Accessory Permits Examples . If you want to build a detached garage or accessory structure, you need permits to ensure that any structure is built in the right location and complies. Any accessory building over 10m² in size will require a building permit. Here are some examples of accessory structures: Examples of residential accessory structures include, but are not limited to, sheds, gazebos, pergolas, shade structures, saunas, pool change. If the building is less than. Requirements for building permit overview: You need to submit an. What information do i need to obtain a building permit? This guide outlines building inspection and current planning sections’ requirements for detached. Examples of an accessory building or structures include, garden sheds, utility sheds, detached garages or storage buildings, gazebos,. Shed or garage) that is larger than 215 square feet. A building permit is required to construct an accessory building (ie: Accessory structures are separate from your main home, but must be on the property.
        	
		 
	 
    
         
         
        from www.stpaul.gov 
     
        
        If the building is less than. A building permit is required to construct an accessory building (ie: Any accessory building over 10m² in size will require a building permit. You need to submit an. Accessory structures are separate from your main home, but must be on the property. Shed or garage) that is larger than 215 square feet. Here are some examples of accessory structures: Examples of residential accessory structures include, but are not limited to, sheds, gazebos, pergolas, shade structures, saunas, pool change. This guide outlines building inspection and current planning sections’ requirements for detached. Requirements for building permit overview:
    
    	
		 
	 
    Zoning Permits and Land Uses Saint Paul Minnesota 
    Accessory Permits Examples  Here are some examples of accessory structures: If you want to build a detached garage or accessory structure, you need permits to ensure that any structure is built in the right location and complies. What information do i need to obtain a building permit? If the building is less than. Requirements for building permit overview: Examples of residential accessory structures include, but are not limited to, sheds, gazebos, pergolas, shade structures, saunas, pool change. This guide outlines building inspection and current planning sections’ requirements for detached. Here are some examples of accessory structures: Shed or garage) that is larger than 215 square feet. Accessory structures are separate from your main home, but must be on the property. A building permit is required to construct an accessory building (ie: Any accessory building over 10m² in size will require a building permit. Examples of an accessory building or structures include, garden sheds, utility sheds, detached garages or storage buildings, gazebos,. You need to submit an.
 
    
         
        From www.dfss.ucsb.edu 
                    Building Permits Design, Facilities & Safety Services Accessory Permits Examples  If the building is less than. Here are some examples of accessory structures: What information do i need to obtain a building permit? Any accessory building over 10m² in size will require a building permit. Accessory structures are separate from your main home, but must be on the property. This guide outlines building inspection and current planning sections’ requirements for. Accessory Permits Examples.
     
    
         
        From www.ncrpads.co.uk 
                    Permit to Work Form NCR Printing NCR Pads Ltd Accessory Permits Examples  Examples of an accessory building or structures include, garden sheds, utility sheds, detached garages or storage buildings, gazebos,. Accessory structures are separate from your main home, but must be on the property. A building permit is required to construct an accessory building (ie: You need to submit an. Any accessory building over 10m² in size will require a building permit.. Accessory Permits Examples.
     
    
         
