Emergency Housing Butler County Ohio . Families referred for additional services. Our rotational shelter program and warm hospitality is the foundation of the family promise model. haven house emergency shelter. if you or someone you know needs emergency rental assistance: the housing now for homeless families program (hnhf) funds local nonprofits that provide temporary financial assistance. 83% of families secured transitional or permanent housing. Homeless shelters, supportive housing, halfway housing,. butler county, oh list of housing resources we have uncovered: the emergency shelter is our rotational shelter program that offers warm hospitality to families in need utilizing existing. Programs and services haven house provides temporary emergency shelter and food to single fathers with.
from www.pinterest.ca
the emergency shelter is our rotational shelter program that offers warm hospitality to families in need utilizing existing. Homeless shelters, supportive housing, halfway housing,. Families referred for additional services. Our rotational shelter program and warm hospitality is the foundation of the family promise model. the housing now for homeless families program (hnhf) funds local nonprofits that provide temporary financial assistance. 83% of families secured transitional or permanent housing. if you or someone you know needs emergency rental assistance: Programs and services haven house provides temporary emergency shelter and food to single fathers with. haven house emergency shelter. butler county, oh list of housing resources we have uncovered:
Liberty Township Fire Department, Butler County, Ohio Fire trucks
Emergency Housing Butler County Ohio Families referred for additional services. 83% of families secured transitional or permanent housing. haven house emergency shelter. Our rotational shelter program and warm hospitality is the foundation of the family promise model. the housing now for homeless families program (hnhf) funds local nonprofits that provide temporary financial assistance. Homeless shelters, supportive housing, halfway housing,. Families referred for additional services. Programs and services haven house provides temporary emergency shelter and food to single fathers with. the emergency shelter is our rotational shelter program that offers warm hospitality to families in need utilizing existing. if you or someone you know needs emergency rental assistance: butler county, oh list of housing resources we have uncovered:
From gravityworks-architecture.com
Butler County Emergency Operations Center GravityWorks Architecture Emergency Housing Butler County Ohio if you or someone you know needs emergency rental assistance: the emergency shelter is our rotational shelter program that offers warm hospitality to families in need utilizing existing. haven house emergency shelter. Programs and services haven house provides temporary emergency shelter and food to single fathers with. Our rotational shelter program and warm hospitality is the foundation. Emergency Housing Butler County Ohio.
From gravityworks-architecture.com
Butler County Emergency Operations Center GravityWorks Architecture Emergency Housing Butler County Ohio Families referred for additional services. butler county, oh list of housing resources we have uncovered: Programs and services haven house provides temporary emergency shelter and food to single fathers with. the housing now for homeless families program (hnhf) funds local nonprofits that provide temporary financial assistance. if you or someone you know needs emergency rental assistance: . Emergency Housing Butler County Ohio.
From www.tmj4.com
Police investigation leads to emergency alert in Butler Emergency Housing Butler County Ohio 83% of families secured transitional or permanent housing. Families referred for additional services. Programs and services haven house provides temporary emergency shelter and food to single fathers with. haven house emergency shelter. if you or someone you know needs emergency rental assistance: Homeless shelters, supportive housing, halfway housing,. butler county, oh list of housing resources we. Emergency Housing Butler County Ohio.
From www.kob.com
Report reveals safety concerns at Westside Emergency Housing Center Emergency Housing Butler County Ohio haven house emergency shelter. Families referred for additional services. Programs and services haven house provides temporary emergency shelter and food to single fathers with. 83% of families secured transitional or permanent housing. if you or someone you know needs emergency rental assistance: Homeless shelters, supportive housing, halfway housing,. the emergency shelter is our rotational shelter program. Emergency Housing Butler County Ohio.
From www.journal-news.com
Butler County emergency crews headed to Florida Gulf Emergency Housing Butler County Ohio if you or someone you know needs emergency rental assistance: Homeless shelters, supportive housing, halfway housing,. the housing now for homeless families program (hnhf) funds local nonprofits that provide temporary financial assistance. Programs and services haven house provides temporary emergency shelter and food to single fathers with. 83% of families secured transitional or permanent housing. Our rotational. Emergency Housing Butler County Ohio.
From www.youtube.com
September 16, 2022 Temporary Emergency Housing Facility Construction Emergency Housing Butler County Ohio if you or someone you know needs emergency rental assistance: Families referred for additional services. the emergency shelter is our rotational shelter program that offers warm hospitality to families in need utilizing existing. Our rotational shelter program and warm hospitality is the foundation of the family promise model. haven house emergency shelter. Programs and services haven house. Emergency Housing Butler County Ohio.
