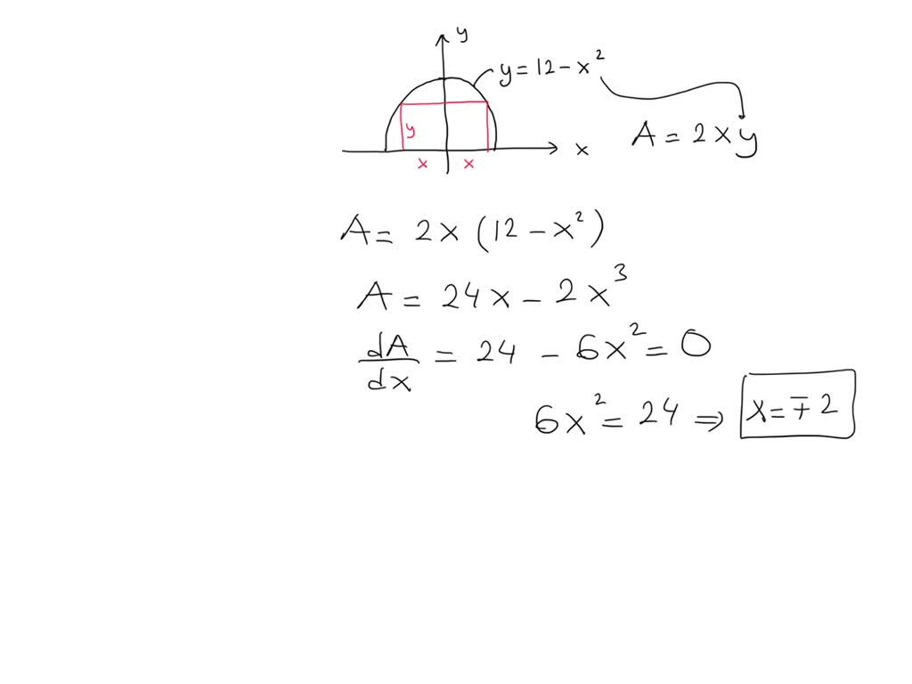
From www.numerade.com
SOLVED A rectangle has its base on the xaxis and its upper two vertices on the parabola y = 12 Largest Area Rectangle Can Have The rectangle will be a square of side length 1 √2 r. So with a perimeter of 28 feet,. By setting the length and width equal, the area is. What is the (geometric) significance of. Find the dimensions of the largest rectangle that can be inscribed in a semicircle of radius r. To maximize the area of a rectangle with. Largest Area Rectangle Can Have.
From www.youtube.com
Which rectangle has the biggest area? YouTube Largest Area Rectangle Can Have Find the dimension of the rectangle of greatest area that can be inscribed in a circle of radius r? By setting the length and width equal, the area is. So with a perimeter of 28 feet,. To maximize the area of a rectangle with a fixed perimeter, the optimal shape is a square. What is the (geometric) significance of. Find. Largest Area Rectangle Can Have.
From www.coursehero.com
[Solved] Determine the dimensions of the rectangle of the largest area that... Course Hero Largest Area Rectangle Can Have What is the (geometric) significance of. The result you need is that for a rectangle with a given perimeter the square has the largest area. Find the dimensions of the largest rectangle that can be inscribed in a semicircle of radius r. By setting the length and width equal, the area is. To maximize the area of a rectangle with. Largest Area Rectangle Can Have.
From quizlet.com
Find the rectangle of largest area that can be inscribed in Quizlet Largest Area Rectangle Can Have So with a perimeter of 28 feet,. The result you need is that for a rectangle with a given perimeter the square has the largest area. What is the (geometric) significance of. By setting the length and width equal, the area is. Find the largest possible rectangular area you can enclose, assuming you have 128 meters of fencing. To maximize. Largest Area Rectangle Can Have.
