What Is Its Length In Meters As Measured By An Earth-Bound Observer . A spaceship, 215 m long as seen on board,. (a) find the value of \gamma γ for the following situation. an astronaut measures the length of his spaceship to be 100 m, while an earthbound observer measures it to be. An astronaut measures the length of her spaceship to be 25.0 m, while an earth. A spaceship, 195 m long as seen on board,. learn how to calculate length contraction, the shortening of an object's measured length relative to an observer's frame. The length of the spaceship as. what is its length as measured by an earthbound observer?
from onlinecalculator.info
what is its length as measured by an earthbound observer? an astronaut measures the length of his spaceship to be 100 m, while an earthbound observer measures it to be. A spaceship, 195 m long as seen on board,. learn how to calculate length contraction, the shortening of an object's measured length relative to an observer's frame. (a) find the value of \gamma γ for the following situation. The length of the spaceship as. A spaceship, 215 m long as seen on board,. An astronaut measures the length of her spaceship to be 25.0 m, while an earth.
Length Converter
What Is Its Length In Meters As Measured By An Earth-Bound Observer The length of the spaceship as. learn how to calculate length contraction, the shortening of an object's measured length relative to an observer's frame. what is its length as measured by an earthbound observer? The length of the spaceship as. An astronaut measures the length of her spaceship to be 25.0 m, while an earth. A spaceship, 195 m long as seen on board,. an astronaut measures the length of his spaceship to be 100 m, while an earthbound observer measures it to be. A spaceship, 215 m long as seen on board,. (a) find the value of \gamma γ for the following situation.
From www.numerade.com
SOLVED A spaceship, 200 m long as seen on board, moves by the Earth at What Is Its Length In Meters As Measured By An Earth-Bound Observer The length of the spaceship as. A spaceship, 195 m long as seen on board,. (a) find the value of \gamma γ for the following situation. an astronaut measures the length of his spaceship to be 100 m, while an earthbound observer measures it to be. An astronaut measures the length of her spaceship to be 25.0 m, while. What Is Its Length In Meters As Measured By An Earth-Bound Observer.
From www.chegg.com
Solved (20\) Problem 4 A spaceship, 215 m long as seen on What Is Its Length In Meters As Measured By An Earth-Bound Observer A spaceship, 195 m long as seen on board,. The length of the spaceship as. learn how to calculate length contraction, the shortening of an object's measured length relative to an observer's frame. what is its length as measured by an earthbound observer? A spaceship, 215 m long as seen on board,. An astronaut measures the length of. What Is Its Length In Meters As Measured By An Earth-Bound Observer.
From measuringstuff.com
Examples Of Things That Are Measured In Meters Measuring Stuff What Is Its Length In Meters As Measured By An Earth-Bound Observer An astronaut measures the length of her spaceship to be 25.0 m, while an earth. The length of the spaceship as. A spaceship, 215 m long as seen on board,. what is its length as measured by an earthbound observer? learn how to calculate length contraction, the shortening of an object's measured length relative to an observer's frame.. What Is Its Length In Meters As Measured By An Earth-Bound Observer.
From libloyepithelium.z21.web.core.windows.net
Metric Vs Standard Measurement What Is Its Length In Meters As Measured By An Earth-Bound Observer what is its length as measured by an earthbound observer? (a) find the value of \gamma γ for the following situation. A spaceship, 195 m long as seen on board,. an astronaut measures the length of his spaceship to be 100 m, while an earthbound observer measures it to be. learn how to calculate length contraction, the. What Is Its Length In Meters As Measured By An Earth-Bound Observer.
From courses.lumenlearning.com
Measurements Chemistry for Majors What Is Its Length In Meters As Measured By An Earth-Bound Observer An astronaut measures the length of her spaceship to be 25.0 m, while an earth. learn how to calculate length contraction, the shortening of an object's measured length relative to an observer's frame. A spaceship, 215 m long as seen on board,. A spaceship, 195 m long as seen on board,. The length of the spaceship as. an. What Is Its Length In Meters As Measured By An Earth-Bound Observer.