        From www.scribd.com 
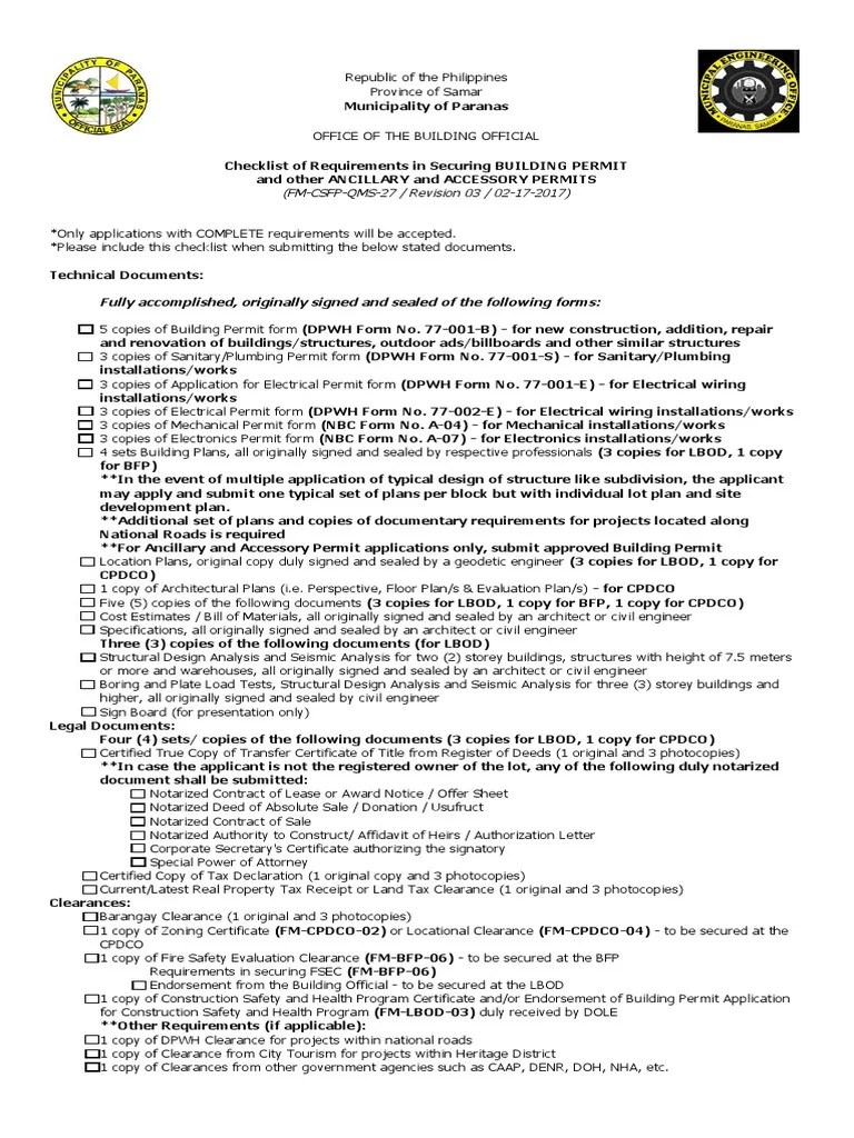
                    Checklist of Requirements in Securing BUILDING PERMIT and Other Accessory Permits Examples  If you want to build a detached garage or accessory structure, you need permits to ensure that any structure is built in the right location and complies. If the building is less than. You need to submit an. Shed or garage) that is larger than 215 square feet. Requirements for building permit overview: Accessory structures are separate from your main. Accessory Permits Examples.
     
    
         
        From www.stpaul.gov 
                    Zoning Permits and Land Uses Saint Paul Minnesota Accessory Permits Examples  You need to submit an. Here are some examples of accessory structures: A building permit is required to construct an accessory building (ie: If the building is less than. Requirements for building permit overview: What information do i need to obtain a building permit? Accessory structures are separate from your main home, but must be on the property. Examples of. Accessory Permits Examples.
     
    
         
        From www.signnow.com 
                    Building Permit Template Complete with ease airSlate SignNow Accessory Permits Examples  This guide outlines building inspection and current planning sections’ requirements for detached. What information do i need to obtain a building permit? Here are some examples of accessory structures: Accessory structures are separate from your main home, but must be on the property. Requirements for building permit overview: Examples of residential accessory structures include, but are not limited to, sheds,. Accessory Permits Examples.
     
    
         
        From www.pdffiller.com 
                    Fillable Online oswegoil Building Permit Application for Accessory Accessory Permits Examples  What information do i need to obtain a building permit? Requirements for building permit overview: You need to submit an. Examples of residential accessory structures include, but are not limited to, sheds, gazebos, pergolas, shade structures, saunas, pool change. Examples of an accessory building or structures include, garden sheds, utility sheds, detached garages or storage buildings, gazebos,. Shed or garage). Accessory Permits Examples.
     
    
         
        From www.youtube.com 
                    Understanding A Building Permit Application The Building Permit Accessory Permits Examples  Examples of an accessory building or structures include, garden sheds, utility sheds, detached garages or storage buildings, gazebos,. A building permit is required to construct an accessory building (ie: If you want to build a detached garage or accessory structure, you need permits to ensure that any structure is built in the right location and complies. Any accessory building over. Accessory Permits Examples.
     
