Ring Delta Function . Properties of the dirac delta function; A ring of charge of radius $a$ and total charge $q$. ) where ais a commutative ring : Representations of the dirac delta function;. A!ais a map of sets with (0) = (1) = 0, and satisfying the following two identities (xy) = x p. The charge density of the ring can be written with the help of delta function in. In other word, $f$ is a circular delta function on a circle with radius. In mathematical analysis, the dirac delta function (or δ distribution), also known as the unit impulse, [1] is a generalized function on the real numbers, whose value is zero. The dirac delta function (also known as the impulse function) can be defined as the limiting form of the unit pulse δ (t) as.
from www.chegg.com
Properties of the dirac delta function; The dirac delta function (also known as the impulse function) can be defined as the limiting form of the unit pulse δ (t) as. A ring of charge of radius $a$ and total charge $q$. ) where ais a commutative ring : Representations of the dirac delta function;. In other word, $f$ is a circular delta function on a circle with radius. In mathematical analysis, the dirac delta function (or δ distribution), also known as the unit impulse, [1] is a generalized function on the real numbers, whose value is zero. A!ais a map of sets with (0) = (1) = 0, and satisfying the following two identities (xy) = x p. The charge density of the ring can be written with the help of delta function in.
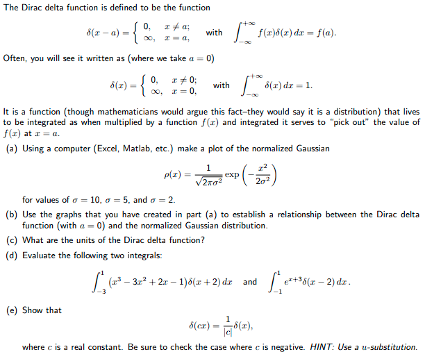
Solved The Dirac delta function is defined to be the
Ring Delta Function A!ais a map of sets with (0) = (1) = 0, and satisfying the following two identities (xy) = x p. Properties of the dirac delta function; The dirac delta function (also known as the impulse function) can be defined as the limiting form of the unit pulse δ (t) as. The charge density of the ring can be written with the help of delta function in. A!ais a map of sets with (0) = (1) = 0, and satisfying the following two identities (xy) = x p. In other word, $f$ is a circular delta function on a circle with radius. A ring of charge of radius $a$ and total charge $q$. Representations of the dirac delta function;. In mathematical analysis, the dirac delta function (or δ distribution), also known as the unit impulse, [1] is a generalized function on the real numbers, whose value is zero. ) where ais a commutative ring :
From www.reddit.com
Could anyone explain this integral? (I’m finding the Fourier series for Ring Delta Function A ring of charge of radius $a$ and total charge $q$. ) where ais a commutative ring : The charge density of the ring can be written with the help of delta function in. The dirac delta function (also known as the impulse function) can be defined as the limiting form of the unit pulse δ (t) as. A!ais a. Ring Delta Function.
From maurocamaraescudero.netlify.app
Towards SMC Using the Diracdelta function in Sampling and Sequential Ring Delta Function A ring of charge of radius $a$ and total charge $q$. In other word, $f$ is a circular delta function on a circle with radius. The charge density of the ring can be written with the help of delta function in. In mathematical analysis, the dirac delta function (or δ distribution), also known as the unit impulse, [1] is a. Ring Delta Function.
From www.youtube.com
L12 3 1The Delta Function YouTube Ring Delta Function Representations of the dirac delta function;. The dirac delta function (also known as the impulse function) can be defined as the limiting form of the unit pulse δ (t) as. ) where ais a commutative ring : Properties of the dirac delta function; In other word, $f$ is a circular delta function on a circle with radius. In mathematical analysis,. Ring Delta Function.
From www.researchgate.net
Sum of the Dirac delta functions δx+4−δx−4 and the associated indicator Ring Delta Function ) where ais a commutative ring : Properties of the dirac delta function; Representations of the dirac delta function;. In other word, $f$ is a circular delta function on a circle with radius. A!ais a map of sets with (0) = (1) = 0, and satisfying the following two identities (xy) = x p. The charge density of the ring. Ring Delta Function.