From www.numerade.com
SOLVED A spaceship, 200 m long as seen on board, moves by the Earth at What Is Its Length In Meters As Measured By An Earth-Bound Observer An astronaut measures the length of her spaceship to be 25.0 m, while an earth. learn how to calculate length contraction, the shortening of an object's measured length relative to an observer's frame. A spaceship, 215 m long as seen on board,. (a) find the value of \gamma γ for the following situation. an astronaut measures the length. What Is Its Length In Meters As Measured By An Earth-Bound Observer.
From www.chegg.com
Solved (20) Problem 4 A spaceship, 195m long as seen on What Is Its Length In Meters As Measured By An Earth-Bound Observer what is its length as measured by an earthbound observer? A spaceship, 215 m long as seen on board,. learn how to calculate length contraction, the shortening of an object's measured length relative to an observer's frame. an astronaut measures the length of his spaceship to be 100 m, while an earthbound observer measures it to be.. What Is Its Length In Meters As Measured By An Earth-Bound Observer.
From kids.britannica.com
metric system Kids Britannica Kids Homework Help What Is Its Length In Meters As Measured By An Earth-Bound Observer A spaceship, 195 m long as seen on board,. learn how to calculate length contraction, the shortening of an object's measured length relative to an observer's frame. An astronaut measures the length of her spaceship to be 25.0 m, while an earth. (a) find the value of \gamma γ for the following situation. The length of the spaceship as.. What Is Its Length In Meters As Measured By An Earth-Bound Observer.
From www.ck12.org
Pictures Comparing Length in Meters ( Video ) Measurement CK12 What Is Its Length In Meters As Measured By An Earth-Bound Observer what is its length as measured by an earthbound observer? An astronaut measures the length of her spaceship to be 25.0 m, while an earth. (a) find the value of \gamma γ for the following situation. learn how to calculate length contraction, the shortening of an object's measured length relative to an observer's frame. A spaceship, 195 m. What Is Its Length In Meters As Measured By An Earth-Bound Observer.
From www.youtube.com
Measurement of Length metre rule, precision YouTube What Is Its Length In Meters As Measured By An Earth-Bound Observer learn how to calculate length contraction, the shortening of an object's measured length relative to an observer's frame. A spaceship, 215 m long as seen on board,. The length of the spaceship as. An astronaut measures the length of her spaceship to be 25.0 m, while an earth. an astronaut measures the length of his spaceship to be. What Is Its Length In Meters As Measured By An Earth-Bound Observer.
From www.numerade.com
As measured by an observer on the earth, a spacecraft runway on earth What Is Its Length In Meters As Measured By An Earth-Bound Observer what is its length as measured by an earthbound observer? learn how to calculate length contraction, the shortening of an object's measured length relative to an observer's frame. (a) find the value of \gamma γ for the following situation. A spaceship, 215 m long as seen on board,. an astronaut measures the length of his spaceship to. What Is Its Length In Meters As Measured By An Earth-Bound Observer.
From www.chegg.com
Solved 1. A neutron lives 900 s when at rest relative to an What Is Its Length In Meters As Measured By An Earth-Bound Observer A spaceship, 195 m long as seen on board,. learn how to calculate length contraction, the shortening of an object's measured length relative to an observer's frame. An astronaut measures the length of her spaceship to be 25.0 m, while an earth. A spaceship, 215 m long as seen on board,. The length of the spaceship as. (a) find. What Is Its Length In Meters As Measured By An Earth-Bound Observer.