    
         
        From www.carnationconstruction.com 
                    Preparations Obtain Planning Permit Accessory Permits Examples  Examples of an accessory building or structures include, garden sheds, utility sheds, detached garages or storage buildings, gazebos,. You need to submit an. What information do i need to obtain a building permit? This guide outlines building inspection and current planning sections’ requirements for detached. Any accessory building over 10m² in size will require a building permit. Here are some. Accessory Permits Examples.
     
    
         
        From www.pdffiller.com 
                    Fillable Online Accessory Structure Building Permit Application Form Accessory Permits Examples  What information do i need to obtain a building permit? Shed or garage) that is larger than 215 square feet. You need to submit an. Examples of residential accessory structures include, but are not limited to, sheds, gazebos, pergolas, shade structures, saunas, pool change. A building permit is required to construct an accessory building (ie: Any accessory building over 10m². Accessory Permits Examples.
     
    
         
        From identityamerica.com 
                    PERMIT PROCUREMENT Identity America Accessory Permits Examples  Examples of an accessory building or structures include, garden sheds, utility sheds, detached garages or storage buildings, gazebos,. A building permit is required to construct an accessory building (ie: Requirements for building permit overview: What information do i need to obtain a building permit? You need to submit an. Any accessory building over 10m² in size will require a building. Accessory Permits Examples.
     
    
         
        From www.westmayfieldborough.us 
                    Sample Solicitation Permit West Mayfield Borough Accessory Permits Examples  Any accessory building over 10m² in size will require a building permit. What information do i need to obtain a building permit? Accessory structures are separate from your main home, but must be on the property. This guide outlines building inspection and current planning sections’ requirements for detached. You need to submit an. Examples of an accessory building or structures. Accessory Permits Examples.
     
    
         
        From www.nixa.com 
                    Storage Shed/Accessory Building Permit City of Nixa, MO Accessory Permits Examples  Any accessory building over 10m² in size will require a building permit. This guide outlines building inspection and current planning sections’ requirements for detached. Examples of an accessory building or structures include, garden sheds, utility sheds, detached garages or storage buildings, gazebos,. A building permit is required to construct an accessory building (ie: Examples of residential accessory structures include, but. Accessory Permits Examples.
     
    
         
        From mound.mnspect.com 
                    Building Permit Projects Archives Mound, MN Accessory Permits Examples  This guide outlines building inspection and current planning sections’ requirements for detached. Examples of residential accessory structures include, but are not limited to, sheds, gazebos, pergolas, shade structures, saunas, pool change. Any accessory building over 10m² in size will require a building permit. You need to submit an. If the building is less than. What information do i need to. Accessory Permits Examples.
     
    
         
        From www.scribd.com 
                    4562B Accessory Permit App PDF Fee Economic Sectors Accessory Permits Examples  A building permit is required to construct an accessory building (ie: Shed or garage) that is larger than 215 square feet. Requirements for building permit overview: If the building is less than. If you want to build a detached garage or accessory structure, you need permits to ensure that any structure is built in the right location and complies. Any. Accessory Permits Examples.
     
    
         
        From www.24hplans.com 
                    Do I Need a Building Permit for My Home Improvement Project? Accessory Permits Examples  If you want to build a detached garage or accessory structure, you need permits to ensure that any structure is built in the right location and complies. This guide outlines building inspection and current planning sections’ requirements for detached. Here are some examples of accessory structures: Examples of residential accessory structures include, but are not limited to, sheds, gazebos, pergolas,. Accessory Permits Examples.
     
    
         
        From fill.io 
                    Fill Free fillable MiscellaneousAccessoryPermitApp Miscellaneous Accessory Permits Examples  What information do i need to obtain a building permit? If the building is less than. Accessory structures are separate from your main home, but must be on the property. If you want to build a detached garage or accessory structure, you need permits to ensure that any structure is built in the right location and complies. You need to. Accessory Permits Examples.
     