From www.cuemath.com
Area of Rectangle Definition, Formulas, Examples, Facts Cuemath Largest Area Rectangle Can Have Find the dimension of the rectangle of greatest area that can be inscribed in a circle of radius r? To maximize the area of a rectangle with a fixed perimeter, the optimal shape is a square. Find the largest possible rectangular area you can enclose, assuming you have 128 meters of fencing. So with a perimeter of 28 feet,. By. Largest Area Rectangle Can Have.
From www.youtube.com
Largest rectangle areas around the largest rectangle area inside a circle YouTube Largest Area Rectangle Can Have Find the dimension of the rectangle of greatest area that can be inscribed in a circle of radius r? To maximize the area of a rectangle with a fixed perimeter, the optimal shape is a square. Find the dimensions of the largest rectangle that can be inscribed in a semicircle of radius r. Find the largest possible rectangular area you. Largest Area Rectangle Can Have.
From www.chegg.com
Solved We want to determine the largest(area) rectangle that Largest Area Rectangle Can Have Find the largest possible rectangular area you can enclose, assuming you have 128 meters of fencing. The result you need is that for a rectangle with a given perimeter the square has the largest area. Find the dimension of the rectangle of greatest area that can be inscribed in a circle of radius r? What is the (geometric) significance of.. Largest Area Rectangle Can Have.
From www.chegg.com
Solved Find the area of the largest rectangle that can be Largest Area Rectangle Can Have So with a perimeter of 28 feet,. Find the dimension of the rectangle of greatest area that can be inscribed in a circle of radius r? By setting the length and width equal, the area is. The result you need is that for a rectangle with a given perimeter the square has the largest area. To maximize the area of. Largest Area Rectangle Can Have.
From www.numerade.com
SOLVED find the area of the largest rectangle that can be inscribed in a semicircle of radius r Largest Area Rectangle Can Have Find the dimension of the rectangle of greatest area that can be inscribed in a circle of radius r? To maximize the area of a rectangle with a fixed perimeter, the optimal shape is a square. The result you need is that for a rectangle with a given perimeter the square has the largest area. By setting the length and. Largest Area Rectangle Can Have.
From www.quora.com
Determine the area of the largest rectangle that can be inscribed in a circle of radius 4. How Largest Area Rectangle Can Have To maximize the area of a rectangle with a fixed perimeter, the optimal shape is a square. Find the dimensions of the largest rectangle that can be inscribed in a semicircle of radius r. What is the (geometric) significance of. The result you need is that for a rectangle with a given perimeter the square has the largest area. The. Largest Area Rectangle Can Have.
From www.youtube.com
Largest Area Rectangle in a Histogram Solution YouTube Largest Area Rectangle Can Have Find the dimension of the rectangle of greatest area that can be inscribed in a circle of radius r? By setting the length and width equal, the area is. To maximize the area of a rectangle with a fixed perimeter, the optimal shape is a square. The rectangle will be a square of side length 1 √2 r. What is. Largest Area Rectangle Can Have.
From www.chegg.com
Solved EXAMPLE 5 Find the area of the largest rectangle that Largest Area Rectangle Can Have Find the dimensions of the largest rectangle that can be inscribed in a semicircle of radius r. By setting the length and width equal, the area is. To maximize the area of a rectangle with a fixed perimeter, the optimal shape is a square. The result you need is that for a rectangle with a given perimeter the square has. Largest Area Rectangle Can Have.
From www.chegg.com
Solved Find the largestarea rectangle that can be inscribed Largest Area Rectangle Can Have The result you need is that for a rectangle with a given perimeter the square has the largest area. What is the (geometric) significance of. The rectangle will be a square of side length 1 √2 r. To maximize the area of a rectangle with a fixed perimeter, the optimal shape is a square. Find the dimension of the rectangle. Largest Area Rectangle Can Have.
From www.geeksforgeeks.org
Area of the largest Rectangle without a given point Largest Area Rectangle Can Have Find the dimensions of the largest rectangle that can be inscribed in a semicircle of radius r. The result you need is that for a rectangle with a given perimeter the square has the largest area. Find the largest possible rectangular area you can enclose, assuming you have 128 meters of fencing. By setting the length and width equal, the. Largest Area Rectangle Can Have.