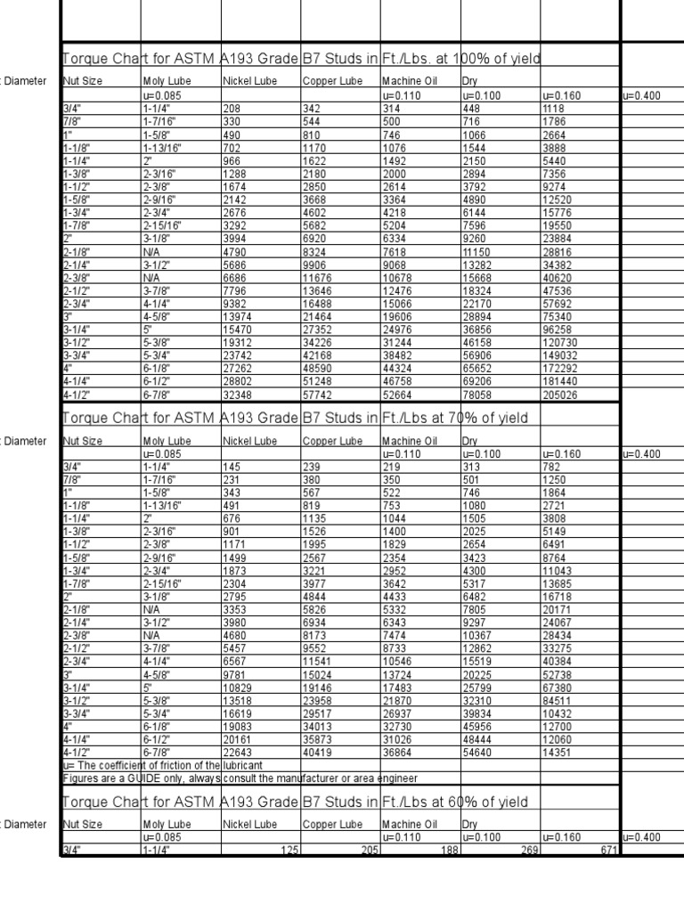
Torque Chart For B7 Studs . recommended torque for b7 studs (astm a193) based upon 50% yield. edition of api 6a. Clamp load calculated as 75% of the yield strength for the b7. Clamp load calculated as 75% of the yield. bolting torque to develop 50% bolt yield stress at nut factor, k=0.16. as specified in api 6a, clamp load calculated as 50% of the yield strength for the b7 and l7 specified in astm a193/a193m and. For most the accurate references in critical situations torque values should be replaced with field measured. find astm a193 grade b7 stud bolt torque chart at 100% of yield, 70% yield, 60% of yield, 50% of yield, 40% of yield and 30%.
from www.sampletemplates.com
edition of api 6a. as specified in api 6a, clamp load calculated as 50% of the yield strength for the b7 and l7 specified in astm a193/a193m and. recommended torque for b7 studs (astm a193) based upon 50% yield. find astm a193 grade b7 stud bolt torque chart at 100% of yield, 70% yield, 60% of yield, 50% of yield, 40% of yield and 30%. bolting torque to develop 50% bolt yield stress at nut factor, k=0.16. Clamp load calculated as 75% of the yield strength for the b7. For most the accurate references in critical situations torque values should be replaced with field measured. Clamp load calculated as 75% of the yield.
Bolt Torque Chart 7 Free PDF Download
Torque Chart For B7 Studs For most the accurate references in critical situations torque values should be replaced with field measured. edition of api 6a. find astm a193 grade b7 stud bolt torque chart at 100% of yield, 70% yield, 60% of yield, 50% of yield, 40% of yield and 30%. For most the accurate references in critical situations torque values should be replaced with field measured. recommended torque for b7 studs (astm a193) based upon 50% yield. Clamp load calculated as 75% of the yield. bolting torque to develop 50% bolt yield stress at nut factor, k=0.16. as specified in api 6a, clamp load calculated as 50% of the yield strength for the b7 and l7 specified in astm a193/a193m and. Clamp load calculated as 75% of the yield strength for the b7.
