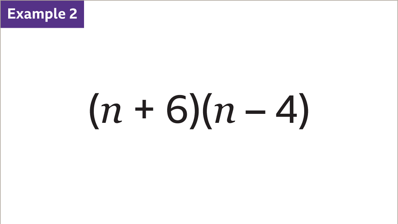
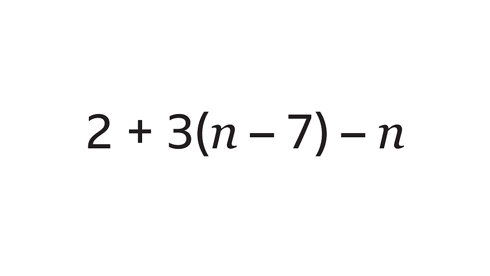
Brackets Maths Bbc Bitesize . Brackets are symbols used in pairs to group things together. Learn how to solve equations with brackets with this bbc bitesize maths article. A look at the training and equipment required to be a top cyclist. Revise how to simplify algebra using skills of expanding brackets and factorising expressions with this bbc bitesize gcse maths edexcel guide. For students between the ages of 11 and 14. When we see things inside brackets we do them first (as explained in. An animated guide showing how fractions multiply to produce baby fractions. Learn about and revise how to simplify algebra using skills of expanding brackets and factorising expressions with gcse bitesize aqa maths. Multiply each term in the bracket by the term attached to the front of the bracket. Albert the alien was in charge of the wrecking ball. For the first bracket, 3 is multiplied by 𝒏 and 2. Ks3 maths brackets and factorising learning resources for adults, children, parents and teachers. Brackets can be used to add additional information to a sentence.
        
         
         
        from www.bbc.co.uk 
     
        
        Albert the alien was in charge of the wrecking ball. Revise how to simplify algebra using skills of expanding brackets and factorising expressions with this bbc bitesize gcse maths edexcel guide. For the first bracket, 3 is multiplied by 𝒏 and 2. Brackets are symbols used in pairs to group things together. Learn about and revise how to simplify algebra using skills of expanding brackets and factorising expressions with gcse bitesize aqa maths. Learn how to solve equations with brackets with this bbc bitesize maths article. When we see things inside brackets we do them first (as explained in. Multiply each term in the bracket by the term attached to the front of the bracket. Ks3 maths brackets and factorising learning resources for adults, children, parents and teachers. An animated guide showing how fractions multiply to produce baby fractions.
    
    	
            
	
		 
	 
         
    Multiplying brackets KS3 Maths BBC Bitesize BBC Bitesize 
    Brackets Maths Bbc Bitesize  A look at the training and equipment required to be a top cyclist. An animated guide showing how fractions multiply to produce baby fractions. Multiply each term in the bracket by the term attached to the front of the bracket. Ks3 maths brackets and factorising learning resources for adults, children, parents and teachers. Brackets are symbols used in pairs to group things together. For students between the ages of 11 and 14. Brackets can be used to add additional information to a sentence. A look at the training and equipment required to be a top cyclist. Learn about and revise how to simplify algebra using skills of expanding brackets and factorising expressions with gcse bitesize aqa maths. Albert the alien was in charge of the wrecking ball. For the first bracket, 3 is multiplied by 𝒏 and 2. Learn how to solve equations with brackets with this bbc bitesize maths article. When we see things inside brackets we do them first (as explained in. Revise how to simplify algebra using skills of expanding brackets and factorising expressions with this bbc bitesize gcse maths edexcel guide.
            
	
		 
	 
         
 
    
         
        From www.bbc.co.uk 
                    When to use brackets guide for KS3 English students BBC Bitesize Brackets Maths Bbc Bitesize  A look at the training and equipment required to be a top cyclist. Ks3 maths brackets and factorising learning resources for adults, children, parents and teachers. Multiply each term in the bracket by the term attached to the front of the bracket. Brackets can be used to add additional information to a sentence. For students between the ages of 11. Brackets Maths Bbc Bitesize.
     