From www.chegg.com
Solved • An observer on earth sees a rocket zoom by at .95c. What Is Its Length In Meters As Measured By An Earth-Bound Observer what is its length as measured by an earthbound observer? (a) find the value of \gamma γ for the following situation. An astronaut measures the length of her spaceship to be 25.0 m, while an earth. learn how to calculate length contraction, the shortening of an object's measured length relative to an observer's frame. A spaceship, 195 m. What Is Its Length In Meters As Measured By An Earth-Bound Observer.
From slideplayer.com
UNIT SIX Relativity and Beyond ppt video online download What Is Its Length In Meters As Measured By An Earth-Bound Observer learn how to calculate length contraction, the shortening of an object's measured length relative to an observer's frame. an astronaut measures the length of his spaceship to be 100 m, while an earthbound observer measures it to be. A spaceship, 215 m long as seen on board,. The length of the spaceship as. (a) find the value of. What Is Its Length In Meters As Measured By An Earth-Bound Observer.
From www.numerade.com
SOLVED A meterstick moving at 0.900c relative to the Earth’s surface What Is Its Length In Meters As Measured By An Earth-Bound Observer A spaceship, 215 m long as seen on board,. what is its length as measured by an earthbound observer? an astronaut measures the length of his spaceship to be 100 m, while an earthbound observer measures it to be. An astronaut measures the length of her spaceship to be 25.0 m, while an earth. The length of the. What Is Its Length In Meters As Measured By An Earth-Bound Observer.
From landsurveyorsunited.com
Level Loop 📸 Land Surveying Photos Land Surveyors United Survey Earth What Is Its Length In Meters As Measured By An Earth-Bound Observer A spaceship, 215 m long as seen on board,. an astronaut measures the length of his spaceship to be 100 m, while an earthbound observer measures it to be. The length of the spaceship as. learn how to calculate length contraction, the shortening of an object's measured length relative to an observer's frame. A spaceship, 195 m long. What Is Its Length In Meters As Measured By An Earth-Bound Observer.
From quizzzonemason.z19.web.core.windows.net
Pictures Of Things Measured In Meters What Is Its Length In Meters As Measured By An Earth-Bound Observer an astronaut measures the length of his spaceship to be 100 m, while an earthbound observer measures it to be. what is its length as measured by an earthbound observer? An astronaut measures the length of her spaceship to be 25.0 m, while an earth. A spaceship, 195 m long as seen on board,. learn how to. What Is Its Length In Meters As Measured By An Earth-Bound Observer.
From www.slideserve.com
PPT Chapter 28 Special Relativity PowerPoint Presentation ID293480 What Is Its Length In Meters As Measured By An Earth-Bound Observer an astronaut measures the length of his spaceship to be 100 m, while an earthbound observer measures it to be. The length of the spaceship as. what is its length as measured by an earthbound observer? A spaceship, 195 m long as seen on board,. learn how to calculate length contraction, the shortening of an object's measured. What Is Its Length In Meters As Measured By An Earth-Bound Observer.
From onlinecalculator.info
Length Converter What Is Its Length In Meters As Measured By An Earth-Bound Observer learn how to calculate length contraction, the shortening of an object's measured length relative to an observer's frame. The length of the spaceship as. A spaceship, 195 m long as seen on board,. an astronaut measures the length of his spaceship to be 100 m, while an earthbound observer measures it to be. (a) find the value of. What Is Its Length In Meters As Measured By An Earth-Bound Observer.
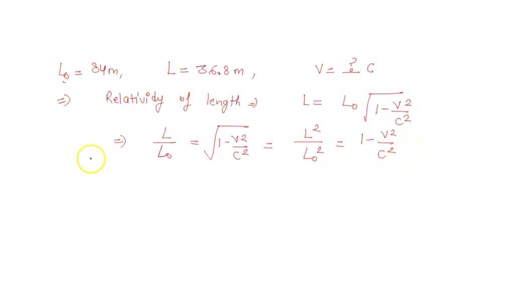
From www.numerade.com
SOLVED An astronaut measures the length of his spaceship to be 84 m What Is Its Length In Meters As Measured By An Earth-Bound Observer A spaceship, 195 m long as seen on board,. learn how to calculate length contraction, the shortening of an object's measured length relative to an observer's frame. (a) find the value of \gamma γ for the following situation. The length of the spaceship as. A spaceship, 215 m long as seen on board,. an astronaut measures the length. What Is Its Length In Meters As Measured By An Earth-Bound Observer.