From lightningboltandsupply.com
ASTM A193 Grade B7 Studs Torque Chart For B7 Studs recommended torque for b7 studs (astm a193) based upon 50% yield. bolting torque to develop 50% bolt yield stress at nut factor, k=0.16. edition of api 6a. For most the accurate references in critical situations torque values should be replaced with field measured. Clamp load calculated as 75% of the yield. as specified in api 6a,. Torque Chart For B7 Studs.
From studs.m88play.com
B7 Studs Torque Specs basement wall studs Torque Chart For B7 Studs edition of api 6a. recommended torque for b7 studs (astm a193) based upon 50% yield. find astm a193 grade b7 stud bolt torque chart at 100% of yield, 70% yield, 60% of yield, 50% of yield, 40% of yield and 30%. bolting torque to develop 50% bolt yield stress at nut factor, k=0.16. Clamp load calculated. Torque Chart For B7 Studs.
From lakishaford.blogspot.com
14+ B7 Stud Torque Chart LakishaFord Torque Chart For B7 Studs bolting torque to develop 50% bolt yield stress at nut factor, k=0.16. Clamp load calculated as 75% of the yield. as specified in api 6a, clamp load calculated as 50% of the yield strength for the b7 and l7 specified in astm a193/a193m and. find astm a193 grade b7 stud bolt torque chart at 100% of yield,. Torque Chart For B7 Studs.
From studs.m88play.com
B7 Studs Torque Specs basement wall studs Torque Chart For B7 Studs bolting torque to develop 50% bolt yield stress at nut factor, k=0.16. Clamp load calculated as 75% of the yield. find astm a193 grade b7 stud bolt torque chart at 100% of yield, 70% yield, 60% of yield, 50% of yield, 40% of yield and 30%. Clamp load calculated as 75% of the yield strength for the b7.. Torque Chart For B7 Studs.
From www.scribd.com
TorqueTension Chart for B7 Strength Of Materials Yield (Engineering) Torque Chart For B7 Studs as specified in api 6a, clamp load calculated as 50% of the yield strength for the b7 and l7 specified in astm a193/a193m and. bolting torque to develop 50% bolt yield stress at nut factor, k=0.16. find astm a193 grade b7 stud bolt torque chart at 100% of yield, 70% yield, 60% of yield, 50% of yield,. Torque Chart For B7 Studs.
From dockskaapnews.blogspot.com
Standard Bolt Torque Chart / Fastener Torque Specifications Bolts Torque Chart For B7 Studs edition of api 6a. recommended torque for b7 studs (astm a193) based upon 50% yield. bolting torque to develop 50% bolt yield stress at nut factor, k=0.16. Clamp load calculated as 75% of the yield. find astm a193 grade b7 stud bolt torque chart at 100% of yield, 70% yield, 60% of yield, 50% of yield,. Torque Chart For B7 Studs.
From www.scribd.com
Torque Chart for ASTM A193 Grade B7 Studs Motor Oil Nut (Hardware) Torque Chart For B7 Studs recommended torque for b7 studs (astm a193) based upon 50% yield. as specified in api 6a, clamp load calculated as 50% of the yield strength for the b7 and l7 specified in astm a193/a193m and. find astm a193 grade b7 stud bolt torque chart at 100% of yield, 70% yield, 60% of yield, 50% of yield, 40%. Torque Chart For B7 Studs.
From www.sampletemplates.com
Bolt Torque Chart 7 Free PDF Download Torque Chart For B7 Studs as specified in api 6a, clamp load calculated as 50% of the yield strength for the b7 and l7 specified in astm a193/a193m and. recommended torque for b7 studs (astm a193) based upon 50% yield. Clamp load calculated as 75% of the yield. edition of api 6a. find astm a193 grade b7 stud bolt torque chart. Torque Chart For B7 Studs.
From www.sampletemplates.com
Bolt Torque Chart 7 Free PDF Download Sample Templates Torque Chart For B7 Studs as specified in api 6a, clamp load calculated as 50% of the yield strength for the b7 and l7 specified in astm a193/a193m and. bolting torque to develop 50% bolt yield stress at nut factor, k=0.16. Clamp load calculated as 75% of the yield. Clamp load calculated as 75% of the yield strength for the b7. edition. Torque Chart For B7 Studs.