    
         
        From www.bbc.co.uk 
                    BBC Two Key Stage Three Bitesize Revision, BBC Bitesize KS3 English Brackets Maths Bbc Bitesize  Learn how to solve equations with brackets with this bbc bitesize maths article. For students between the ages of 11 and 14. Learn about and revise how to simplify algebra using skills of expanding brackets and factorising expressions with gcse bitesize aqa maths. Revise how to simplify algebra using skills of expanding brackets and factorising expressions with this bbc bitesize. Brackets Maths Bbc Bitesize.
     
    
         
        From www.bbc.co.uk 
                    Multiplying brackets KS3 Maths BBC Bitesize Brackets Maths Bbc Bitesize  When we see things inside brackets we do them first (as explained in. For the first bracket, 3 is multiplied by 𝒏 and 2. Brackets are symbols used in pairs to group things together. Brackets can be used to add additional information to a sentence. Albert the alien was in charge of the wrecking ball. Learn how to solve equations. Brackets Maths Bbc Bitesize.
     
    
         
        From www.bbc.co.uk 
                    Using brackets BBC Bitesize Brackets Maths Bbc Bitesize  When we see things inside brackets we do them first (as explained in. A look at the training and equipment required to be a top cyclist. For students between the ages of 11 and 14. Revise how to simplify algebra using skills of expanding brackets and factorising expressions with this bbc bitesize gcse maths edexcel guide. An animated guide showing. Brackets Maths Bbc Bitesize.
     
    
         
        From www.bbc.co.uk 
                    Multiplying brackets KS3 Maths BBC Bitesize BBC Bitesize Brackets Maths Bbc Bitesize  Albert the alien was in charge of the wrecking ball. Revise how to simplify algebra using skills of expanding brackets and factorising expressions with this bbc bitesize gcse maths edexcel guide. For students between the ages of 11 and 14. Brackets are symbols used in pairs to group things together. Learn how to solve equations with brackets with this bbc. Brackets Maths Bbc Bitesize.
     
    
         
        From www.bbc.co.uk 
                    Brackets and factorising KS3 Maths BBC Bitesize Brackets Maths Bbc Bitesize  Ks3 maths brackets and factorising learning resources for adults, children, parents and teachers. A look at the training and equipment required to be a top cyclist. Learn how to solve equations with brackets with this bbc bitesize maths article. Brackets are symbols used in pairs to group things together. Multiply each term in the bracket by the term attached to. Brackets Maths Bbc Bitesize.
     
    
         
        From www.bbc.co.uk 
                    Multiplying brackets KS3 Maths BBC Bitesize BBC Bitesize Brackets Maths Bbc Bitesize  Brackets can be used to add additional information to a sentence. Brackets are symbols used in pairs to group things together. For students between the ages of 11 and 14. Multiply each term in the bracket by the term attached to the front of the bracket. A look at the training and equipment required to be a top cyclist. Learn. Brackets Maths Bbc Bitesize.
     
    
         
        From www.bbc.co.uk 
                    Solve equations with brackets KS3 Maths BBC Bitesize BBC Bitesize Brackets Maths Bbc Bitesize  Learn about and revise how to simplify algebra using skills of expanding brackets and factorising expressions with gcse bitesize aqa maths. Brackets can be used to add additional information to a sentence. Albert the alien was in charge of the wrecking ball. Brackets are symbols used in pairs to group things together. For students between the ages of 11 and. Brackets Maths Bbc Bitesize.
     
    
         
        From www.bbc.co.uk 
                    How to multiply across a bracket BBC Bitesize Brackets Maths Bbc Bitesize  When we see things inside brackets we do them first (as explained in. Ks3 maths brackets and factorising learning resources for adults, children, parents and teachers. A look at the training and equipment required to be a top cyclist. Learn how to solve equations with brackets with this bbc bitesize maths article. For students between the ages of 11 and. Brackets Maths Bbc Bitesize.
     
    
         
        From www.bbc.co.uk 
                    Solve equations with brackets KS3 Maths BBC Bitesize BBC Bitesize Brackets Maths Bbc Bitesize  Albert the alien was in charge of the wrecking ball. For students between the ages of 11 and 14. Brackets can be used to add additional information to a sentence. Ks3 maths brackets and factorising learning resources for adults, children, parents and teachers. For the first bracket, 3 is multiplied by 𝒏 and 2. Brackets are symbols used in pairs. Brackets Maths Bbc Bitesize.
     