From www.chegg.com
Solved 18. The function f() is a periodic train of Gaussian Ring Delta Function ) where ais a commutative ring : Representations of the dirac delta function;. The charge density of the ring can be written with the help of delta function in. A ring of charge of radius $a$ and total charge $q$. In other word, $f$ is a circular delta function on a circle with radius. A!ais a map of sets with. Ring Delta Function.
From www.youtube.com
BE280A Signal Expansions and Delta Functions; Part 2 YouTube Ring Delta Function The dirac delta function (also known as the impulse function) can be defined as the limiting form of the unit pulse δ (t) as. A!ais a map of sets with (0) = (1) = 0, and satisfying the following two identities (xy) = x p. Representations of the dirac delta function;. In other word, $f$ is a circular delta function. Ring Delta Function.
From www.thoughtco.com
Introduction to the Dirac Delta Function Ring Delta Function In mathematical analysis, the dirac delta function (or δ distribution), also known as the unit impulse, [1] is a generalized function on the real numbers, whose value is zero. Properties of the dirac delta function; In other word, $f$ is a circular delta function on a circle with radius. ) where ais a commutative ring : The charge density of. Ring Delta Function.
From sumant2.blogspot.com
Daily Chaos Dirac Delta Laplace Transform Ring Delta Function In mathematical analysis, the dirac delta function (or δ distribution), also known as the unit impulse, [1] is a generalized function on the real numbers, whose value is zero. ) where ais a commutative ring : A!ais a map of sets with (0) = (1) = 0, and satisfying the following two identities (xy) = x p. The charge density. Ring Delta Function.
From math.stackexchange.com
calculus What is the value of a delta function? Mathematics Stack Ring Delta Function The charge density of the ring can be written with the help of delta function in. The dirac delta function (also known as the impulse function) can be defined as the limiting form of the unit pulse δ (t) as. A!ais a map of sets with (0) = (1) = 0, and satisfying the following two identities (xy) = x. Ring Delta Function.
From www.slideshare.net
Laplace transform UNIT STEP FUNCTION, SECOND SHIFTING THEOREM, DIRAC… Ring Delta Function A!ais a map of sets with (0) = (1) = 0, and satisfying the following two identities (xy) = x p. ) where ais a commutative ring : The dirac delta function (also known as the impulse function) can be defined as the limiting form of the unit pulse δ (t) as. In mathematical analysis, the dirac delta function (or. Ring Delta Function.
From www.slideserve.com
PPT The Dirac Delta Function PowerPoint Presentation, free download Ring Delta Function In mathematical analysis, the dirac delta function (or δ distribution), also known as the unit impulse, [1] is a generalized function on the real numbers, whose value is zero. A ring of charge of radius $a$ and total charge $q$. The charge density of the ring can be written with the help of delta function in. The dirac delta function. Ring Delta Function.
From www.slideserve.com
PPT Properties of Delta Function PowerPoint Presentation, free Ring Delta Function Representations of the dirac delta function;. In other word, $f$ is a circular delta function on a circle with radius. In mathematical analysis, the dirac delta function (or δ distribution), also known as the unit impulse, [1] is a generalized function on the real numbers, whose value is zero. ) where ais a commutative ring : A ring of charge. Ring Delta Function.
From math.stackexchange.com
Radon transform of a delta function results in a sine function Ring Delta Function Properties of the dirac delta function; In other word, $f$ is a circular delta function on a circle with radius. The charge density of the ring can be written with the help of delta function in. The dirac delta function (also known as the impulse function) can be defined as the limiting form of the unit pulse δ (t) as.. Ring Delta Function.
From www.slideserve.com
PPT Lecture 11 Fourier Transforms III The return of the Fourier Ring Delta Function The dirac delta function (also known as the impulse function) can be defined as the limiting form of the unit pulse δ (t) as. A!ais a map of sets with (0) = (1) = 0, and satisfying the following two identities (xy) = x p. ) where ais a commutative ring : In mathematical analysis, the dirac delta function (or. Ring Delta Function.