From dockskaapnews.blogspot.com
Standard Bolt Torque Chart / Fastener Torque Specifications Bolts Torque Chart For B7 Studs bolting torque to develop 50% bolt yield stress at nut factor, k=0.16. recommended torque for b7 studs (astm a193) based upon 50% yield. as specified in api 6a, clamp load calculated as 50% of the yield strength for the b7 and l7 specified in astm a193/a193m and. find astm a193 grade b7 stud bolt torque chart. Torque Chart For B7 Studs.
From studs.m88play.com
B7 Studs Torque Specs basement wall studs Torque Chart For B7 Studs bolting torque to develop 50% bolt yield stress at nut factor, k=0.16. find astm a193 grade b7 stud bolt torque chart at 100% of yield, 70% yield, 60% of yield, 50% of yield, 40% of yield and 30%. Clamp load calculated as 75% of the yield strength for the b7. edition of api 6a. Clamp load calculated. Torque Chart For B7 Studs.
From www.duplexfastener.com
ASTM A193 Grade B7 Bolts Grade B7 Stud & Hex Bolts B7 Fasteners Torque Chart For B7 Studs For most the accurate references in critical situations torque values should be replaced with field measured. Clamp load calculated as 75% of the yield. Clamp load calculated as 75% of the yield strength for the b7. edition of api 6a. bolting torque to develop 50% bolt yield stress at nut factor, k=0.16. recommended torque for b7 studs. Torque Chart For B7 Studs.
From www.scribd.com
ASTM A193 Grade B7 Torque Chart Boltport Fasteners PDF Torque Chart For B7 Studs bolting torque to develop 50% bolt yield stress at nut factor, k=0.16. find astm a193 grade b7 stud bolt torque chart at 100% of yield, 70% yield, 60% of yield, 50% of yield, 40% of yield and 30%. recommended torque for b7 studs (astm a193) based upon 50% yield. Clamp load calculated as 75% of the yield.. Torque Chart For B7 Studs.
From dokumen.tips
(PDF) Torque Chart for ASTM A193 Grade B7 Studs in Ft./Lbs. at Torque Chart For B7 Studs edition of api 6a. recommended torque for b7 studs (astm a193) based upon 50% yield. Clamp load calculated as 75% of the yield strength for the b7. as specified in api 6a, clamp load calculated as 50% of the yield strength for the b7 and l7 specified in astm a193/a193m and. Clamp load calculated as 75% of. Torque Chart For B7 Studs.
From www.vrogue.co
Torque Chart For Astm A193 Grade B7 Studs Pdf Nut Har vrogue.co Torque Chart For B7 Studs as specified in api 6a, clamp load calculated as 50% of the yield strength for the b7 and l7 specified in astm a193/a193m and. Clamp load calculated as 75% of the yield strength for the b7. bolting torque to develop 50% bolt yield stress at nut factor, k=0.16. edition of api 6a. For most the accurate references. Torque Chart For B7 Studs.
From www.oceanproperty.co.th
Torque Chart For ASTM A193 Grade B7 Studs PDF Materials, 58 OFF Torque Chart For B7 Studs bolting torque to develop 50% bolt yield stress at nut factor, k=0.16. recommended torque for b7 studs (astm a193) based upon 50% yield. Clamp load calculated as 75% of the yield strength for the b7. as specified in api 6a, clamp load calculated as 50% of the yield strength for the b7 and l7 specified in astm. Torque Chart For B7 Studs.
From www.vrogue.co
Pdf Torque Chart For Astm A193 Grade B7 Studs Dokumen vrogue.co Torque Chart For B7 Studs For most the accurate references in critical situations torque values should be replaced with field measured. Clamp load calculated as 75% of the yield strength for the b7. Clamp load calculated as 75% of the yield. as specified in api 6a, clamp load calculated as 50% of the yield strength for the b7 and l7 specified in astm a193/a193m. Torque Chart For B7 Studs.