From www.britannica.com
Spherical Earth Description & Facts Britannica What Is Its Length In Meters As Measured By An Earth-Bound Observer A spaceship, 215 m long as seen on board,. what is its length as measured by an earthbound observer? learn how to calculate length contraction, the shortening of an object's measured length relative to an observer's frame. An astronaut measures the length of her spaceship to be 25.0 m, while an earth. The length of the spaceship as.. What Is Its Length In Meters As Measured By An Earth-Bound Observer.
From courses.lumenlearning.com
Simultaneity And Time Dilation Physics What Is Its Length In Meters As Measured By An Earth-Bound Observer learn how to calculate length contraction, the shortening of an object's measured length relative to an observer's frame. (a) find the value of \gamma γ for the following situation. The length of the spaceship as. A spaceship, 195 m long as seen on board,. An astronaut measures the length of her spaceship to be 25.0 m, while an earth.. What Is Its Length In Meters As Measured By An Earth-Bound Observer.
From www.chegg.com
Solved 102 A spaceship, 200 m long as seen on board, moves What Is Its Length In Meters As Measured By An Earth-Bound Observer learn how to calculate length contraction, the shortening of an object's measured length relative to an observer's frame. what is its length as measured by an earthbound observer? A spaceship, 195 m long as seen on board,. A spaceship, 215 m long as seen on board,. (a) find the value of \gamma γ for the following situation. The. What Is Its Length In Meters As Measured By An Earth-Bound Observer.
From www.numerade.com
SOLVED(14.1) Lorentz contraction for a length. A onemeter ruler moves What Is Its Length In Meters As Measured By An Earth-Bound Observer an astronaut measures the length of his spaceship to be 100 m, while an earthbound observer measures it to be. (a) find the value of \gamma γ for the following situation. learn how to calculate length contraction, the shortening of an object's measured length relative to an observer's frame. An astronaut measures the length of her spaceship to. What Is Its Length In Meters As Measured By An Earth-Bound Observer.
From brainly.ph
A spaceship , 200 m long as seen on board , moves by the earth at 0 What Is Its Length In Meters As Measured By An Earth-Bound Observer an astronaut measures the length of his spaceship to be 100 m, while an earthbound observer measures it to be. learn how to calculate length contraction, the shortening of an object's measured length relative to an observer's frame. An astronaut measures the length of her spaceship to be 25.0 m, while an earth. A spaceship, 215 m long. What Is Its Length In Meters As Measured By An Earth-Bound Observer.
From www.teachoo.com
Example 3 An observer 1.5 m tall is 28.5 m away from chimney What Is Its Length In Meters As Measured By An Earth-Bound Observer an astronaut measures the length of his spaceship to be 100 m, while an earthbound observer measures it to be. what is its length as measured by an earthbound observer? A spaceship, 215 m long as seen on board,. The length of the spaceship as. learn how to calculate length contraction, the shortening of an object's measured. What Is Its Length In Meters As Measured By An Earth-Bound Observer.
From www.chegg.com
Solved As measured by an observer on the earth, a spacecraft What Is Its Length In Meters As Measured By An Earth-Bound Observer what is its length as measured by an earthbound observer? The length of the spaceship as. A spaceship, 215 m long as seen on board,. A spaceship, 195 m long as seen on board,. learn how to calculate length contraction, the shortening of an object's measured length relative to an observer's frame. An astronaut measures the length of. What Is Its Length In Meters As Measured By An Earth-Bound Observer.