From galileo-unbound.blog
Paul Dirac’s Delta Function Galileo Unbound Ring Delta Function The dirac delta function (also known as the impulse function) can be defined as the limiting form of the unit pulse δ (t) as. In mathematical analysis, the dirac delta function (or δ distribution), also known as the unit impulse, [1] is a generalized function on the real numbers, whose value is zero. Properties of the dirac delta function; ). Ring Delta Function.
From www.youtube.com
ED1.5.Dirac Delta Function YouTube Ring Delta Function Representations of the dirac delta function;. The charge density of the ring can be written with the help of delta function in. The dirac delta function (also known as the impulse function) can be defined as the limiting form of the unit pulse δ (t) as. In mathematical analysis, the dirac delta function (or δ distribution), also known as the. Ring Delta Function.
From www.slideserve.com
PPT The Dirac Delta Function PowerPoint Presentation, free download Ring Delta Function ) where ais a commutative ring : In other word, $f$ is a circular delta function on a circle with radius. Representations of the dirac delta function;. A ring of charge of radius $a$ and total charge $q$. The dirac delta function (also known as the impulse function) can be defined as the limiting form of the unit pulse δ. Ring Delta Function.
From rouschsports.com
Delta Ring Assembly Complete with Barrel Nut Made IN USA Ring Delta Function Properties of the dirac delta function; The charge density of the ring can be written with the help of delta function in. ) where ais a commutative ring : A!ais a map of sets with (0) = (1) = 0, and satisfying the following two identities (xy) = x p. In other word, $f$ is a circular delta function on. Ring Delta Function.
From galileo-unbound.blog
Paul Dirac’s Delta Function Galileo Unbound Ring Delta Function Representations of the dirac delta function;. A ring of charge of radius $a$ and total charge $q$. ) where ais a commutative ring : Properties of the dirac delta function; The charge density of the ring can be written with the help of delta function in. A!ais a map of sets with (0) = (1) = 0, and satisfying the. Ring Delta Function.
From const-ae.name
What is the delta method? constae Ring Delta Function The charge density of the ring can be written with the help of delta function in. Representations of the dirac delta function;. In other word, $f$ is a circular delta function on a circle with radius. In mathematical analysis, the dirac delta function (or δ distribution), also known as the unit impulse, [1] is a generalized function on the real. Ring Delta Function.
From www.researchgate.net
Delta function as the limit of the function sin νx/πx for ν = 1 and 2 Ring Delta Function A ring of charge of radius $a$ and total charge $q$. In other word, $f$ is a circular delta function on a circle with radius. Representations of the dirac delta function;. The dirac delta function (also known as the impulse function) can be defined as the limiting form of the unit pulse δ (t) as. Properties of the dirac delta. Ring Delta Function.
From tikz.net
Delta function Ring Delta Function In mathematical analysis, the dirac delta function (or δ distribution), also known as the unit impulse, [1] is a generalized function on the real numbers, whose value is zero. ) where ais a commutative ring : Properties of the dirac delta function; A ring of charge of radius $a$ and total charge $q$. In other word, $f$ is a circular. Ring Delta Function.
From galileo-unbound.blog
Paul Dirac’s Delta Function Galileo Unbound Ring Delta Function ) where ais a commutative ring : Properties of the dirac delta function; Representations of the dirac delta function;. The dirac delta function (also known as the impulse function) can be defined as the limiting form of the unit pulse δ (t) as. The charge density of the ring can be written with the help of delta function in. In. Ring Delta Function.
From www.researchgate.net
First four integrals of the Dirac delta function (afteř... Download Ring Delta Function ) where ais a commutative ring : In other word, $f$ is a circular delta function on a circle with radius. Properties of the dirac delta function; In mathematical analysis, the dirac delta function (or δ distribution), also known as the unit impulse, [1] is a generalized function on the real numbers, whose value is zero. Representations of the dirac. Ring Delta Function.
From mungfali.com
Integral Of Dirac Delta Function Ring Delta Function In mathematical analysis, the dirac delta function (or δ distribution), also known as the unit impulse, [1] is a generalized function on the real numbers, whose value is zero. A!ais a map of sets with (0) = (1) = 0, and satisfying the following two identities (xy) = x p. A ring of charge of radius $a$ and total charge. Ring Delta Function.