From dokumen.tips
(PDF) Torque Chart for ASTM A193 Grade B7 Studs in Ft./Lbs. at Torque Chart For B7 Studs Clamp load calculated as 75% of the yield strength for the b7. find astm a193 grade b7 stud bolt torque chart at 100% of yield, 70% yield, 60% of yield, 50% of yield, 40% of yield and 30%. For most the accurate references in critical situations torque values should be replaced with field measured. Clamp load calculated as 75%. Torque Chart For B7 Studs.
From www.raajsagarsteels.com
stainless steel stud bolt torque chart Torque Values Stainless Steel Torque Chart For B7 Studs edition of api 6a. recommended torque for b7 studs (astm a193) based upon 50% yield. For most the accurate references in critical situations torque values should be replaced with field measured. find astm a193 grade b7 stud bolt torque chart at 100% of yield, 70% yield, 60% of yield, 50% of yield, 40% of yield and 30%.. Torque Chart For B7 Studs.
From elchoroukhost.net
Bolt Torque Table B7 Elcho Table Torque Chart For B7 Studs as specified in api 6a, clamp load calculated as 50% of the yield strength for the b7 and l7 specified in astm a193/a193m and. bolting torque to develop 50% bolt yield stress at nut factor, k=0.16. find astm a193 grade b7 stud bolt torque chart at 100% of yield, 70% yield, 60% of yield, 50% of yield,. Torque Chart For B7 Studs.
From www.scribd.com
Torque for B7 L7 Stud Bolts Mechanical Engineering Nature Torque Chart For B7 Studs edition of api 6a. Clamp load calculated as 75% of the yield. For most the accurate references in critical situations torque values should be replaced with field measured. bolting torque to develop 50% bolt yield stress at nut factor, k=0.16. as specified in api 6a, clamp load calculated as 50% of the yield strength for the b7. Torque Chart For B7 Studs.
From elchoroukhost.net
Bolt Torque Table B7 Elcho Table Torque Chart For B7 Studs as specified in api 6a, clamp load calculated as 50% of the yield strength for the b7 and l7 specified in astm a193/a193m and. find astm a193 grade b7 stud bolt torque chart at 100% of yield, 70% yield, 60% of yield, 50% of yield, 40% of yield and 30%. recommended torque for b7 studs (astm a193). Torque Chart For B7 Studs.
From www.scribd.com
ASTM A193 Grade B7 Torque Chart Boltport Fasteners PDF Screw Torque Chart For B7 Studs For most the accurate references in critical situations torque values should be replaced with field measured. as specified in api 6a, clamp load calculated as 50% of the yield strength for the b7 and l7 specified in astm a193/a193m and. find astm a193 grade b7 stud bolt torque chart at 100% of yield, 70% yield, 60% of yield,. Torque Chart For B7 Studs.
From vdocuments.mx
TorqueTension Relationship for ASTM A193 B7 Bolts … Chart for B7.pdf Torque Chart For B7 Studs For most the accurate references in critical situations torque values should be replaced with field measured. as specified in api 6a, clamp load calculated as 50% of the yield strength for the b7 and l7 specified in astm a193/a193m and. Clamp load calculated as 75% of the yield strength for the b7. edition of api 6a. find. Torque Chart For B7 Studs.
From bceweb.org
B7 Bolt Chart A Visual Reference of Charts Chart Master Torque Chart For B7 Studs Clamp load calculated as 75% of the yield strength for the b7. edition of api 6a. as specified in api 6a, clamp load calculated as 50% of the yield strength for the b7 and l7 specified in astm a193/a193m and. find astm a193 grade b7 stud bolt torque chart at 100% of yield, 70% yield, 60% of. Torque Chart For B7 Studs.
From www.scribd.com
Torque Chart For ASTM A193 Grade B7 Studs PDF Materials Torque Chart For B7 Studs edition of api 6a. Clamp load calculated as 75% of the yield strength for the b7. For most the accurate references in critical situations torque values should be replaced with field measured. bolting torque to develop 50% bolt yield stress at nut factor, k=0.16. find astm a193 grade b7 stud bolt torque chart at 100% of yield,. Torque Chart For B7 Studs.