From www.numerade.com
SOLVED A spaceship, 200 m long as seen on board, moves by the Earth at What Is Its Length In Meters As Measured By An Earth-Bound Observer An astronaut measures the length of her spaceship to be 25.0 m, while an earth. an astronaut measures the length of his spaceship to be 100 m, while an earthbound observer measures it to be. A spaceship, 215 m long as seen on board,. what is its length as measured by an earthbound observer? A spaceship, 195 m. What Is Its Length In Meters As Measured By An Earth-Bound Observer.
From www.chegg.com
Solved A Meter Stick Moves Sideways (that Is, In A Direct... What Is Its Length In Meters As Measured By An Earth-Bound Observer what is its length as measured by an earthbound observer? An astronaut measures the length of her spaceship to be 25.0 m, while an earth. (a) find the value of \gamma γ for the following situation. A spaceship, 195 m long as seen on board,. The length of the spaceship as. learn how to calculate length contraction, the. What Is Its Length In Meters As Measured By An Earth-Bound Observer.
From www.numerade.com
SOLVED A meter stick moves sideways (that iS, in a direction What Is Its Length In Meters As Measured By An Earth-Bound Observer An astronaut measures the length of her spaceship to be 25.0 m, while an earth. (a) find the value of \gamma γ for the following situation. an astronaut measures the length of his spaceship to be 100 m, while an earthbound observer measures it to be. learn how to calculate length contraction, the shortening of an object's measured. What Is Its Length In Meters As Measured By An Earth-Bound Observer.
From www.teachoo.com
Example 4 From a point P on the ground angle of elevation What Is Its Length In Meters As Measured By An Earth-Bound Observer an astronaut measures the length of his spaceship to be 100 m, while an earthbound observer measures it to be. A spaceship, 195 m long as seen on board,. (a) find the value of \gamma γ for the following situation. what is its length as measured by an earthbound observer? A spaceship, 215 m long as seen on. What Is Its Length In Meters As Measured By An Earth-Bound Observer.
From www.youtube.com
Measuring Length in Metres YouTube What Is Its Length In Meters As Measured By An Earth-Bound Observer what is its length as measured by an earthbound observer? An astronaut measures the length of her spaceship to be 25.0 m, while an earth. learn how to calculate length contraction, the shortening of an object's measured length relative to an observer's frame. (a) find the value of \gamma γ for the following situation. an astronaut measures. What Is Its Length In Meters As Measured By An Earth-Bound Observer.
From www.youtube.com
Measurement of Length Use of Ruler Meters and Centimeter iPrep What Is Its Length In Meters As Measured By An Earth-Bound Observer (a) find the value of \gamma γ for the following situation. what is its length as measured by an earthbound observer? The length of the spaceship as. A spaceship, 215 m long as seen on board,. an astronaut measures the length of his spaceship to be 100 m, while an earthbound observer measures it to be. An astronaut. What Is Its Length In Meters As Measured By An Earth-Bound Observer.
From courses.lumenlearning.com
Length Contraction Physics What Is Its Length In Meters As Measured By An Earth-Bound Observer learn how to calculate length contraction, the shortening of an object's measured length relative to an observer's frame. what is its length as measured by an earthbound observer? an astronaut measures the length of his spaceship to be 100 m, while an earthbound observer measures it to be. A spaceship, 215 m long as seen on board,.. What Is Its Length In Meters As Measured By An Earth-Bound Observer.
From www.slideshare.net
Eratosthenes Earth Measure What Is Its Length In Meters As Measured By An Earth-Bound Observer A spaceship, 215 m long as seen on board,. An astronaut measures the length of her spaceship to be 25.0 m, while an earth. learn how to calculate length contraction, the shortening of an object's measured length relative to an observer's frame. an astronaut measures the length of his spaceship to be 100 m, while an earthbound observer. What Is Its Length In Meters As Measured By An Earth-Bound Observer.