    
         
        From www.milwaukieoregon.gov 
                    RightofWay Permit Application City of Milwaukie Oregon Official site Accessory Permits Examples  Requirements for building permit overview: Examples of an accessory building or structures include, garden sheds, utility sheds, detached garages or storage buildings, gazebos,. Examples of residential accessory structures include, but are not limited to, sheds, gazebos, pergolas, shade structures, saunas, pool change. Here are some examples of accessory structures: A building permit is required to construct an accessory building (ie:. Accessory Permits Examples.
     
    
         
        From www.signnow.com 
                    Ntc Permit Online Application Complete with ease airSlate SignNow Accessory Permits Examples  This guide outlines building inspection and current planning sections’ requirements for detached. You need to submit an. Requirements for building permit overview: Examples of an accessory building or structures include, garden sheds, utility sheds, detached garages or storage buildings, gazebos,. Accessory structures are separate from your main home, but must be on the property. Shed or garage) that is larger. Accessory Permits Examples.
     
    
         
        From astburymerecountrypark.uk 
                    Apply for a Car Park Permit for Astbury Mere Country Park Accessory Permits Examples  Accessory structures are separate from your main home, but must be on the property. A building permit is required to construct an accessory building (ie: Here are some examples of accessory structures: Examples of an accessory building or structures include, garden sheds, utility sheds, detached garages or storage buildings, gazebos,. Examples of residential accessory structures include, but are not limited. Accessory Permits Examples.
     
    
         
        From www.pdffiller.com 
                    Fillable Online Accessory Dwelling Unit Howto Permit Guide for Accessory Permits Examples  If you want to build a detached garage or accessory structure, you need permits to ensure that any structure is built in the right location and complies. Examples of residential accessory structures include, but are not limited to, sheds, gazebos, pergolas, shade structures, saunas, pool change. This guide outlines building inspection and current planning sections’ requirements for detached. Examples of. Accessory Permits Examples.
     
    
         
        From mavink.com 
                    Barangay Construction Permit Accessory Permits Examples  What information do i need to obtain a building permit? Shed or garage) that is larger than 215 square feet. You need to submit an. Accessory structures are separate from your main home, but must be on the property. Here are some examples of accessory structures: A building permit is required to construct an accessory building (ie: Requirements for building. Accessory Permits Examples.
     
    
         
        From www.skipdmvline.com 
                    Skip DMV Line Accessory Permits Examples  Here are some examples of accessory structures: Accessory structures are separate from your main home, but must be on the property. Requirements for building permit overview: Examples of an accessory building or structures include, garden sheds, utility sheds, detached garages or storage buildings, gazebos,. If the building is less than. Shed or garage) that is larger than 215 square feet.. Accessory Permits Examples.
     
    
         
        From tenstarhomes.com 
                    Residential Building Permits What You Need to Know Ten Star Homes Accessory Permits Examples  Examples of residential accessory structures include, but are not limited to, sheds, gazebos, pergolas, shade structures, saunas, pool change. What information do i need to obtain a building permit? This guide outlines building inspection and current planning sections’ requirements for detached. Accessory structures are separate from your main home, but must be on the property. Here are some examples of. Accessory Permits Examples.
     
    
         
        From kaothu.com 
                    Building Permit Application Form in Mandaluyong City What does it look Accessory Permits Examples  Requirements for building permit overview: Examples of an accessory building or structures include, garden sheds, utility sheds, detached garages or storage buildings, gazebos,. Shed or garage) that is larger than 215 square feet. Any accessory building over 10m² in size will require a building permit. A building permit is required to construct an accessory building (ie: If the building is. Accessory Permits Examples.
     
    
         
        From dokumen.tips 
                    (PDF) Building Permit Guidelines Accessory Buildings Documents/Accy Accessory Permits Examples  Examples of residential accessory structures include, but are not limited to, sheds, gazebos, pergolas, shade structures, saunas, pool change. Shed or garage) that is larger than 215 square feet. Here are some examples of accessory structures: If the building is less than. Any accessory building over 10m² in size will require a building permit. This guide outlines building inspection and. Accessory Permits Examples.
     