    
         
        From www.bbc.co.uk 
                    Multiplying brackets KS3 Maths BBC Bitesize BBC Bitesize Brackets Maths Bbc Bitesize  An animated guide showing how fractions multiply to produce baby fractions. Brackets are symbols used in pairs to group things together. Learn about and revise how to simplify algebra using skills of expanding brackets and factorising expressions with gcse bitesize aqa maths. Learn how to solve equations with brackets with this bbc bitesize maths article. Multiply each term in the. Brackets Maths Bbc Bitesize.
     
    
         
        From www.bbc.co.uk 
                    Multiplying brackets KS3 Maths BBC Bitesize Brackets Maths Bbc Bitesize  Albert the alien was in charge of the wrecking ball. An animated guide showing how fractions multiply to produce baby fractions. When we see things inside brackets we do them first (as explained in. Revise how to simplify algebra using skills of expanding brackets and factorising expressions with this bbc bitesize gcse maths edexcel guide. Brackets can be used to. Brackets Maths Bbc Bitesize.
     
    
         
        From www.bbc.co.uk 
                    Solve equations with brackets KS3 Maths BBC Bitesize BBC Bitesize Brackets Maths Bbc Bitesize  Multiply each term in the bracket by the term attached to the front of the bracket. Learn how to solve equations with brackets with this bbc bitesize maths article. Albert the alien was in charge of the wrecking ball. For students between the ages of 11 and 14. Brackets are symbols used in pairs to group things together. Revise how. Brackets Maths Bbc Bitesize.
     
    
         
        From www.bbc.co.uk 
                    Multiplying brackets KS3 Maths BBC Bitesize BBC Bitesize Brackets Maths Bbc Bitesize  Learn how to solve equations with brackets with this bbc bitesize maths article. For students between the ages of 11 and 14. An animated guide showing how fractions multiply to produce baby fractions. Revise how to simplify algebra using skills of expanding brackets and factorising expressions with this bbc bitesize gcse maths edexcel guide. For the first bracket, 3 is. Brackets Maths Bbc Bitesize.
     
    
         
        From www.bbc.com 
                    How to multiply across a bracket BBC Bitesize Brackets Maths Bbc Bitesize  Learn about and revise how to simplify algebra using skills of expanding brackets and factorising expressions with gcse bitesize aqa maths. Brackets are symbols used in pairs to group things together. Brackets can be used to add additional information to a sentence. For students between the ages of 11 and 14. Albert the alien was in charge of the wrecking. Brackets Maths Bbc Bitesize.
     
    
         
        From www.bbc.co.uk 
                    Solve equations with brackets KS3 Maths BBC Bitesize BBC Bitesize Brackets Maths Bbc Bitesize  Brackets are symbols used in pairs to group things together. A look at the training and equipment required to be a top cyclist. An animated guide showing how fractions multiply to produce baby fractions. Learn about and revise how to simplify algebra using skills of expanding brackets and factorising expressions with gcse bitesize aqa maths. Multiply each term in the. Brackets Maths Bbc Bitesize.
     
    
         
        From www.bbc.co.uk 
                    Order of operations using BIDMAS KS3 Maths BBC Bitesize BBC Bitesize Brackets Maths Bbc Bitesize  Multiply each term in the bracket by the term attached to the front of the bracket. An animated guide showing how fractions multiply to produce baby fractions. Brackets can be used to add additional information to a sentence. Ks3 maths brackets and factorising learning resources for adults, children, parents and teachers. For the first bracket, 3 is multiplied by 𝒏. Brackets Maths Bbc Bitesize.
     
    
         
        From www.bbc.com 
                    How to use BIDMAS to solve equations BBC Bitesize Brackets Maths Bbc Bitesize  Multiply each term in the bracket by the term attached to the front of the bracket. Ks3 maths brackets and factorising learning resources for adults, children, parents and teachers. For students between the ages of 11 and 14. An animated guide showing how fractions multiply to produce baby fractions. Learn how to solve equations with brackets with this bbc bitesize. Brackets Maths Bbc Bitesize.
     