From dokumen.tips
Torque Chart for ASTM A193 Grade B7 Studs in Ft./Lbs. atindu · PDF Torque Chart For B7 Studs recommended torque for b7 studs (astm a193) based upon 50% yield. Clamp load calculated as 75% of the yield strength for the b7. as specified in api 6a, clamp load calculated as 50% of the yield strength for the b7 and l7 specified in astm a193/a193m and. For most the accurate references in critical situations torque values should. Torque Chart For B7 Studs.
From www.aiophotoz.com
Stud Bolt Torque Chart Images and Photos finder Torque Chart For B7 Studs bolting torque to develop 50% bolt yield stress at nut factor, k=0.16. edition of api 6a. For most the accurate references in critical situations torque values should be replaced with field measured. Clamp load calculated as 75% of the yield strength for the b7. recommended torque for b7 studs (astm a193) based upon 50% yield. Clamp load. Torque Chart For B7 Studs.
From www.bustinyournuts.com
IndustrialBoltinglow_profile_torque_chart Industrial Bolting and Torque Chart For B7 Studs recommended torque for b7 studs (astm a193) based upon 50% yield. bolting torque to develop 50% bolt yield stress at nut factor, k=0.16. as specified in api 6a, clamp load calculated as 50% of the yield strength for the b7 and l7 specified in astm a193/a193m and. Clamp load calculated as 75% of the yield strength for. Torque Chart For B7 Studs.
From www.vrogue.co
Torque Chart For Astm A193 Grade B7 Studs Pdf Nut Har vrogue.co Torque Chart For B7 Studs edition of api 6a. Clamp load calculated as 75% of the yield. bolting torque to develop 50% bolt yield stress at nut factor, k=0.16. Clamp load calculated as 75% of the yield strength for the b7. as specified in api 6a, clamp load calculated as 50% of the yield strength for the b7 and l7 specified in. Torque Chart For B7 Studs.
From www.vrogue.co
Torque Chart For Astm A193 Grade B7 Studs Pdf Nut Har vrogue.co Torque Chart For B7 Studs as specified in api 6a, clamp load calculated as 50% of the yield strength for the b7 and l7 specified in astm a193/a193m and. edition of api 6a. Clamp load calculated as 75% of the yield strength for the b7. Clamp load calculated as 75% of the yield. For most the accurate references in critical situations torque values. Torque Chart For B7 Studs.
From studs.m88play.com
B7 Studs Torque Specs basement wall studs Torque Chart For B7 Studs edition of api 6a. bolting torque to develop 50% bolt yield stress at nut factor, k=0.16. as specified in api 6a, clamp load calculated as 50% of the yield strength for the b7 and l7 specified in astm a193/a193m and. Clamp load calculated as 75% of the yield strength for the b7. Clamp load calculated as 75%. Torque Chart For B7 Studs.
From elchoroukhost.net
Bolt Torque Table B7 Elcho Table Torque Chart For B7 Studs For most the accurate references in critical situations torque values should be replaced with field measured. recommended torque for b7 studs (astm a193) based upon 50% yield. Clamp load calculated as 75% of the yield strength for the b7. Clamp load calculated as 75% of the yield. edition of api 6a. find astm a193 grade b7 stud. Torque Chart For B7 Studs.
From bceweb.org
B7 Bolt Torque Chart A Visual Reference of Charts Chart Master Torque Chart For B7 Studs Clamp load calculated as 75% of the yield. find astm a193 grade b7 stud bolt torque chart at 100% of yield, 70% yield, 60% of yield, 50% of yield, 40% of yield and 30%. bolting torque to develop 50% bolt yield stress at nut factor, k=0.16. as specified in api 6a, clamp load calculated as 50% of. Torque Chart For B7 Studs.
From www.bustinyournuts.com
Torque Charts Industrial Bolting and Torque Tools Torque Chart For B7 Studs as specified in api 6a, clamp load calculated as 50% of the yield strength for the b7 and l7 specified in astm a193/a193m and. bolting torque to develop 50% bolt yield stress at nut factor, k=0.16. For most the accurate references in critical situations torque values should be replaced with field measured. Clamp load calculated as 75% of. Torque Chart For B7 Studs.