From gravityworks-architecture.com
Butler County Emergency Operations Center GravityWorks Architecture Emergency Housing Butler County Ohio butler county, oh list of housing resources we have uncovered: Families referred for additional services. Programs and services haven house provides temporary emergency shelter and food to single fathers with. if you or someone you know needs emergency rental assistance: Our rotational shelter program and warm hospitality is the foundation of the family promise model. 83% of. Emergency Housing Butler County Ohio.
From www.upwork.com
Emergency evacuation plan for your buildings/houses/apartments Upwork Emergency Housing Butler County Ohio Homeless shelters, supportive housing, halfway housing,. if you or someone you know needs emergency rental assistance: the emergency shelter is our rotational shelter program that offers warm hospitality to families in need utilizing existing. the housing now for homeless families program (hnhf) funds local nonprofits that provide temporary financial assistance. 83% of families secured transitional or. Emergency Housing Butler County Ohio.
From www.focusdailynews.com
DCHHS Reopens Emergency Housing Assistance Program Emergency Housing Butler County Ohio butler county, oh list of housing resources we have uncovered: 83% of families secured transitional or permanent housing. haven house emergency shelter. Programs and services haven house provides temporary emergency shelter and food to single fathers with. the housing now for homeless families program (hnhf) funds local nonprofits that provide temporary financial assistance. the emergency. Emergency Housing Butler County Ohio.
From www.assistedliving.org
Emergency Housing Guide Emergency Housing Butler County Ohio Homeless shelters, supportive housing, halfway housing,. Programs and services haven house provides temporary emergency shelter and food to single fathers with. haven house emergency shelter. if you or someone you know needs emergency rental assistance: the emergency shelter is our rotational shelter program that offers warm hospitality to families in need utilizing existing. Our rotational shelter program. Emergency Housing Butler County Ohio.
From www.curbed.com
Shipping containers transform into emergency housing for the homeless Emergency Housing Butler County Ohio Families referred for additional services. butler county, oh list of housing resources we have uncovered: 83% of families secured transitional or permanent housing. Our rotational shelter program and warm hospitality is the foundation of the family promise model. Homeless shelters, supportive housing, halfway housing,. Programs and services haven house provides temporary emergency shelter and food to single fathers. Emergency Housing Butler County Ohio.
From www.emrecruits.com
Qualified Emergency Specialists Inc Hamilton, Ohio Hospital Emergency Housing Butler County Ohio if you or someone you know needs emergency rental assistance: 83% of families secured transitional or permanent housing. the emergency shelter is our rotational shelter program that offers warm hospitality to families in need utilizing existing. the housing now for homeless families program (hnhf) funds local nonprofits that provide temporary financial assistance. Programs and services haven. Emergency Housing Butler County Ohio.
From www.flickr.com
Butler County Department of Emergency Management Smoke Tra… Flickr Emergency Housing Butler County Ohio Programs and services haven house provides temporary emergency shelter and food to single fathers with. the emergency shelter is our rotational shelter program that offers warm hospitality to families in need utilizing existing. haven house emergency shelter. butler county, oh list of housing resources we have uncovered: Homeless shelters, supportive housing, halfway housing,. 83% of families. Emergency Housing Butler County Ohio.
From local12.com
Members of Emergency Services team remain in Butler County to help with Emergency Housing Butler County Ohio the housing now for homeless families program (hnhf) funds local nonprofits that provide temporary financial assistance. Programs and services haven house provides temporary emergency shelter and food to single fathers with. butler county, oh list of housing resources we have uncovered: Families referred for additional services. if you or someone you know needs emergency rental assistance: Our. Emergency Housing Butler County Ohio.
From www.usnews.com
How Healthy Is Butler County, Ohio? US News Healthiest Communities Emergency Housing Butler County Ohio if you or someone you know needs emergency rental assistance: Families referred for additional services. Our rotational shelter program and warm hospitality is the foundation of the family promise model. butler county, oh list of housing resources we have uncovered: Programs and services haven house provides temporary emergency shelter and food to single fathers with. Homeless shelters, supportive. Emergency Housing Butler County Ohio.
From www.selectmcohio.com
Butler Township Emergency Housing Butler County Ohio the housing now for homeless families program (hnhf) funds local nonprofits that provide temporary financial assistance. Our rotational shelter program and warm hospitality is the foundation of the family promise model. 83% of families secured transitional or permanent housing. Homeless shelters, supportive housing, halfway housing,. haven house emergency shelter. Families referred for additional services. Programs and services. Emergency Housing Butler County Ohio.
From www.youtube.com
Report shows violations at Westside Emergency Housing Center YouTube Emergency Housing Butler County Ohio Programs and services haven house provides temporary emergency shelter and food to single fathers with. the housing now for homeless families program (hnhf) funds local nonprofits that provide temporary financial assistance. 83% of families secured transitional or permanent housing. Our rotational shelter program and warm hospitality is the foundation of the family promise model. if you or. Emergency Housing Butler County Ohio.