    
         
        From www.bbc.co.uk 
                    Solve equations with brackets KS3 Maths BBC Bitesize BBC Bitesize Brackets Maths Bbc Bitesize  Albert the alien was in charge of the wrecking ball. Brackets can be used to add additional information to a sentence. Revise how to simplify algebra using skills of expanding brackets and factorising expressions with this bbc bitesize gcse maths edexcel guide. An animated guide showing how fractions multiply to produce baby fractions. Brackets are symbols used in pairs to. Brackets Maths Bbc Bitesize.
     
    
         
        From www.bbc.co.uk 
                    Solve equations with brackets KS3 Maths BBC Bitesize BBC Bitesize Brackets Maths Bbc Bitesize  Revise how to simplify algebra using skills of expanding brackets and factorising expressions with this bbc bitesize gcse maths edexcel guide. A look at the training and equipment required to be a top cyclist. For students between the ages of 11 and 14. Learn how to solve equations with brackets with this bbc bitesize maths article. Brackets can be used. Brackets Maths Bbc Bitesize.
     
    
         
        From www.bbc.co.uk 
                    BBC Two Key Stage Three Bitesize Revision, BBC Bitesize KS3 English Brackets Maths Bbc Bitesize  When we see things inside brackets we do them first (as explained in. Learn how to solve equations with brackets with this bbc bitesize maths article. Brackets can be used to add additional information to a sentence. Ks3 maths brackets and factorising learning resources for adults, children, parents and teachers. For the first bracket, 3 is multiplied by 𝒏 and. Brackets Maths Bbc Bitesize.
     
    
         
        From www.bbc.co.uk 
                    Multiplying brackets KS3 Maths BBC Bitesize BBC Bitesize Brackets Maths Bbc Bitesize  When we see things inside brackets we do them first (as explained in. Revise how to simplify algebra using skills of expanding brackets and factorising expressions with this bbc bitesize gcse maths edexcel guide. A look at the training and equipment required to be a top cyclist. For the first bracket, 3 is multiplied by 𝒏 and 2. Brackets can. Brackets Maths Bbc Bitesize.
     
    
         
        From www.bbc.co.uk 
                    Solve equations with brackets KS3 Maths BBC Bitesize BBC Bitesize Brackets Maths Bbc Bitesize  Brackets can be used to add additional information to a sentence. An animated guide showing how fractions multiply to produce baby fractions. For the first bracket, 3 is multiplied by 𝒏 and 2. Revise how to simplify algebra using skills of expanding brackets and factorising expressions with this bbc bitesize gcse maths edexcel guide. Albert the alien was in charge. Brackets Maths Bbc Bitesize.
     
    
         
        From www.bbc.co.uk 
                    Multiplying brackets KS3 Maths BBC Bitesize BBC Bitesize Brackets Maths Bbc Bitesize  Learn how to solve equations with brackets with this bbc bitesize maths article. An animated guide showing how fractions multiply to produce baby fractions. Albert the alien was in charge of the wrecking ball. Ks3 maths brackets and factorising learning resources for adults, children, parents and teachers. When we see things inside brackets we do them first (as explained in.. Brackets Maths Bbc Bitesize.
     
    
         
        From www.bbc.co.uk 
                    Multiplying brackets KS3 Maths BBC Bitesize BBC Bitesize Brackets Maths Bbc Bitesize  Multiply each term in the bracket by the term attached to the front of the bracket. When we see things inside brackets we do them first (as explained in. Ks3 maths brackets and factorising learning resources for adults, children, parents and teachers. Revise how to simplify algebra using skills of expanding brackets and factorising expressions with this bbc bitesize gcse. Brackets Maths Bbc Bitesize.
     
    
         
        From www.bbc.co.uk 
                    How to multiply across a bracket BBC Bitesize Brackets Maths Bbc Bitesize  An animated guide showing how fractions multiply to produce baby fractions. For the first bracket, 3 is multiplied by 𝒏 and 2. Albert the alien was in charge of the wrecking ball. Brackets can be used to add additional information to a sentence. Multiply each term in the bracket by the term attached to the front of the bracket. When. Brackets Maths Bbc Bitesize.
     
    
         
        From www.bbc.co.uk 
                    Solve equations with brackets KS3 Maths BBC Bitesize BBC Bitesize Brackets Maths Bbc Bitesize  For the first bracket, 3 is multiplied by 𝒏 and 2. Brackets are symbols used in pairs to group things together. Ks3 maths brackets and factorising learning resources for adults, children, parents and teachers. When we see things inside brackets we do them first (as explained in. Learn how to solve equations with brackets with this bbc bitesize maths article.. Brackets Maths Bbc Bitesize.
     