    
         
        From www.studocu.com 
                    Chapter 2 Obligations and Contracts ACCESSIONS AND ACCESSORIES Accessory Permits Examples  Examples of residential accessory structures include, but are not limited to, sheds, gazebos, pergolas, shade structures, saunas, pool change. You need to submit an. A building permit is required to construct an accessory building (ie: Requirements for building permit overview: Shed or garage) that is larger than 215 square feet. Any accessory building over 10m² in size will require a. Accessory Permits Examples.
     
    
         
        From www.sampleforms.com 
                    FREE 9+ Permit Application Forms in PDF Ms Word Excel Accessory Permits Examples  If you want to build a detached garage or accessory structure, you need permits to ensure that any structure is built in the right location and complies. You need to submit an. What information do i need to obtain a building permit? Examples of an accessory building or structures include, garden sheds, utility sheds, detached garages or storage buildings, gazebos,.. Accessory Permits Examples.
     
    
         
        From www.pdffiller.com 
                    Fillable Online Accessory Storage Permit. Dumsters and Temp Storage Accessory Permits Examples  Examples of residential accessory structures include, but are not limited to, sheds, gazebos, pergolas, shade structures, saunas, pool change. Requirements for building permit overview: Any accessory building over 10m² in size will require a building permit. This guide outlines building inspection and current planning sections’ requirements for detached. What information do i need to obtain a building permit? Examples of. Accessory Permits Examples.
     
    
         
        From dokumen.tips 
                    (PDF) APPLICATION FOR PERMIT TO CONSTRUCT...INSTRUCTIONS ACCESSORY Accessory Permits Examples  If the building is less than. You need to submit an. Shed or garage) that is larger than 215 square feet. Requirements for building permit overview: If you want to build a detached garage or accessory structure, you need permits to ensure that any structure is built in the right location and complies. A building permit is required to construct. Accessory Permits Examples.
     
    
         
        From vcrma.org 
                    Accessory Dwelling Unit Permits Accessory Permits Examples  Accessory structures are separate from your main home, but must be on the property. This guide outlines building inspection and current planning sections’ requirements for detached. Examples of residential accessory structures include, but are not limited to, sheds, gazebos, pergolas, shade structures, saunas, pool change. Requirements for building permit overview: If the building is less than. Here are some examples. Accessory Permits Examples.
     
    
         
        From www.yorkville.il.us 
                    Building Permit Applications Yorkville, IL Official site Accessory Permits Examples  Requirements for building permit overview: Shed or garage) that is larger than 215 square feet. If you want to build a detached garage or accessory structure, you need permits to ensure that any structure is built in the right location and complies. This guide outlines building inspection and current planning sections’ requirements for detached. Here are some examples of accessory. Accessory Permits Examples.
     
    
         
        From maricamckeel.com 
                    Illustrating Our Process Bidding, Value Engineering and Permitting Accessory Permits Examples  Examples of an accessory building or structures include, garden sheds, utility sheds, detached garages or storage buildings, gazebos,. If you want to build a detached garage or accessory structure, you need permits to ensure that any structure is built in the right location and complies. Accessory structures are separate from your main home, but must be on the property. Here. Accessory Permits Examples.
     
    
         
        From www.norfolkcounty.ca 
                    Building Permits NorfolkCounty.ca Accessory Permits Examples  Any accessory building over 10m² in size will require a building permit. What information do i need to obtain a building permit? Accessory structures are separate from your main home, but must be on the property. Requirements for building permit overview: You need to submit an. Examples of an accessory building or structures include, garden sheds, utility sheds, detached garages. Accessory Permits Examples.
     
    
         
        From studylib.net 
                    UnifiedforBuildingPermit original Accessory Permits Examples  What information do i need to obtain a building permit? A building permit is required to construct an accessory building (ie: If you want to build a detached garage or accessory structure, you need permits to ensure that any structure is built in the right location and complies. If the building is less than. You need to submit an. Any. Accessory Permits Examples.
     
    
         
        From vimeo.com 
                    How to apply for a Residential Accessory Structure Permit on Vimeo Accessory Permits Examples  Accessory structures are separate from your main home, but must be on the property. A building permit is required to construct an accessory building (ie: If the building is less than. If you want to build a detached garage or accessory structure, you need permits to ensure that any structure is built in the right location and complies. Here are. Accessory Permits Examples.