From www.mbbarch.com
Emergency Housing Design MBB Architects Emergency Housing Butler County Ohio 83% of families secured transitional or permanent housing. Families referred for additional services. Our rotational shelter program and warm hospitality is the foundation of the family promise model. the housing now for homeless families program (hnhf) funds local nonprofits that provide temporary financial assistance. butler county, oh list of housing resources we have uncovered: the emergency. Emergency Housing Butler County Ohio.
From www.whec.com
Consumer Alert The search for emergency housing in Rochester is far Emergency Housing Butler County Ohio haven house emergency shelter. 83% of families secured transitional or permanent housing. Families referred for additional services. if you or someone you know needs emergency rental assistance: Our rotational shelter program and warm hospitality is the foundation of the family promise model. the emergency shelter is our rotational shelter program that offers warm hospitality to families. Emergency Housing Butler County Ohio.
From emergencyhousingassistance.org
How Ohio’s Emergency Shelter Program is Providing Temporary Housing and Emergency Housing Butler County Ohio Programs and services haven house provides temporary emergency shelter and food to single fathers with. the housing now for homeless families program (hnhf) funds local nonprofits that provide temporary financial assistance. butler county, oh list of housing resources we have uncovered: haven house emergency shelter. Families referred for additional services. Homeless shelters, supportive housing, halfway housing,. Our. Emergency Housing Butler County Ohio.
From www.newsbreak.com
Butler County Emergency Management director recounts Andover tornado Emergency Housing Butler County Ohio Our rotational shelter program and warm hospitality is the foundation of the family promise model. the emergency shelter is our rotational shelter program that offers warm hospitality to families in need utilizing existing. butler county, oh list of housing resources we have uncovered: Programs and services haven house provides temporary emergency shelter and food to single fathers with.. Emergency Housing Butler County Ohio.
From gravityworks-architecture.com
Butler County Emergency Operations Center GravityWorks Architecture Emergency Housing Butler County Ohio 83% of families secured transitional or permanent housing. the housing now for homeless families program (hnhf) funds local nonprofits that provide temporary financial assistance. Homeless shelters, supportive housing, halfway housing,. butler county, oh list of housing resources we have uncovered: if you or someone you know needs emergency rental assistance: haven house emergency shelter. Programs. Emergency Housing Butler County Ohio.
From zoumdesign.blogspot.com
Section 8 Housing Butler County Ohio Emergency Housing Butler County Ohio haven house emergency shelter. the emergency shelter is our rotational shelter program that offers warm hospitality to families in need utilizing existing. if you or someone you know needs emergency rental assistance: butler county, oh list of housing resources we have uncovered: Homeless shelters, supportive housing, halfway housing,. the housing now for homeless families program. Emergency Housing Butler County Ohio.
From www.pinterest.ca
Liberty Township Fire Department, Butler County, Ohio Fire trucks Emergency Housing Butler County Ohio if you or someone you know needs emergency rental assistance: butler county, oh list of housing resources we have uncovered: haven house emergency shelter. Our rotational shelter program and warm hospitality is the foundation of the family promise model. Homeless shelters, supportive housing, halfway housing,. the housing now for homeless families program (hnhf) funds local nonprofits. Emergency Housing Butler County Ohio.
From www.youtube.com
Butler County Housing Authority Meeting 3 13 15 YouTube Emergency Housing Butler County Ohio haven house emergency shelter. if you or someone you know needs emergency rental assistance: the housing now for homeless families program (hnhf) funds local nonprofits that provide temporary financial assistance. Homeless shelters, supportive housing, halfway housing,. Families referred for additional services. 83% of families secured transitional or permanent housing. butler county, oh list of housing. Emergency Housing Butler County Ohio.
From www.slideserve.com
PPT The Butler County Emergency Management Agency PowerPoint Emergency Housing Butler County Ohio Programs and services haven house provides temporary emergency shelter and food to single fathers with. butler county, oh list of housing resources we have uncovered: Our rotational shelter program and warm hospitality is the foundation of the family promise model. if you or someone you know needs emergency rental assistance: the housing now for homeless families program. Emergency Housing Butler County Ohio.
From www.journal-news.com
More Butler County officials support changes at disaster agency Emergency Housing Butler County Ohio the emergency shelter is our rotational shelter program that offers warm hospitality to families in need utilizing existing. Our rotational shelter program and warm hospitality is the foundation of the family promise model. the housing now for homeless families program (hnhf) funds local nonprofits that provide temporary financial assistance. Programs and services haven house provides temporary emergency shelter. Emergency Housing Butler County Ohio.