    
         
        From www.bbc.com 
                    How to multiply across a bracket BBC Bitesize Brackets Maths Bbc Bitesize  Brackets can be used to add additional information to a sentence. Ks3 maths brackets and factorising learning resources for adults, children, parents and teachers. Learn how to solve equations with brackets with this bbc bitesize maths article. Revise how to simplify algebra using skills of expanding brackets and factorising expressions with this bbc bitesize gcse maths edexcel guide. For the. Brackets Maths Bbc Bitesize.
     
    
         
        From www.bbc.co.uk 
                    How to multiply across a bracket BBC Bitesize Brackets Maths Bbc Bitesize  Learn about and revise how to simplify algebra using skills of expanding brackets and factorising expressions with gcse bitesize aqa maths. Brackets are symbols used in pairs to group things together. Multiply each term in the bracket by the term attached to the front of the bracket. Albert the alien was in charge of the wrecking ball. An animated guide. Brackets Maths Bbc Bitesize.
     
    
         
        From www.bbc.co.uk 
                    Multiplying brackets KS3 Maths BBC Bitesize BBC Bitesize Brackets Maths Bbc Bitesize  Brackets are symbols used in pairs to group things together. Revise how to simplify algebra using skills of expanding brackets and factorising expressions with this bbc bitesize gcse maths edexcel guide. Ks3 maths brackets and factorising learning resources for adults, children, parents and teachers. Learn about and revise how to simplify algebra using skills of expanding brackets and factorising expressions. Brackets Maths Bbc Bitesize.
     
    
         
        From www.bbc.co.uk 
                    Multiplying brackets KS3 Maths BBC Bitesize BBC Bitesize Brackets Maths Bbc Bitesize  Brackets are symbols used in pairs to group things together. Learn how to solve equations with brackets with this bbc bitesize maths article. Multiply each term in the bracket by the term attached to the front of the bracket. For students between the ages of 11 and 14. Albert the alien was in charge of the wrecking ball. Brackets can. Brackets Maths Bbc Bitesize.
     
    
         
        From www.bbc.co.uk 
                    Multiplying brackets KS3 Maths BBC Bitesize BBC Bitesize Brackets Maths Bbc Bitesize  Multiply each term in the bracket by the term attached to the front of the bracket. An animated guide showing how fractions multiply to produce baby fractions. A look at the training and equipment required to be a top cyclist. Brackets can be used to add additional information to a sentence. Learn about and revise how to simplify algebra using. Brackets Maths Bbc Bitesize.
     
    
         
        From www.bbc.co.uk 
                    Introduction to algebra KS3 Maths BBC Bitesize BBC Bitesize Brackets Maths Bbc Bitesize  Ks3 maths brackets and factorising learning resources for adults, children, parents and teachers. Multiply each term in the bracket by the term attached to the front of the bracket. A look at the training and equipment required to be a top cyclist. For the first bracket, 3 is multiplied by 𝒏 and 2. Brackets can be used to add additional. Brackets Maths Bbc Bitesize.
     
    
         
        From www.bbc.co.uk 
                    How to multiply across a bracket BBC Bitesize Brackets Maths Bbc Bitesize  Ks3 maths brackets and factorising learning resources for adults, children, parents and teachers. Brackets are symbols used in pairs to group things together. For the first bracket, 3 is multiplied by 𝒏 and 2. A look at the training and equipment required to be a top cyclist. Revise how to simplify algebra using skills of expanding brackets and factorising expressions. Brackets Maths Bbc Bitesize.
     
    
         
        From www.bbc.co.uk 
                    Multiplying brackets KS3 Maths BBC Bitesize Brackets Maths Bbc Bitesize  For the first bracket, 3 is multiplied by 𝒏 and 2. When we see things inside brackets we do them first (as explained in. Albert the alien was in charge of the wrecking ball. Learn about and revise how to simplify algebra using skills of expanding brackets and factorising expressions with gcse bitesize aqa maths. An animated guide showing how. Brackets Maths Bbc Bitesize.