From www.chegg.com
Solved Figure 3. Double deltafunction potential. X +a V(x) Ring Delta Function A ring of charge of radius $a$ and total charge $q$. The charge density of the ring can be written with the help of delta function in. ) where ais a commutative ring : Representations of the dirac delta function;. The dirac delta function (also known as the impulse function) can be defined as the limiting form of the unit. Ring Delta Function.
From www.chegg.com
Consider the following Gaussian definition of the Ring Delta Function ) where ais a commutative ring : In other word, $f$ is a circular delta function on a circle with radius. A ring of charge of radius $a$ and total charge $q$. Properties of the dirac delta function; In mathematical analysis, the dirac delta function (or δ distribution), also known as the unit impulse, [1] is a generalized function on. Ring Delta Function.
From www.slideserve.com
PPT Convolution PowerPoint Presentation, free download ID6823730 Ring Delta Function ) where ais a commutative ring : In other word, $f$ is a circular delta function on a circle with radius. A!ais a map of sets with (0) = (1) = 0, and satisfying the following two identities (xy) = x p. Properties of the dirac delta function; A ring of charge of radius $a$ and total charge $q$. Representations. Ring Delta Function.
From tikz.net
Delta function Ring Delta Function In other word, $f$ is a circular delta function on a circle with radius. The dirac delta function (also known as the impulse function) can be defined as the limiting form of the unit pulse δ (t) as. A ring of charge of radius $a$ and total charge $q$. The charge density of the ring can be written with the. Ring Delta Function.
From medium.com
An Introduction to the Dirac Delta Function and Applications in Physics Ring Delta Function The dirac delta function (also known as the impulse function) can be defined as the limiting form of the unit pulse δ (t) as. A!ais a map of sets with (0) = (1) = 0, and satisfying the following two identities (xy) = x p. In mathematical analysis, the dirac delta function (or δ distribution), also known as the unit. Ring Delta Function.
From www.chegg.com
Solved The Dirac delta function is defined to be the Ring Delta Function ) where ais a commutative ring : The charge density of the ring can be written with the help of delta function in. A!ais a map of sets with (0) = (1) = 0, and satisfying the following two identities (xy) = x p. Properties of the dirac delta function; A ring of charge of radius $a$ and total charge. Ring Delta Function.
From www.slideserve.com
PPT 10. Laplace TransforM Technique PowerPoint Presentation, free Ring Delta Function Properties of the dirac delta function; The charge density of the ring can be written with the help of delta function in. In other word, $f$ is a circular delta function on a circle with radius. In mathematical analysis, the dirac delta function (or δ distribution), also known as the unit impulse, [1] is a generalized function on the real. Ring Delta Function.
From www.youtube.com
Determining the BOUND STATES for the Delta function potential YouTube Ring Delta Function The dirac delta function (also known as the impulse function) can be defined as the limiting form of the unit pulse δ (t) as. In other word, $f$ is a circular delta function on a circle with radius. Properties of the dirac delta function; In mathematical analysis, the dirac delta function (or δ distribution), also known as the unit impulse,. Ring Delta Function.
From www.slideserve.com
PPT Properties of Delta Function PowerPoint Presentation, free Ring Delta Function In other word, $f$ is a circular delta function on a circle with radius. The dirac delta function (also known as the impulse function) can be defined as the limiting form of the unit pulse δ (t) as. A ring of charge of radius $a$ and total charge $q$. In mathematical analysis, the dirac delta function (or δ distribution), also. Ring Delta Function.
From galileo-unbound.blog
Paul Dirac’s Delta Function Galileo Unbound Ring Delta Function Representations of the dirac delta function;. A!ais a map of sets with (0) = (1) = 0, and satisfying the following two identities (xy) = x p. A ring of charge of radius $a$ and total charge $q$. The dirac delta function (also known as the impulse function) can be defined as the limiting form of the unit pulse δ. Ring Delta Function.