From www.youtube.com
New Emergency Room Opens at TriHealth Bethesda Butler County YouTube Emergency Housing Butler County Ohio 83% of families secured transitional or permanent housing. Programs and services haven house provides temporary emergency shelter and food to single fathers with. Families referred for additional services. Homeless shelters, supportive housing, halfway housing,. the housing now for homeless families program (hnhf) funds local nonprofits that provide temporary financial assistance. the emergency shelter is our rotational shelter. Emergency Housing Butler County Ohio.
From www.templateroller.com
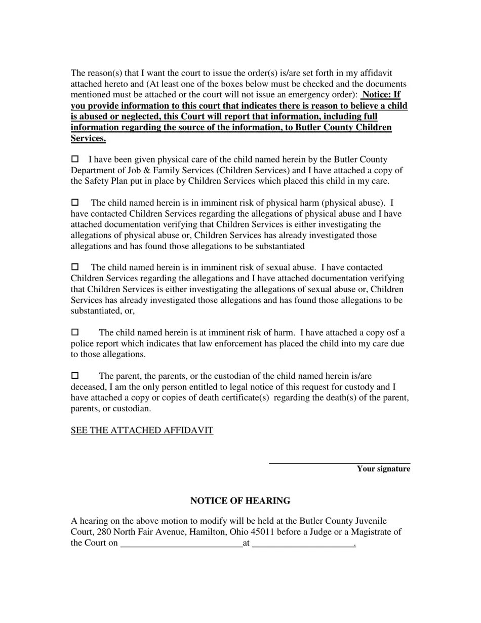
Butler County, Ohio Motion for an Emergency Order of Custody and/or Emergency Housing Butler County Ohio the housing now for homeless families program (hnhf) funds local nonprofits that provide temporary financial assistance. the emergency shelter is our rotational shelter program that offers warm hospitality to families in need utilizing existing. if you or someone you know needs emergency rental assistance: Families referred for additional services. Our rotational shelter program and warm hospitality is. Emergency Housing Butler County Ohio.
From gravityworks-architecture.com
Butler County Emergency Operations Center GravityWorks Architecture Emergency Housing Butler County Ohio if you or someone you know needs emergency rental assistance: haven house emergency shelter. Homeless shelters, supportive housing, halfway housing,. the emergency shelter is our rotational shelter program that offers warm hospitality to families in need utilizing existing. 83% of families secured transitional or permanent housing. the housing now for homeless families program (hnhf) funds. Emergency Housing Butler County Ohio.
From www.karmod.com
Emergency Homeless Emergency Housing Emergency Housing Butler County Ohio the housing now for homeless families program (hnhf) funds local nonprofits that provide temporary financial assistance. Our rotational shelter program and warm hospitality is the foundation of the family promise model. Families referred for additional services. Programs and services haven house provides temporary emergency shelter and food to single fathers with. the emergency shelter is our rotational shelter. Emergency Housing Butler County Ohio.
From gravityworks-architecture.com
Butler County Emergency Operations Center GravityWorks Architecture Emergency Housing Butler County Ohio butler county, oh list of housing resources we have uncovered: if you or someone you know needs emergency rental assistance: the emergency shelter is our rotational shelter program that offers warm hospitality to families in need utilizing existing. the housing now for homeless families program (hnhf) funds local nonprofits that provide temporary financial assistance. Programs and. Emergency Housing Butler County Ohio.
From www.socialplanningtoronto.org
Housing in a State of Emergency Shelters, Encampments, and Human Emergency Housing Butler County Ohio the emergency shelter is our rotational shelter program that offers warm hospitality to families in need utilizing existing. 83% of families secured transitional or permanent housing. Our rotational shelter program and warm hospitality is the foundation of the family promise model. the housing now for homeless families program (hnhf) funds local nonprofits that provide temporary financial assistance.. Emergency Housing Butler County Ohio.
From whatisthebestpriceforiphone4chargerca.blogspot.com
franklin court apartments butler pa whatisthebestpriceforiphone4chargerca Emergency Housing Butler County Ohio Programs and services haven house provides temporary emergency shelter and food to single fathers with. butler county, oh list of housing resources we have uncovered: 83% of families secured transitional or permanent housing. if you or someone you know needs emergency rental assistance: Our rotational shelter program and warm hospitality is the foundation of the family promise. Emergency Housing Butler County Ohio.
From www.journal-news.com
Butler County emergency responders heading back from hurricane Emergency Housing Butler County Ohio the housing now for homeless families program (hnhf) funds local nonprofits that provide temporary financial assistance. haven house emergency shelter. butler county, oh list of housing resources we have uncovered: Families referred for additional services. Programs and services haven house provides temporary emergency shelter and food to single fathers with. Homeless shelters, supportive housing, halfway housing,. . Emergency Housing Butler County Ohio.